28297 (656748), страница 6
Текст из файла (страница 6)
Еще одно важное усовершенствование многоалфавитных систем, состоящее в идее использования в качестве ключа текста самого сообщения или же шифрованного текста, принадлежит Джероламо Кардано и Блезу де Виженеру. Такой шифр был назван самоключом. В книге Виженера 'Трактат о шифрах" самоключ представлен следующим образом. В простейшем случае за основу бралась таблица Тритемия с добавленными к ней в качестве первой строки и первого столбца алфавитами в их естественном порядке. Позже такая таблица стала называться таблицей Виженера. Подчеркнем, что в общем случае таблица Виженера состоит из циклически сдвигаемых алфавитов, причем первая строка может быть произвольным смешанным алфавитом (см. табл. 4).
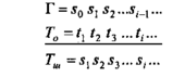
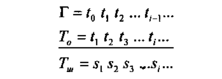
Первая строка служит алфавитом открытого текста, а первый столбец — алфавитом ключа. Для зашифрования открытого сообщения
Виженер предлагал в качестве ключевой последовательности (Г) использовать само сообщение (Т0) с добавленной к нему в качестве первой буквы(
), известной отправителю и получателю (этим идея Виженера отличалась от идеи Кардано, у которого не было начальной буквы и система которого не обеспечивала однозначности расшифрования). Последовательности букв подписывались друг под другом:
При этом пара букв, стоящих друг под другом в Г и
, указывала, соответственно, номера строк и столбцов таблицы, на пресечении которых находится знак
шифрованного текста (Тш). Например, фраза HUNC CAVETO VIRUM ..., использованная в предыдущих примерах, и начальная буква Р дают шифртекст YCHP ECUWZHIDAMG.
Во втором варианте Виженер предлагал в качестве ключевой последовательности использовать шифрованный текст:
Самоключ Виженера был незаслуженно забыт на долгое время, а под шифром Виженера до сих пор понимают самый простой вариант с коротким ключевым словом и с таблицей, состоящей из обычных алфавитов.
Кардано принадлежит также идея поворотной решетки как средства шифрования. Изначально обычная решетка представляла собой лист из твердого материала, в котором через неправильные интервалы сделаны прямоугольные вырезы высотой для одной строчки и различной длины. Накладывая эту решетку на лист писчей бумаги, можно было записывать в вырезы секретное сообщение. После этого, сняв решетку, нужно было заполнить оставшиеся свободные места на листе бумаги неким текстом, маскирующим секретное сообщение. Подобным стеганографическим методом маскировки сообщения пользовались многие известные исторические лица, например кардинал Ришелье во Франции и русский дипломат и писатель А. Грибоедов. Так, Ришелье использовал прямоугольник размера 7x10. Для длинных сообщений прямоугольник использовался несколько раз. Прорези трафарета размещались в позициях:
Следующий текст выглядит как невинное любовное письмо (см. рис. 3).
Однако используя трафарет Ришелье, получим зловещую команду:
YOU KILL ATONES
Кардано использовал квадратную решетку, которая своими вырезами однократно покрывает всю площадь квадрата при ее самосовмещениях. На основе такой решетки он построил шифр перестановки.
Нельзя не упомянуть в историческом обзоре имени Матео Ардженти, работавшего в области криптографии в начале XVII в. Он составил руководство по криптографии на 135 листах, изданное в переплете из телячьей кожи. В этой книге впервые предложено использовать некоторое слово в качестве мнемонического ключа для смешанного алфавита. Началом смешанного алфавита служило ключевое слово (как правило, без повторяющихся букв), за которым следовали остальные буквы в их естественном порядке. Например, ключевое слово PIETRO дает смешанный латинский алфавит
PIETROABCDFGHLMNQSUZ
Такие смешанные алфавиты часто использовались в качестве алфавитов шифртекста в шифрах простой замены.
С целью усложнения шифра простой замены Ардженти вводил пустышки, которые добавлялись в шифрованное сообщение, использовал шифробозначения разной значности, для некоторых частых сочетаний букв текста вводил отдельные обозначения, придавал частым буквам несколько обозначений. Позже подобные идеи получили широкое распространение. Приведем пример шифра Ардженти (см. табл. 5).
Слово ARGENTI может быть зашифровано многими способами, например так:
5128068285480377 или же так:
172850675628455803
Наибольшим достижением Ардженти считается разработанный им буквенный код — один из шифров замены, в котором буквы, слоги, слова и целые фразы заменялись группами букв. Необходимым количеством словарных величин в коде в то время считалось 1200.
В истории криптографии XVII — XVIII в. называют эрой "черных кабинетов". В этот период во многих государствах Европы, в первую очередь во Франции, получили развитие дешифровальные подразделения, названные "черными кабинетами". Первый из них образован по инициативе кардинала Ришелье при дворе короля Людовика XIII. Его возглавил первый профессиональный криптограф Франции Антуан Россиньоль. Следует отметить, что некоторые оригинальные идеи, возникшие в криптографии в этот период, связаны с именем самого Ришелье, который использовал, например, для секретной переписки с королем оригинальный шифр перестановки с переменным ключом. Его использование становится понятным из следующего примера:
Шифр Ришелье
Ключ: 2741635; 15243; 671852493; 07;28615;943;...
Открытый текст:
LETTER SENT TO THE EMPEROR GIVING FULL DETAIL
Ключ:
(2741635) (15243) (671852493) (07) (28615)(943)(2741635)
Шифртекст:
TLRTSEE ETOTN EPOEMTHER N1 LUGIG VFR TLIE SAD
Известно, что Ришелье пользовался также кодами. Попутно отметим, что свой несложный код был и у знаменитого Наполеона:
В то время в Европе получили широкое распространение шифры, называемые номенклаторами, объединявшие в себе простую замену и код. В простейших номенклаторах код состоял из нескольких десятков слов или фраз с двухбуквенными кодовыми обозначениями. Со временем списки заменяемых слов в номенклаторах увеличились до двух или трех тысяч эквивалентов слогов и слов. В царской России XVIII в. закодированное открытое сообщение шифровалось далее простой заменой.
Кстати, несколько слов о русской криптографии. Уже с XIV в. в Новгороде существовала техника тайного письма. Использовались в основном шифры простой замены. Благодаря торговым связям Новгорода с Германией в России становятся известными многие западные разработки, в том числе новые системы шифрования. Учреждение постоянной почтовой связи России с Европой дало возможность развитию шифрованной переписки. Благодаря привлечению Петром I для разработки проектов развития образования и государственного устройства России знаменитого Готфрида Вильгельма Лейбница, который известен и как криптограф, в Петербурге появилась цифирная палата, задачами которой было развитие и использование систем шифрования.
Когда Россиньоль начинал свою карьеру, в номенклаторах как элементы открытого текста, так и элементы кода рас полагались в алфавитном порядке (или в алфавитном и числовом порядке, если код был цифровой). Россиньоль заметил, что такой "параллелизм" открытого текста и кода облегчал восстановление открытого текста. Если, например, он устанавливал, что в английской депеше 137 заменяет FOR, a 168 — IN, то он уже знал, что 21 не может заменять ТО, так как цифровые кодовые обозначения для слов, начинающихся с Т, должны быть больше, нежели для слов, начинающихся с I. Обнаружив такую слабость, Россиньоль перемешивал кодовые элементы по отношению к открытому тексту. На одном листе он располагал элементы открытого текста в алфавитном порядке, а кодовые элементы — вразброс, на другом листе для облегчения, расшифрования кодовые элементы стояли в алфавитном порядке, тогда как их открытые эквиваленты были разбросаны. Это явилось значительным усовершенствованием подобных шифрсистем. Однако составление неалфавитных номенклаторов обходилось очень дорого, и, таким образом, по соображениям экономии и в ущерб надежности многие номенклаторы регрессировали к упрощенному алфавитному типу.
В Англии тоже был свой "черный кабинет". В его работе в XVII в. заметное место занимал Джон Валлис, известный как крупнейший английский математик до Исаака Ньютона. Работы по вскрытию шифров для парламента привели к назначению Валлиса в 1649 г. в Оксфорд профессором геометрии в возрасте 32 лет. В своем труде "Арифметика бесконечного" он сделал выводы, которые послужили Ньютону стартовой площадкой для разработки интегрального исчисления. Валлис ввел знак
для бесконечности и первый путем интерполяции вычислил число
. Кстати, само это обозначение также принадежит ему.
В Германии начальником первого дешифровального отделения был граф Гронсфельд, создавший один из вариантов усовершенствования шифра Виженера. Он взял числовой, легко запоминаемый лозунг. Вместо таблицы Виженера ис пользовался один несмешанный алфавит. При шифровании знаки открытого текста выписывались под цифрами лозунга. Очередная буква открытого текста заменялась буквой алфавита, отстоящей от нее вправо на количество букв, равное соответствующей цифре лозунга.
Шифр Гронсфелъда
Открытый текст: GERMANY
Лозунг: 13 5 7 9
Алфавит: ABCDEFGHIJKLMNOPQRST UVWXYZ
Для удобства выпишем алфавит с порядковыми номерами букв:
ABCDEFGHI JKLM 1 2 3 4 5 6 7 8 9 10 И 12 13
NOPQR S TUVWXYZ
14 15 16 17 18 19 20 21 22 23 24 25 26
и лозунг над текстом:
13 5 7 9 13 GERMANY
Теперь легко получить шифрованный текст:
HHWTJOB
Любопытен опыт использования криптографии при составлении астрономических анаграмм. Одно из таких применений связано с открытием колец Сатурна.
В годы жизни Галилео Галилея существовал обычай закреплять за собой право на первенство в каком-либо открытии своеобразным способом. Напав на открытие, которое нуждается в дальнейшем подтверждении, ученый из опасения, чтобы его не опередили другие, прибегал к помощи анаграммы (перестановке букв); он кратко объявлял о сущности своего открытия в форме анаграммы, истинный смысл которой был известен лишь ему одному. Это давало ученому возможность не спеша проверить свое открытие, а в случае появления другого претендента — доказать свое первенство. Когда же он окончательно убеждался в правильности первоначальной догадки, он раскрывал секрет анаграммы. Заметив в свою несовершенную подзорную трубу, что Сатурн имеет по бокам какие-то придатки, Галилей поспешил сделать заявку на это открытие и опубликовал следующий набор букв:
SMAISMRMIELMEPOETALEUMIBUVNEUGTTAVIRAS
Задача восстановления открытого текста (без какой-либо дополнительной информации об использованном преобразовании) требует перебора
















