33 (648743), страница 6
Текст из файла (страница 6)
Решение о несостоятельности (банкротстве) предприятий принимается:
-
в добровольном порядке самой организацией;
-
по заключению арбитражного суда;
-
Федеральной службой России по делам о несостоятельности и финансовому оздоровлению.
Методом, позволяющим заблаговременно выявлять и предотвращать возможность возникновения банкротства, является анализ финансовых потоков. Он позволяет решать задачи анализа оптимальности сроков и объемов заемных средств, оценки целесообразности привлечения кредита.
В анализе финансовых потоков рассматриваются 4 группы показателей:
-
поступления;
-
расходы (или “платежи”);
-
их разница (“сальдо”, “баланс”);
-
наличие сальдо (“сальдо нарастающим итогом”, “аккумулированное сальдо”…), соответствующее наличию средств на счете.
Возникновение отрицательного сальдо по четвертому показателю означает появление непокрытых долгов. При отсутствии средств для их оплаты и востребовании этих долгов кредиторами через суд банкротство становится наиболее вероятным. Таким образом, возникновение отрицательного сальдо последнего показателя — первый признак повышенной вероятности банкротства.
Второй признак повышенной вероятности банкротства связан с возможностью попадания даже процветающей фирмы в так называемую “кредитную ловушку”. Такое случается, когда объем привлекаемых заемных средств примерно равен или меньше возвращаемых заемных средств. Это означает, что привлекаемые заемные средства не используются для развития организации. При этом плата за них увеличивает расходы, снижает эффективность, образует тенденцию уменьшения собственных средств, и в итоге приводит к убыточной работе и банкротству.
Метод оценки вероятности банкротства на основе анализа финансовых потоков широко применяется в экономике западных стран. В Германии, например, такой анализ применяется в законодательном порядке для установления факта неплатежеспособности организации в виде угрозы несостоятельности.
Такая угроза, как известно, возникает при отсутствии возможности должника выполнить наличные платежные обязательства в момент наступления срока уплаты. При этом определение будущей несостоятельности основывается на прогнозируемых получаемых и исходящих выплатах (положительных и отрицательных денежных потоках).
При простоте расчетов, наглядности получаемых результатов, достаточной их информативности для принятия управленческих решений анализ финансовых потоков имеет существенные недостатки. Трудно запланировать:
-
объем поступлений денежных средств с необходимой степенью точности,
-
объем предстоящих выплат на длительную перспективу,
-
а также необходимые данные аналитического учета на предприятии.
Вместе с тем, финансовый план, включающий наличие ликвидных средств, запланированные их поступления и выбытия, является важным инструментом оценки финансовой состоятельности.
Для анализа денежных потоков в условиях неопределенности и риска может эффективно использоваться имитационное моделирование.
При проведении диагностики банкротства руководители предприятий могут привлекать экспертов, аудиторов, консультантов. Аудиторские и консалтинговые фирмы, занимающиеся аналитическими обзорами, прогнозированием и консультированием, используют для своих аналитических оценок системы критериев.
Комитетом по обобщению практики аудирования в Великобритании разработаны рекомендации, содержащие перечень критических показателей для оценки возможного банкротства организации. Эти показатели разделяют на две группы.
В первую группу включают критерии и показатели, неблагоприятные текущие значения которых или складывающаяся динамика свидетельствуют о возможных в обозримом будущем значительных финансовых затруднениях или банкротстве. К ним относят:
-
повторяющиеся существенные потери в основной деятельности;
-
превышение некоторого критического уровня просроченных обязательств;
-
чрезмерное использование краткосрочных заемных средств в качестве источников финансирования долгосрочных вложений;
-
устойчиво низкие значения коэффициентов ликвидности;
-
хроническая нехватка оборотных средств;
-
устойчиво увеличивающаяся до опасных пределов доля заемных средств в общей сумме источников средств;
-
неправильная реинвестиционная политика;
-
хроническое невыполнение обязательств перед инвесторами, кредиторами и акционерами (в отношении своевременности возврата ссуд, выплаты процентов и дивидендов);
-
высокий удельный вес дебиторской задолженности;
-
наличие сверхнормативных и залежавшихся товаров и запасов;
-
ухудшение отношений с учреждениями банковской системы; вынужденное использование новых источников финансовых ресурсов на относительно невыгодных условиях;
-
применение в производственном процессе оборудования с истекшими сроками эксплуатации;
-
потенциальные потери долгосрочных контрактов;
-
неблагоприятные изменения в портфеле заказов.
Критические значения этих критериев имеют существенные отличия в различных организациях. Поэтому они разрабатываются руководством для отдельной организации после накопления определенных данных за ряд периодов.
Ко второй группе относят критерии и показатели, неблагоприятные значения которых не дают основания рассматривать текущее финансовое состояние как критическое, но при определенных условиях или непринятии соответствующих мер ситуация может резко ухудшиться. В число таких критериев и показателей входят:
-
потери ключевых сотрудников аппарата управления;
-
вынужденные остановки, а также нарушения ритмичности производственно-технического процесса;
-
чрезмерная зависимость организации от какого-либо одного проекта, типа оборудования, вида актива;
-
излишняя ставка на успешность и прибыльность нового проекта;
-
участие в судебных разбирательствах организации с непредсказуемым исходом;
-
потеря ключевых контрагентов;
-
недооценка необходимости постоянного технического и технологического обновления организации;
-
неэффективные долгосрочные соглашения;
-
политический риск, связанный с организацией в целом или его ключевыми подразделениями.
Основными достоинствами этих рекомендаций является системность, комплексный подход к пониманию финансового состояния предприятия с точки зрения возможного банкротства. Они могут применяться любыми предприятиями любой отрасли без существенных корректировок.
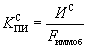
При анализе убыточных организаций в процессе проведения мероприятий по достижению прибыли следует определять, какая часть иммобилизованных активов может быть покрыта собственным капиталом с помощью коэффициента погашения иммобилизованных активов собственными источниками средств. Этот коэффициент следует определять отношением величины собственного капитала (итог раздела III пассива бухгалтерского баланса в сумме с задолженностью участникам (учредителям) по выплате доходов, доходами будущих периодов и резервами предстоящих расходов, отраженных в разделе V пассива) к величине иммобилизованных активов агрегированного баланса:
.
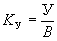
Часть стоимости иммобилизованных активов, сопоставляемую с заемным капиталом, следует определить на основе коэффициента покрытия иммобилизованных активов заемными источниками:
.
Сравнивая приведенные коэффициенты в динамике, можно судить о том, возрастает или уменьшается доля собственных или заемных источников, направляемых на покрытие убытка.
Для оценки изменения убыточности в этом случае также можно использовать коэффициенты убыточности всего капитала (как отношение размера убытков (стр. 465 + стр. 475 раздела III пассива баланса) к валюте (общему итогу) баланса (включая иммобилизованные активы):
,
-
где Y — сумма непокрытого в отчетном периоде убытка отчетного и прошлого периодов.
Если коэффициент убыточности в динамике сокращается, а доля собственного капитала в стоимости иммобилизованных активов (коэффициент погашения иммобилизованных активов собственными источниками средств) увеличивается, можно говорить о наметившейся тенденции выхода предприятия из кризиса, и наоборот.
5. Анализ прогнозирования возможности банкротства
В практике анализа финансовых прогнозов требуется наиболее ранняя диагностика или прогнозирование возможности банкротства организации. Анализ прогнозов позволяет на более раннем этапе предвидеть перспективы, своевременно корректировать бизнес-планы и принимать решения, влияющие на тактические и стратегические задачи развития.
Наиболее распространенными в практике прогнозирования возможного банкротства являются предложенные американским профессором Э. Альтманом Z- модели.
Простейшей из них является двухфакторная модель. Для нее выбираются два показателя, от которых, по мнению Э. Альтмана, зависит вероятность банкротства. В их числе коэффициент текущей ликвидности (рассмотренный ранее) и коэффициент финансовой зависимости. В результате статистического анализа западной практики были установлены весовые коэффициенты, характеризующие значимость каждого из этих факторов.
Для США данная модель выражается зависимостью:
Z = -0.3877 — 1.0736KТЛ + 0.0579KФЗ.
Если Z = 0, вероятность банкротства равна 50%.
Если Z 0, вероятность банкротства меньше 50% и далее снижается по мере уменьшения Z.
Если Z 0, вероятность банкротства больше 50% и возрастает с ростом Z.
Значение KТЛ для данной модели, приведено в табл. 8.
Коэффициент финансовой зависимости равен отношению заемных средств к общей стоимости капитала (валюте баланса):
.
По данным табл. 3 коэффициент финансовой зависимости составит
Кфз = 10192/19428=0,52
Данное предприятие более чем на половину зависит от заемных источников.
Условия функционирования российских предприятий нередко отличаются от американских. Поэтому механический перенос весовых коэффициентов Альтмана в расчетах вероятности банкротства отечественных предприятий не всегда обеспечивает достаточную точность прогноза. Поэтому проведенный ранее анализ может опровергать выводы прогнозов по модели Альтмана. Но если предположить, что условия рассматриваемого предприятия не противоречат американским (что тоже не исключено), то числовые значения риска банкротства составят:
Z =-0.3877—1.0736 +0.0579 = 1,7384
Как видно, вероятность банкротства данного предприятия ниже 50%. То есть, по критерию Э. Альтмана, банкротство скорее не произойдет, чем произойдет.
Достоинством двухфакторной модели является ее простота, а также возможность применения в условиях ограниченного объема информации. Однако данная модель менее точна в прогнозировании, так как не учитывает влияние других важных показателей (рентабельность, отдачу активов, деловую активность предприятия). Ошибка прогноза вероятного банкротства с помощью двухфакторной модели оценивается интервалом
Z = 0,65.
Существуют также многофакторные модели Э. Альтмана. В 1968 году на основе пяти показателей, от которых в наибольшей степени зависит вероятность банкротства, и их весовых коэффициентов была предложения пятифакторная модель прогнозирования:
Z = 1.2KОБ + 1.4KНП + 3.3KПДН + 0.6KСК + 1.0KОА,
-
где KОБ — отношение оборотных активов к общей сумме активов;
-
KНП — отношение суммы чистой прибыли (нераспределенной прибыли) или непокрытого убытка, взятого с отрицательным знаком, к общей сумме активов;
-
KПДН — отношение прибыли до налогообложения к общей сумме активов;
-
KСК - отношение рыночной стоимости собственного капитала предприятия (суммарной рыночной стоимости акций предприятия) к балансовой стоимости заемных средств;
-
KОА — оборачиваемость всего капитала как отношение выручки к общей сумме активов.
Если Z принимает значение ниже 1,8 — вероятность банкротства очень высокая.
Если Z = 1.81 2.7 — вероятность высокая.
Если Z = 2.8 2.99 — вероятность невелика;
Если Z 3 — вероятность очень низкая, т. е. организация работает стабильно.
Для компаний, акции которых не котируются на бирже, Альтман предложил модифицированный вариант формулы прогнозирования:
Z = 0.717KОБ + 0.847KНП + 3.10KПДН + 0.42KСК + 0.995KОА.
В этой формуле коэффициент KСК характеризует балансовую, а не рыночную стоимость акций или отношение балансовой стоимости собственного капитала предприятия к балансовой стоимости заемных средств. Пограничное значение Z при этом равно 1.23.















