12360 (647537), страница 2
Текст из файла (страница 2)
Если одна из форм окислителя – восстановителя находиться в газообразном состоянии, то электроды называют газовыми: водородный, кислородный, хлорный.
Во всех случаях электродный потенциал будет тем отрицательнее, чем легче вещества окисляются, и тем положительнее, чем легче они восстанавливаются. Таким образом, электродный потенциал служит мерой окислительно-восстановительной способности веществ.
В связи с тем, что потенциал электрода зависит еще от температуры и от концентрации окислителя-восстановителя в растворе, было введено понятие о стандартных электродных потенциалах (о потенциалах, измеренных при равных условиях). Это позволяет сравнивать окислительно-восстановительную способность различных веществ. Стандартные потенциалы измерены при температуре 250 С в растворах, содержащих 1 г-ион (в случае неэлектролитов по одному молю) и 1000 г. воды окисленной и восстановленной форм веществ, принимающих участие в электродной реакции. Если одна из форм вещества является газом, то раствор насыщают им под давлением 1 атм.
Так, например, стандартный редокс-потенциал электрохимической реакции Fe3+ -e Fe2+ равен потенциалу платиновой пластинки при 250 С в растворе, содержащем по одному г-иону ионов Fe3+ и Fe2+ в 1000 г. воды. Стандартный потенциал медного электрода равен потенциалу медной пластинки в растворе ионов Cu2+ на 1000 г. воды.
Зависимость потенциала электродной реакции
Ox + pA + ne Red + mB
От температуры и концентрации, участвующих в ней веществ выражается формулой Нернста:
ф =ф0 + (R*T/n*F)* ln([0х]*[A]p/[Red]*[B]m)
где ф0 - стандартный электродный потенциал, в;
R – универсальная газовая постоянная Менделеева – Клапейрона, равная
8,314 Дж;
T – абсолютная температура, К;
F – число Фарадея, к;
n – число электронов, участвующих в электродной реакции;
ln – натуральный логарифм (ln х = 2,303 lg x);
[0х] и [Red] — начальные концентрации окислительной и
соответственно восстановительной формы вещества, для
которых рассчитывается окислительно-восстановительный
потенциал;
[A] и [B] – начальные концентрации других веществ, участвующих
в электродной реакции (обычно вода, ионы Н+ или ОН-);
m и p – стехиометрические коэффициенты в уравнении электродной
реакции.
По уравнению электродной реакции легко рассчитать окислительный потенциал системы.
Пример 1.
Рассчитать окислительный потенциал электродной реакции
PbO2 + 4H+ +SO42- +2e PbSO4 2H2O
Если концентрация ионов водорода в растворе серной кислоты равна
3 г-иона/л при 250С.
Решение.
Найдем в таблице стандартных электродных потенциалов значение ф0 для электродной реакции.
ф0 = PbO2, H+/PbSO4 = 1,685 в,
ф PbO2
H+/PbSO4 = ф0 + (2,303*8,314/2*96491,4) lg ([PbO2]*[H+]4/[PbSO4]*[H2O]2) =
ф0(0,0591/2)*lg[H+]4 = 1.685 + 0.0295*lg34 = 1.713 (в).
Двуокись свинца и сернокислый свинец – твердые вещества, концентрация их принимается равной единице. Количество воды в растворе велико по сравнению с тем, которое образуется в рассматриваемой реакции, а поэтому ее концентрация в расчет не принимается.
Пример 2.
Рассчитать значение потенциала меди, находящегося в растворе, содержащем 0,1 г-ион/л катионов Cu2+ при температуре 250 С.
Решение.
ф Cu2+/ Cu = 0,34+(0,0591/2)*lg (0.1/1) =0.31(в).
Стандартные электродные потенциалы некоторых окислительно-восстановительных систем при 250 С
| № | Окисленная форма | Восстановленная форма | Уравнение реакции | В |
| 1. | Li+ | Li | Li+ + 1ē↔Li | -3,05 |
| 2. | K+ | K | K+ + 1ē↔K | -2,92 |
| 3. | Ba2+ | Ba | Ba2+ + 2ē ↔Ba | -2,90 |
| 4. | Ca2+ | Ca | Ca2+ + 2ē ↔Ca | -2,87 |
| 5. | Na+ | Na | Na+ + 1ē↔Na | -2,71 |
| 6. | Mg2+ | Mg | Mg2+ + 2ē↔Mg | -2,36 |
| 7. | Al3+ | Al | Al3+ + 3ē↔Al | -1,66 |
| 8. | Mn2+ | Mn | Mn2+ + 2ē↔Mn | -1,05 |
| 9. | SO32- | S | SO32- + 4ē + 3H2O ↔ S + 6OH- | -0,90 |
| 10. | SO42- | SO32- | SO42- + 2ē + H2O ↔ SO32- + 2OH- | -0,90 |
| 11. | NO3- | NO2 | NO3- + ē + H2O ↔ NO2 + 2OH- | -0,85 |
| 12. | H2O | H2 | H2O + 2ē↔ H2 + 2OH- | -0,83 |
| 13. | Zn2+ | Zn | Zn2+ + 2ē ↔Zn | -0,76 |
| 14. | Cr3+ | Cr | Cr3+ + 3ē↔Cr | -0,74 |
| 15. | Fe2+ | Fe | Fe2+ + 2ē↔Fe | -0,44 |
| 16. | Ni2+ | Ni | Ni2+ + 2ē↔Ni | -0,25 |
| 17. | Sn2+ | Sn | Sn2+ + 2ē↔Sn | -0,14 |
| 18. | Pb2+ | Pb | Pb2+ + 2ē↔Pb | -0,13 |
| 19. | 2H+ | H2 | 2H+ + 2ē↔H2 | 0,00 |
| 20. | Cu2+ | Cu | Cu2+ + 2ē↔Cu | 0,34 |
| 21. | Ag+ | Ag | Ag+ + 1ē↔Ag | 0,80 |
| 22. | NO3- | NO2 | NO3- + ē + 2H+↔ NO2 + H2O | 0,81 |
| 23. | Br2 | 2Br- | Br2 + 2ē↔2Br- | 1,07 |
| 24. | O2 | H2O | O2 + 4ē + 4H+↔2H2O | 1,23 |
| 25. | Cl2 | 2Cl- | Cl2 + 2ē↔2Cl- | 1,36 |
| 26. | Au3+ | Au | Au3+ + 3ē↔Au | 1,50 |
| 27. | F2 | 2F- | F2 + 2ē↔2F- | 2,87 |
Таблица 1.
5. Напряжение разложения электролита.
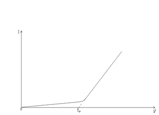
При наложении на электроды внешнего тока равновесие электродных реакций [Ох]+nе [Red] нарушается. На электроде, присоединенном к отрицательному полюсу источника тока, оно сместится вправо, а потенциал — до значения, при котором скорость реакции восстановления окислителя будет превосходить скорость обратной реакции на величину внешнего тока. На электроде, присоединенном к положительному полюсу источника тока, будут происходить аналогичные электродные процессы, но противоположно направленные. В результате смещения потенциалов в электролизере возникает э. д. с, равная напряжению, приложенному извне, и противоположная по направлению. Однако, как показывает опыт, ток заметной величины начинает проходить через электролитическую ячейку лишь при достижении напряжения на электролизере до определенной величины. Зависимость силы тока от приложенного напряжения при электролизе показана на графике (рис. 2). На кривой виден излом. Продолжение прямого участка кривой до пересечения с ось абсцисс отсекает на ней отрезок, равный минимальному напряжению, необходимому для разложения электролита инертных электродах, при котором происходит электролиз с заметной скоростью. Это минимальное напряжение называют напряжением (э.д.с.) разложения электролита.
Равновесные потенциалы электродных реакций, протекающих при электролизе, рассчитывают по формуле Нернста. Для этого в таблице стандартных электродных потенциалов находят значения потенциалов реакций, подставляют в формулу концентрации веществ, участвующих в электродных реакциях и решают уравнение с одним неизвестным. Разность найденных по формуле Нернста равновесных потенциалов катода и анода равна э. д. с, при которой скорости прямых и обратных реакций на электродах равны. Следовательно, при найденном значении э. д. с. ток в цепи равен нулю. Электролиз будет протекать лишь при напряжении, превосходящем разность равновесных потенциалов электродных реакций. Только при таком условии возможно прохождение тока. Например, при электролизе воды катод можно рассматривать как водородный, а анод как кислородный электроды. Э. д. с. такой пары электродов при отсутствии тока в цепи и рН—7 равна 1,23 в.
Рис. 2. График зависимости силы тока от напряжения при электролизе.
При получении кислорода и водорода электролизом, раствора серной кислоты на платиновых электродах требуется напряжение на 0,5 в большее, чем 1,23 в, а именно не менее 1,7 в. Эта часть напряжения необходима для преодоления сопротивления протеканию тока, связанного с перенапряжением (затруднением) электрохимических реакций, и сопротивления электролита.
V=фа - фк +na +nk + фраств
Где V – напряжение на электродах ванны;
фа и фк – потенциалы катода и анода, рассчитанные по формуле Нернста,
с учетом изменения концентрации веществ при электролизе;
фраств – падение напряжения на сопротивлении раствора
na и nk – перенапряжение анодной и катодной реакций.
При этом часть электродной энергии превращается в химическую, а часть – в тепловую.
A = n*F*v = n*F*(фа - фк +na +nk + фраств ) = An + A + Aраств















