10863 (646748), страница 2
Текст из файла (страница 2)
Також ефективним методом є іммобілізація не тільки ферментів, але й мікроорганізмів. Використання таких іммобілізованих клітин дає ряд переваг: не потрібно виділяти і очищати ферменти, невеликі витрати на виділення і очистку продуктів реакції, можливе створення наполовину безперервних і автоматизованих процесів.
ІІ. Біотехнологія і виробництво хімічних речовин
1.Біотехнологія виробництва розчинників
До числа важливих виробництв розчинників на основі бродильних процесів відноситься добування ацетону і бутанолу. Вперше в промисловому масштабі вони були здійснені Вейсманом в місті Манчестері в роки першої світової війни. Низькоякісний ацетон виробляли з деревини, але коли став потрібен високоякісний ацетон, то був заснований бродильний процес на переробці крохмалю (концентрацією в 3,8 %) анаеробними спороутворюючими бактеріями Clostridium acetobutilicum. Перетворенню підлягає до 30 % субстрату в результаті чого утворюється суміш розчинників (60% бутанолу, 30 % ацетону і 10-15 ізопропанолу, етанолу). Залишок субстрату перетворювався на вуглекислий газ і водень (рис.1).
Рис.1. Схема реакцій ацетон-бутанольного бродіння
Оскільки утворювались великі об’єми газів при великомасштабному виробництві перемішування не було потрібно. Головні проблеми заключались в гасінні піни. В залежності від штамів відношення ацетон : спирт дещо варіювало. Розчинники відокремлюють від середовища перегонкою.
Велике значення має виробництво бутанолу. Його використовують при добуванні широкого кола речовин, включаючи гальмівну рідину, пластифікатори, карбамідну смолу, речовини з властивостями екстракції і добавки до бензину.(Сассон Альбер )
Після війни бродильне виробництво цих речовин скоротилось, так як відносна вартість нафтопродуктів, порівняно з вуглеводами, була нижчою. В наш час знову з’являється зацікавленість до ферментативного виробництва цих речовин.
Також цікавим отримання бутилен-2,3-гліколю за допомогою мікробіологічної конверсії. Для цього можна використати молочну сироватку. Вона може бути джерелом вуглецю при утворенні бутиленгілколю бактеріями Klebsiella pneumoniae або Enterobacter aerogenes. Бутиленгліколь потім йде на виробництво каучуку.
2.Виробництво органічних кислот.
Однією з важливих органічних кислот є оцтова кислота. Вона використовується при виробництві багатьох хімічних речовин, включаючи каучук, пластмаси, волокна і інсектициди. В минулому основну її частину добували з етанолу шляхом мікробіологічного окислення. Мікробіологічне перетворення етанолу йде за допомогою Acetobacter і Gluconobacter в аеробних умовах і тому не являється процесом бродіння. Перетворення етанолу в оцтову кислоту за допомогою бактерій економічно вигідним є лише при добуванні харчового оцту ( Сассон Альбер ).
Відомо, що термофільні бактерії мають властивість перетворювати целюлозу в оцтову кислоту тому є перспективними для використання їх в промисловому виробництві цієї речовини. Також можливо використовувати Acetobacter i Clostridium для синтезу її з СО2 і Н2.
Важливою також є молочна кислота. Її виробництво було одним з перших процесів з застосуванням часткової стерилізації середовищ нагріванням за участі мікроорганізмів з роду Lactobacillus bulgaricus i L. leischmanii (XIX ст.). Здійснювався цей мікроаерофільний процес при температурі 45-50 ºС. В ньому використовуються речовини, що містять крохмаль. Їх попередньо обробляють ферментами або за допомогою кислотного гідролізу.
Бактерії Lactobacillus bulgaricus зброджують лактозу, тому можна використовувати як субстрат молоко. Також для субстрату можна використати сахарозу (концентрація 12-18%, маса/об’єм). Процес конверсії іде 3-4 доби. При цьому виділяється СО2 і створюються напіванаеробні умови.
Описані також способи конверсії 1,2-пропандіолу в молочну кислоту. Такі мікроорганізми, як Arthrobacter oxydans, Fusarium solani, Alcaligens faecalis, утворюють L(+) ізомер молочної кислоти, а Lactobacillus leischmanii синтезують D-ізомер.
Молочну кислоту використовують як добавку до безалкогольних напоїв, фруктових соків, джемів і сиропів, есенцій, в медицині, для декальцифікації шкір в дубильній промисловості. L(+)-форму молочної кислоти полімеризують в полілактат, який застосовують для виробництва пластикових обгорток.
Лимонна кислота. У цієї кислоти приємний смак і її широко використовують в харчовій, фармацевтичній і косметичній промисловості. Оскільки ця речовина зв’язує метали, її використовують для їх очистки.
Процес виробництва лимонної кислоти проходить за допомогою ферментації при участі грибів. Налагоджено його вперше в 1843 році. Основні проблеми цього процесу спочатку були зв’язані з мікробним забрудненням. Виявилось, що процес можна вести при низьких рН і в таких умовах утримувати стерильність простіше. За 1-2 тижні при високих концентраціях цукру, вихід лимонної кислоти становив 60 %. В 1950 році було освоєно глибинне культивування. Відомо, що стабільний процес глибинної ферментації можливий лише в тому випадку, якщо він здійснюється у дві стадії: на першій йде ріст міцелію, а на другій – утворення лимонної кислоти. Для цього процесу використовується сировина: меляса, крохмаль, глюкозний сироп.
Наявність іонів металів в вихідному середовищі приводить до різкого падіння виходу лимонної кислоти. Їх осаджують за допомогою гексаціаноферату, пропусканням через іонообмінні смоли, а також для ліквідації їх шкідливої дії цих домішок використовують метанол і інші спирти. В 60-х роках були запропоновані процеси для виробництва лимонної кислоти за допомогою штамів Corynebacterium, Arthrobacter, Brevibacterium, Candida.
В промисловому виробництві в основному використовують Aspergillus niger, A. wentii. Надлишок продукції лимонної кислоти являється реакцією відповіді на недостачу фосфату, але при вираженій нестачі металів, лімітуючим фактором не обов’язково являється фосфат. Оптимум рН складає 1,7-2,0. В більш лужному середовищі проходить утворення помітних кількостей щавлевої та глюконової кислот. Таким чином, контроль за культуральним середовищем дозволяє обійти регуляторні системи обміну і створює оптимальний фон для утворення лимонної кислоти. Очевидно в цих умовах стимулюється гліколіз і забезпечується необмежене надходження вуглецю в реакції проміжного метаболізму.
В промисловому виробництві лимонної кислоти застосовується декілька варіантів процесу. Традиційним твердофазним варіантом являється процес Коджі. Він має багато спільного з поверхневою ферментацією. Глибинна ферментація є періодичною і безперервною. Безперервна дає найбільший вихід продукції, але його застосування в промисловості поки, що малоймовірно.
На першому етапі утворюється значна кількість продукту. На другому етапі ріст відсутній, а гранична кількість продукту залежить від концентрації біомаси. В кінці ферментації масу міцелію відокремлюють фільтруванням і промивають. Потім при рН<3,0 осаджують щавлеву кислоту в формі оксалату кальцію. Лимонну кислоту осаджують із рідкої фази в формі кальцієвої трьох заміщеної солі в комплексі з чотирма молекулами води. Осад відфільтровують, промивають і вільну кислоту отримують шляхом обробки сульфатом кальцію. Далі її очищають за допомогою активованого вугілля і іонообмінних смол. Можна також екстрагувати кислоту розчинником. (Бест Д., Химия и биотехнология. В кн. Биотехнология.)
Розроблений ряд процесів добування інших органічних кислот – глюконової, яблучної, виннокам’яної, саліцилової, янтарної, піровиноградної, коєвої. В сьогоднішніх умовах здебільшого, їх виробництво не вигідно економічно. D-глюконову кислоту добувають з глюкози за участю Aspergillus niger. В деяких країнах сходу для її виробництва використовують чайний гриб. Натрієва сіль глюконової кислоти використовується для вилучення металів. Оскільки в присутності їдкого натру вона може зв’язувати кальцій, то використовується в складі лужних препаратів для миття посуду. Кальцієві і залізовмісні солі глюконової кислоти застосовуються як пероральні і внутрівенні препарати в медицині, а чиста кислота – як миючий засіб в молочній промисловості.
Виннокам’яна кислота являється звичайно побічним продуктом виноробства. Її можливо дістати і шляхом мікробної трансформації 5-оксиглюконової кислоти. Штами, які здатні перетворювати глюкозу в 5-оксиглюконат через глюконат, можуть шляхом подальшої ферментації утворювати тартат. Для цього використовують мутанти Acetobacter i Gluconobacter. Солі винної кислоти (тартати) знаходять застосування в харчовій промисловості, але методи біотехнології в її виробництві звичайно не використовуються.
Яблучну кислоту можна добувати з фумарової в харчовій промисловості за допомогою Paracolobactrum. Також можна її отримувати з н-парафінів за допомогою дріжджів і з етанолу за участю Schisophyllum commune.
З нафталіну за допомогою бактерій можливо синтезувати саліцилову кислоту і інші його похідні. Більшість диких штамів бактерій (Pseudomonas. Corynebacterium і ін.) які розщеплюють нафталін, рідко виробляють саліцилат в концентрації більшій за 1%. Але шляхом відбору штамів і зміни середовищ можна збільшити вихід цієї речовини. Для збільшення виходу саліцилової кислоти необхідні іони різних металів. Відомо також, що ферментація регулюється продуктом, що накопичується, тобто видалення саліцилату з середовища приводить до подальшого утворення його бактеріями.
3.Синтез амінокислот за допомогою біотехнологій і їх застосування.
Всі амінокислоти, з яких складаються білки, являються L-α-амінокислотами.
Вони знаходять застосування як харчові добавки, приправи, посилювачі смаку, як сировина в парфумерній та фармацевтичній промисловості.
Їх можна добувати з інших природних продуктів, головним чином при гідролізі білків рослин, так і шляхом хімічного мікробіологічного або ферментативного синтезу. Якщо хімічний синтез дає продукт-рацемат, який потребує дальшої обробки, то останні два дають можливість оптично чисті амінокислоти. В цьому і полягає перевага біотехнологічних методів над хімічними.
Особливістю більшості виробничих процесів за участі мікроорганізмів, являється зміна умов середовища. За рахунок цього досягається синтез надлишкової кількості бажаного продукту. В основному для цього змінюють рН розчину, концентрацію продукту, концентрацію субстрату або шляхом встановлення критичних рівнів домішок (іонів металів, органічних домішок) в середовищі.
Бактерії для виробництва амінокислот стали застосовуватись з початку 50-х років 20 ст. Утворювати амінокислоти здатні бактерії багатьох родів, наприклад Corynebacterium, Brevibacterium, Bacillus, Escherichia, Aerobacter. Вони настільки продуктивні, що виробництво є рентабельним, що в наш час дуже важливо. Corynebacterium або Brevibacterium, які вирощують на вуглеводному середовищі, ацетаті, етанолі, при наявності певної кількості біотину, здатні синтезувати до 30 грам на літр глутамату.
Різними методами впливу можливо змінювати вихід амінокислот. Наприклад, шляхом зміни умов середовища, процес ферментації, у ході якого утворюється L-глутамат, може бути переключений на синтез L-глутамiну або L-проліну. При високій концентрації біотину та іонів амонію складаються сприятливі умови для створення L-проліну, а при більшій концентрації іонів цинку і амонію в слабо кислому середовищі посилюється синтез L-глутаміну. Для регуляції синтезу АК можна використовувати ауксотрофні мутанти багатьох штамів.
Цікавим і дуже ефективним є утворення амінокислот з використанням іммобілізованих в поліакріламідний (ПААГ) гель мікроорганізмів. Клітини кишкової палички, іммобілізовані в ПААГ можуть здійснювати перетворення фумарової кислоти в аспарагінову.
H
OOC–CH=CH–COOH + NH3 HOOC–CH–CH2–COOH
NH2
Фумарова кислота L-аспарагінова кислота
А
ктивність іммобілізованих клітин зберігалась при підвищеній температурі (37ºС) в присутності іонів магнію (Mg2+) на протязі 40 днів при швидкості протікання через колонку об’ємом 10·100 см 0,5 мілілітрів за годину, причому вихід аспартату становив 95% з 1 М розчину фумарової кислоти. При використанні такої колонки в промисловості щоденний вихід кислоти був 1900 кг, або 57,5 т на місяць. Інший приклад промислового застосування мікроорганізмів для біоконверсії органічних сполук – це добування L-яблучної кислоти за допомогою іммобілізованих клітин Brevibacterium flavum. (Біотехнологія. А. Баев)
Синтез амінокислот за допомогою ферментів.
Процеси застосування ферментів при синтезі АК бувають одно- і багатостадійними, а методи, які використовуються, різноманітними. В залежності від цього виділяють 5 класів ферментів:
-
Гідролітичні ферменти (гідролази). Наприклад 2-аміно-тіазолін-4-карбоксигідролаза яка відповідає за синтез L-цистеїну (рис2.), або L-α-аміно-ε-капролактам-ліаза, яка відповідає за синтез L-лізину. Для використання неочищених ферментів, цілі клітини обробляють поверхнево-активними речовинами, що викликають зміни проникності і можуть використовувати мутантні штами, в яких продукт не використовується в обміні речовин.
Рис.2. Застосування гідролітичних ферментів для виробництва цистеїну
-
Ліази. Відповідають за реакції дезамінування. Для утворення L-аспартату із фумарату амонію може використовуватись аспартаза або L-аспартат–аміак-ліаза. В якості донорів амонію, крім цього, може виступати гідразин або гідроксиламін.
-
Ферменти, що містять пірідоксальфосфат. Це звичайні коферменти, що беруть участь в метаболізмі амінокислот. Вони каталізують багато реакцій: рацемалізацію, трансамінування, реакції заміщення і елімінації. Мабуть роль цих коферментів полягає в активації АК, що полегшує їх взаємодію з апоферментом. Наприклад L-тирозин–фенол-ліаза (β-тирозиназа) каталізує реакцію β-елімінації, в якій тирозин розпадається з утворенням піровиноградної кислоти, фенолу і аміаку. Цей фермент може синтезувати мікроорганізм Erwinia herbicola. Прикладом широко поширеного в природі ферменту, який здійснює дезамінування, може служити L-триптофан–індол-ліаза (триптофаназа). Цей фермент характеризується широкою субстратною специфічністю. Каталізує реакції α, β-елімінації і β-заміщення.
-
Дегідрогенази амінокислот, наприклад лейциндегідрогеназа і аланіндегідрогеназа. Каталізують оборотні реакції синтезу АК з кето-аналогів. Їх застосовують в неперервних реакціях синтезу АК із відповідних кето аналогів.
-
Глутамінсинтетаза. Каталізує АТФ-залежну реакцію амінування глутамату, яка спряжена з зброджуванням цукру дріжджами. Енергія, що звільняється йде на синтез глутаміну. АТФ, яка утворюється при розпаді фруктозо-6-дифосфату, необхідна для забезпечення енергією ендоергічної реакції, яка каталізується синтетазою.
-
Мікробіологічний синтез антибіотиків і алкалоїдів.
Антибіотики – група речовин мікробного походження, застосовуються як протимікробні й протипухлинні препарати.
Нині відомо більше 3000 речовин антибіотиків, виділених з різних організмів. Їх поділяють на класи згідно з хімічною структурою: пеніциліни, цефалоспорини, тетрацикліни, антрацикліни, аміноглікозиди, макролідні антибіотики тощо.
З їх допомогою контролюється ріст рослин і ведеться боротьба з хворобами. Майже всі антибіотики спроможні придушувати широке коло патогенів: гриби, бактерії і мікоплазми. Проводяться пошуки і антивірусних антибіотиків. В деяких країнах дозволено використовувати антибіотики медичного призначення або синтезовані для захисту рослин в чистому
вигляді або в суміші з фунгіцидами.
Деякі зарубіжні фірми вже випускають препарати антибіотиків
спеціально для захисту рослин: бластоцидин, касугиміцин, поліоксин,
валідаміцин та інші. В нашій країні найбільш поширенішими антибіотиками є трихотецин, фітобактеріоміцин і фітолавін-100.
Всі антибіотики були виділені за рахунок мікроорганізмів, число їх було суттєво збільшено шляхом хімічної модифікації. Цілі модифікації:
-
Розширення спектра дії і підвищення ефективності антибіотиків.
-
Зниження токсичності і позбавлення їх побічної дії.
-
Створення аналогів, які стійкі до розщеплення мікробами.
-
Удосконалення способів їх введення.
Розглянемо комплекс біотехнологічних проблем, які безпосередньо зв’язані з процесом біосинтезу антибіотиків. Цикл розвитку продуцентів антибіотиків, як правило, складний. Більшість антибіотиків являється вторинними речовинами. В екологічному плані утворення антибіотиків розглядається як фактор адаптації: здатність до утворення антибіотиків важлива для продуцента не постійно, а лише коли виникають несприятливі умови для росту цих мікроорганізмів, наприклад при контакті з специфічними продуктами життєдіяльності іншого мікроорганізму.
Для налагодження виробництва антибіотиків за допомогою біотехнологій, потрібно знати про генетичну детермінацію утворення антибіотиків. Інформація про генетичний контроль біосинтезу важлива для розробки технологій, які дозволяють людині впливати на утворення антибіотиків на генетичному рівні. Відомо, що в утворенні антибіотиків може бути включено до 1% генів продуцента (наприклад в роду Streptomyces) і ця частина ДНК не втрачається під час селекції в природних умовах, хоч її експресія може затримуватись на тривалі періоди. Цим підкреслюється еволюційне значення антибіотиків. Також за синтез антибіотиків відповідають деякі плазміди. Але наявність в плазмідах структурних генів для ферментів біосинтезу антибіотику доведена лише для метиленоміцину. Тому в більшості випадків плазмідам приписується роль регуляторів процесів синтезу. При виробництві антибіотиків в ферментерах може відбуватись процес втрати плазмід міцелієм через механічні впливи на нього. Це призводить до зменшення утворення антибіотиків і швидкого росту непродуктивного міцелію в ферментерах. Але відомо також, що у ряду промислових продуцентів плазміди не знайдені.
Період ферментації на багатих поживними речовинам середовищах поділяються на трофофазу і ідіофазу. Відомо, що під час трофофази антибіотики у значних кількостях не утворюються. Це обумовлено або репресією ферментів їх синтезу, або ж посттрансляційним контролем. Але молекулярні механізми регуляції біосинтезу антибіотиків складом поживного середовища (вуглеводними, фосфорними та азотовмісними компонентами) ще далеко не вивчені. Дуже вірогідно, що майбутній прогрес в області біосинтезу може бути пов’язаний з використанням ще мало вивчених плейотропних біологічних регуляторів первинного метаболізму типу високо фосфорильованих нуклеотидів, від яких залежить інтенсивність синтезу макромолекул і відповідно рівень внутрішньоклітинного фонду низькомолекулярних метаболітів.
Перейдемо до розгляду біотехнології виробництва антибіотиків. Існує декілька способів отримання нових антибіотиків. Вони базуються на модифікації антибіотиків ферментами мікроорганізмів.
Особливо успішно модифікація антибіотиків мікроорганізмами проходить в наступних процесах.
-
При ферментативному гідролізі пеніциліну з утворенням 6-амінопеніцмлланової кислоти (6-АПК), яка являється цінним вихідним продуктом при виробництві деяких напівсинтетичних, важливих для медицини аналогів пеніциліну. В промисловості 6-АПК, ядро молекули пеніциліну або бензилпеніциліну при участі штамів, які з високим виходом утворюють в ході ферментації пеніцилін азу. Для цієї ж цілі також використовують іммобілізовану пеніциліназу. На основі 6-АПК дістали біля 40000 напівсинтетичних пеніцилінів. Можливий також процес перетворення бензилпеніциліну в ампіцилін (рис.3). При цьому спочатку проводять гідроліз бензилпеніциліну здійснюють за допомогою мутантного штаму Kluyvera citrophila, після чого в ферментер вносять мутант Pseudomonas melanogenum і метиловий ефір DL-фенілгліцину. В ролі каталізатора виступає ацилаза, яка
утворюється мутантом P. Melanogenum.
Рис.3. Синтез ампіциліну
-
У медицині широко застосовуються аміноглікозидні антибіотики (стрептоміцин, неоміцин, канаміцин, гентаміцин). Бактерії, які здатні їх інактивувати, були виділені не тільки від хворих, але й як самостійні штами, що утворюють антибіотики. Їх ферментативна активність може бути частиною механізму детоксикації, за допомогою якого продуценти захищають себе від шкідливої дії вироблених ними антибіотиків. Встановлення механізму модифікації дозволило планувати і здійснювати хімічний синтез нових аналогів, стійких до такої інактивації. Відомо, що при інактивації антибіотиків проходять модифікації, до числа яких відносяться N-ацетилування, О-фосфорилювання, О-нуклеотидування.
Інактивація антибіотиків по іншому механізму, включаючи гідроліз, гідроксилювання, епоксидування, фосфорилювання, або відновлення, звичайно призводить до утворення повністю, або частково неактивних похідних. Їх вивчення дозволяє синтезувати нові аналоги, виявити ті ділянки молекул, які відповідають за антибіотичну активність, а також створити раціональні основи „конструювання” антибіотиків і удосконалення їх виробництва. В деяких випадках отримати корисні попередники за допомогою бактерій не вдається. Так, при виробництві цефалоспорини в основному утворюється цефалоспорин С, який далі гідролізують до 7-аміноцефалової кислоти і її використовують як субстрат для добування нових цефалоспоринів.
-
В випадку прямої ферментації використовуються мікроорганізми, які використовують антибіотик для синтезу біологічно активних сполук в присутності деяких попередників або інгібіторів метаболізму. Наприклад, Penicillium chrysogenum не тільки синтезує пеніцилін, але й включає феніл оцтову кислоту в бензилпеніцилін, а інші попередники – в аналоги пеніциліну. Цей принцип знаходить широке застосування, наприклад, при отриманні нових блеоміцинів шляхом додавання амінів до культури S. verticillus і нових актиноміцинів – шляхом додавання 4-метилпроліну до середовища для вирощування S. parvulus.
-
Мутантні мікроорганізми-продуценти іноді утворюють біологічно активні проміжні продукти якого-небудь визначеного шляху біосинтезу антибіотиків або сполуки, які можуть виявитись попередниками при створенні нових антибіотиків. „Блоковані” мутанти цього типу не здатні утворювати потрібний антибіотик, я що в середовищі відсутній метаболічний попередник, який в нормі утворюється при участі ферменту, який діє услід за блокованою ланкою метаболізму. Оскільки ферменти, які беруть участь у вторинному метаболізмі, часто володіють відносно низькою субстратною специфічністю, аналоги попередників антибіотиків можуть бути відносно легко перетворені мутантом в аналоги самого антибіотика. Цей процес називається мутаційним біосинтезом. Наприклад Nokardia mediterranei синтезує біля 20 різних рифаміцинів.
Крім антибіотиків, важливе значення для медицини та різних галузей народного господарства має біосинтез алкалоїдів. Алкалоїди представляють собою дуже важливу групу біологічно активних речовин, основу багатьох лікарських препаратів. До алкалоїдів відносять речовини природного походження, які, як правило, містять азот і мають достатньо складну структуру.
Алкалоїди синтезуються в основному рослинами, грибами, бактеріями і актиноміцетами. Велика увага приділяється саме мікроорганізмам, як джерелам цих речовин. Знання фізіолого-біохімічних особливостей мікроорганізмів-продуцентів, механізмів біосинтезу алкалоїдів дає можливість керувати процесом отримання алкалоїдів безпосередньо в ході їх синтезу. Методами селекції і генетики на основі диких штамів можуть бути отримані високоактивні продуценти алкалоїдів. Тобто є цілий ряд переваг отримання антибіотиків за допомогою мікроорганізмів в порівнянні зі способами добування їх з рослинного матеріалу.
Найбільший інтерес в якості продуцентів в зв’язку з перспективою їх використання в промисловості представляють гриби, і в першу чергу аскоміцети з родів Сlaviceps i Penicillum, які мають здатність синтезувати ергоалкалоїди.
Все більший інтерес до ергоалкалоїдів пояснюється унікальним спектром їх біологічної активності, який може різко змінюватись в залежності від структури. Якщо спочатку для в медицині використовували неочищені грубі екстракти алкалоїдів, то тепер все більш широке застосування знаходять напівсинтетичні похідні, в якості вихідних для яких виступають природні ергоалкалоїди. Такі похідні характеризуються меншою токсичністю, простотою синтезу і є більш ефективними.
Ергоалкалоїди і їх похідні використовують для профілактики і лікування мігрені, в якості препаратів, які регулюють кров’яний тиск, для лікування різних порушень гормонального обміну, наприклад хвороби Паркінсона.
В промисловості застосовують глибинне культивування Claviceps purpurea (ріжки). Цей спосіб вперше був здійснений Абе з співробітниками і розвинений Чейном і іншими групами дослідників із різних країн.
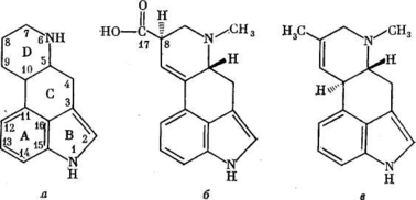
Для ергоалкалоїдів характерна наявність тетрациклічної ерголенової або ерголінової системи (рис.4.).
Рис.4. Типові представники ергоалкалоїдів.
а— эрголін; б — лізергінова кислота; в — агроклавін
Механізм біосинтезу ергоалкалоїдів у різних культур може мати свої особливості, але основні його етапи являються для всіх вивчених продуцентів спільними. Попередниками ергоалкалоїдів являються триптофан і γ,γ-диметилалліпірофосфат. Перша стадія біосинтетичного шляху - утворення 4-γ,γ-диметилаллітриптофану (ДМАТ) – каталізується ферментом ДМАТ-синтетазою. Наступна стадія – метилування ДМАТ з наступним декарбоксилуванням, модифікацією ізопреноїдного бічного ланцюга з замиканням кільця С.Кінцевим продуктом цих перетворень являється ханоклавін-1, із якого через ханоклавін-1-альдегід, агроклавін і елімоклавін утворюється лізергінова кислота, попередник алкалоїдів лізергінової кислоти – амідів лізергінової кислоти і пептидних ергоалкалоїдів. Попередниками інших клавінових алкалоїдів служать агроклавін і елімоклавін. Біосинтез
5.Виробництво і застосування стероїдів і вітамінів.
-
Добування металів за допомогою біотехнологій. Біогеотехнологія.
Людство протягом ряду століть одержувало метали з багатих руд і концентратів. Вони в більшості випадків характеризувалися порівняно простим хімічним складом. Однак існуюча технологія найчастіше не вирішувала і не вирішує такі проблеми, як комплексне і раціональне використання природних ресурсів, охорона навколишнього середовища і т.д.
Існуюча технологія не дозволяє також економічно вигідно переробляти складні руди і концентрати. Наприклад, існують родовища золота, олова, міді, цинку, марганцю й інших металів, добування яких з руд по традиційних схемах складне чи неможливо. Очевидним уже є і те, що в недалекому майбутньому кондиційні руди взагалі будуть вироблені і тоді постане питання про видобуток металів з бідних руд, різних відходів і гірських порід. Тому тепер постало питання про розробку більш досконалих технологічних схем отримання металів з руд, концентратів, гірських порід і розчинів, зокрема гідрометалургійних. Одним з їхніх різновидів є мікробіологічний спосіб.
На стику біотехнології і хімії виникає біогеотехнологія металів – наука про вилучення металів із руд, концентратів, гірських порід і розчинів під дією мікроорганізмів або їх метаболітів при нормальному тиску і температурі від 5 до 80 ºС.
Підземне і купинчасте бактеріально-хімічне вилуговування міді із бідних руд і урану в промислових масштабах здійснюється в багатьох країнах світу. Вже в 80-х роках тільки міді добували сотні тисяч тон в рік. Собівартість такої міді була нижчою (часто в 2-3 рази), ніж вартість міді, що добували традиційним шляхом. (http://www.allmetal.ru/info/dict/view.php?i=149).
Також існують процеси чанового бактеріально-хімічного способу вилуговування, які застосовують для переробки складних мідних, цинкових, нікелевих, олово- та золотовмісних руд; технології неперервного бактеріально-хімічного способу добування золота і срібла, яка забезпечує вилучення золота і срібла більше 90%.
За допомогою бактерій можливо якісно очищувати різні концентрати від домішок, при чому ці домішки також можливо використовувати. Наприклад із свинцевих концентратів можливо практично повністю вилучити мідь, цинк і кадмій і при цьому концентрація Cu і Zn в розчині може сягати 50 і 100г/л відповідно. За допомогою бактеріально-хімічного способу можливо селективно переводити в розчин із металоколоїдних колективних мідно-цинкових концентратів до 90% цинку, а далі добути концентрати міді і кадмію при вилученні їх відповідно до 80 і 90%.
До нових тенденцій розвитку біотехнології або біогеотехнології металів належить віднести збагачення гірських порід і руд, наприклад, бокситів (вилуговуванням. Si), сульфідування окисленных руд, біосорбцію металів із розчинів. Використання бактеріально-хімічних. способів дозволяє розширити сировинні ресурси, забезпечити комплексність використання сировини без утворення складних гірничодобувних комплексів, автоматизувати процеси, підвищити продуктивність праці і культуру виробництва, вирішити багато проблем навколишнього середовища.
Література
-
Биотехнология / отв. ред. академик А.А. Баев – М: Наука, 1984, - 311с.
-
.Сассон Альбер, Біотехнологія: Свершения и надежды, - М: Мир,1987, 411с.
-
http://www.rccnews.ru/Rus/FinancialInstitution/?ID=46499
-
http://www.rccnews.ru/Rus/Pharmaceuticals/?ID=8062
-
В.Т. Емцов, Рубежи биотехнологии, - М: Агропромиздат,1986,159с.
-
Бест Д., Химия и биотехнология. В кн. Биотехнология. Принципы и применение. / под. ред. И. Хиггинса, Д. Баста, Дж. Джонса, - М: Мир, 1988, 479 ст.
-
http://www.allmetal.ru/info/dict/view.php?i=149
-
http://www.lol.org.ua/ukr/showart.php
















