10068 (646295), страница 2
Текст из файла (страница 2)
В исходной модели были сделаны противоречивые предположения при расчеты вязких и инерционных элементов в продольном импедансе. В новой модели такие противоречия утрачены путем пересчета продольного импеданса с использованием теории пульсирующих течений для коротких сегментов артерий, разработанной Витцигом и Уомерсли и развитой Ягером, которые учли динамику стенки и устранили предположение о тонкой стенке. Также в этой модели было учтено, что для теоретического изучения зависимости от расхода можно использовать пассивную электрическую аналогию.
Другой необходимой модификацией данной модели было использование симметричной (П-образной) сети вместо несимметричной (┐-образной) формы. Это привело к тому, что уменьшились ошибки, вводимые разбиением на конечные сегменты. Было так же установлено влияние "упругого сужения", то есть увеличения модуля упругости Юнга по направлению к периферии. В исходной модели не было возможности изменять локальные параметры; в заново сконструированной модели сделаны приспособления, допускающие ступенчатые изменения локального радиуса и упругости стенки. Демпфирование в стенке и нелинейные свойства стенки в модели не учитывались, хотя демпфирование можно учесть количественно в пассивной сети. [4]
Конструкция нового электрического аналога, основанного на теории пульсирующих течений.
На основе уравнений Навье-Стокса, уравнения неразрывности для движения жидкости, уравнения движения стенки сосуда и закона Гука для упрощенного материала можно вывести математические выражения для продольного и трансверсального импедансов сегмента артерии.
Распределение расхода по каждой из основных артерий пропорционально площади их поперечного сечения. При расчете нормальных региональных периферических сопротивлений предполагается, что среднее давление непосредственно перед периферическим сопротивлением составляет 100 мм рт. ст., и периферическое сопротивление получалось делением среднего давления на средний расход.
Левый желудочек рассматривается как граничное условие. Он представляется как волнопродуктор, так что в нем могут быть генерированы любые желаемые характеристики давления или любые характеристики начального течения. Когда желудочек рассматривается как источник давления, давление подается в модель через электрическую сеть, имитирующую аортальный клапан.
Так как аналог линеен, волнопродуктор может быть заменен синусоидальным осциллятором переменной частоты, позволяющим каждую гармонику рассматривать независимо и поэтому избежать необходимости анализа с помощью рядов Фурье.
Физиологические данные
Радиусы, которые были затабулированы Ноордеграафом при конструировании исходной модели, относились к субъекту роста 175 см и веса 75 кг. Большинство этих радиусов согласуются с данными, опубликованными позднее. Исключение представляют радиусы нижней брюшной аорты и бедренной артерии. Радиусы, в особенности радиусы аорты и крупных сосудов, имеют большое значение для получения модели, поведение которой близко к реальному.
Значения толщины стенки опубликованы Ноордерграафом. Следует заметить, что толщина стенки составляет приблизительно 10% внутреннего радиуса крупных сосудов и 25% - для мелких сосудов.
Общая длина моделируемых артерий составляет 720 см.
Полагается, что вязкость крови равна 3*10-2 пуаз и плотность крови составляет 1,05 г/см3.
Модуль упругости Юнга был сначала принят равным 4*106 г*с-1*сек-2.
Конструкция модели.
Требования, предъявляемые к точности. Продольный импеданс. По радиусу отдельного сегмента в можно рассчитать число сопротивлений и индуктивностей, а корректирующей сети для этого сегмента в зависимости от точности, необходимой для самых высоких из интересующих нас частот (15 Гц). Испытания были проведены в широкой области частот.
Трансверсальный импеданс, т.е. значение емкости, реализовывался с погрешностью в пределах 3%.
Исходя из задаваемой степени точности для продольного и трансверсального импедансов индивидуальных сегментов, были определены допуски для характерных элементов, с помощью которых реализуются эти импедансы. Для этого использовались сердечники высокой магнитной проницаемостью, так как они позволяют сконструировать почти чистую индуктивность, которая необходима в корректирующей сети.
Сопротивления, меньшие 5 Ом, были выполнены из специальной проволоки, другие сопротивления и емкости делались из деталей, имеющихся в продаже.
Каждый сегмент был смонтирован в отдельной алюминиевой коробке, и все эти коробки были смонтированы на стойках (всего три стойки). Периферические сопротивления, представленные потенциометрами, устанавливались внутри коробок каждого концевого сегмента. В каждом сегменте записывались показания расхода (тока) посредством включения измеряющего прибора в отдельные доступные места проводки.
После соединения всех элементов измерялся продольный импеданс в широкой области частот. Эти измеренные значения сравнивались с ожидаемыми значениями импеданса, которые подсчитывались непосредственно с использованием таблиц, данных Уомерсли. Проверялся также трансверсальный импеданс. В некоторых случаях указанные импедансы необходимо было регулировать, чтобы учесть емкость проводки.
Ошибка, вводимая агрегированием, может быть уменьшена, особенно для высоких частот, посредством использования симметричной сети (П) вместо несимметричной (┐). Характеристический импеданс Z0┐и волновое число γ┐ однородной линии передачи, агрегированной в конечные сегменты, могут быть выражены как функции характеристического импеданса Z0 и волнового числа γ реальной линии передачи (с бесконечно короткими сегментами). Возникающая за счет агрегирования ошибка в значении Z0┐имеет порядок γΔz/2, а в значении γ┐ - порядок (γΔz/2) 2, где Δz - длина сегмента. Для симметричной сети (П) нами найдено, что ошибка как в Z0П, так и в γП имеет порядок (γΔz/2) 2. В нашей модели величина γΔz выбиралась так, чтобы она была приблизительно постоянна по всей системе, т.е. длина сегментов аорты меньше, чем периферических сосудов. Ошибки из-за агрегирования увеличиваются с частотой. При частоте 15 Гц γΔz величина приблизительно равна 0,5, и ясно, что это дает ошибку в величине Z0┐около 25%, а в величине Z0П - только около 6%; следовательно, симметричная сеть является лучшей аппроксимацией по сравнению с несимметрично сетью.
Оценка модели
Симметричная сеть была введена как следующее улучшение, и в качестве примеры был приведен входной импеданс артериального древа организма в целом. Отсюда модно заключить, что в отношении входного импеданса, который "ощущается" левым желудочком, длина сегментов достаточно мала для интересующей нас области частот.
Недостаточное количество данных не позволяет приписать основные локальные значения модуля Юнга различным артериям, представленным в исходной модели. Поэтому в качестве рабочей гипотезы было принято, что среднее значение модуля Юнга можно использовать для всех артерий древа.
Измерения Бергеля, Лиройда и Тейлора показали, что модуль Юнга для различных артерий различен. К тому же модуль Юнга зависит от частоты и величины механических напряжений.
Поводя итог, модно сказать, что с точки зрения влияния на входной импеданс улучшения весьма малы. По-видимому, входной импеданс системы в целом совершенно нечувствителен к рукавному эффекту, симметричной сети или даже к упругому сужению. Также он не зависит практически от периферического сопротивления. [4]
В качестве примера вполне работоспособной модели второго класса с разбиением, близким к оптимальному, можно рассмотреть модель кровообращения, представленную на рисунке 1.
Рис.1. Блок-схема модели кровообращения
Обозначения на рисунке:
А - артерии, В - вены, К - капилляры, Ж - желудочек, П - предсердие, КС - каротидные синусы, ЯВ - яремные вены, ДА - дуга аорты, НА - нисуолящая аорта, ПА - подключичная артерия, ВВ - верхняя полая вена, ГВ и БВ - грудная и брюшная нижние полые вены.
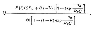
Насосная функция сердца описывается уравнением:
Здесь Q - объемный кровоток на выходе желудочка
F - частота сердечных сокращений
K - сократительная способность сердца
C - диастолическая растяжимость желудочка
Pv - венозное давление на входе сердца
U - ненапряженный объем желудочка при P=0
Vo - свободный член статической аппроксимации Q=Q (Pv).
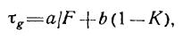
Экспоненциальные члены описывают динамику процесса с учетом гидравлического сопротивления атриовентрикулярных клапанов и длительности диастолы
, причем
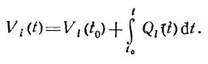
где a и b - константы. Объем крови Vi=Vi (t) для i-го участка системы задается уравнением баланса
Здесь Qi - алгебраическая сумма по j объемных скоростей кровообмена qij между i-м участком и всеми остальными, причем qij≡0, если j-ый участок непосредственно не сообщается с i-ым. В противном случае принимается, что
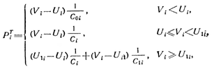
где Pi - суммарное давление крови на i-ом участке,
Ri - сопротивление кровотоку на этом участке.
В модели учитывается, что в некоторых периферических венах при падении давления сечение приобретает эллиптическую форму. Для этих сосудов принималось:
А для сосудов верхней половины тела:
Здесь
- сопротивление сосуда в условиях, когда его объем равен Ui - ненапряженному объему;
- сопротивление сосуда при горизонтальном положении тела, когда объем сосуда равен
.
Зависимость трансмурального давления
(давления, обусловленного упругостью сосудистой стенки) от рассматриваемых переменных имеет вид:
где
- объемная податливость сосудов соответственно в области отрицательного, низкого положительного и высоко положительного давлений;
Суммарное давление в i-ом сосуде равно:
Здесь
- гидростатическое давление, пропорциональное величине действующей перегрузки и отсчитываемое от выбранного нулевого уровня (обычно от уровня нижней точки тела или уровня сердца);
- давление в тканях, окружающих i-ый участок сосудистого русла:
















