9953 (646178), страница 5
Текст из файла (страница 5)
Всем физиологическим процессам, протекающим в организме человека, присущи ритмические колебания. В этом, по наблюдению физиологов, проявляется установка ЦНС и её высшего отдела – коры больших полушарий человеческого мозга на «отсчёт времени». Наукой установлены закономерности возрастных изменений работоспособности учащихся.
Наиболее общими параметрами, характеризующими функциональное состояние ЦНС при бодрствовании, являются основные свойства нервной системы: возбудимость, реактивность, лабильность и их соотношения. Совокупность этих показателей определяет состояние ЦНС. В свою очередь, различные уровни возбудимости и реактивности нервной системы являются результатом взаимодействия коры больших полушарий с нижележащими отделами мозга, в частности, неспецифическими системами ствола и среднего мозга. Особенности этих взаимодействий определяются, с одной стороны, уровнем морфофункциональной зрелости этих структур, а с другой – воздействием регуляционных механизмов, запускаемых различными факторами.
Определение особенностей адаптивных реакций мозга при выполнении того или иного вида деятельности на каждом отдельном этапе онтогенеза имеет большое значение для разработки и организации оптимальных форм и методов воспитания и обучения. Сопоставление данных, полученных нейрофизиологическими исследованиями, с данными изучения работоспособности, а также педагогическими характеристиками учащихся выявило волнообразные изменения (в течение учебного года) умственной работоспособности и внимания. Эти сдвиги объясняются особенностями школьного режима и интенсивностью умственной деятельности.
I.3.1. Динамика умственной работоспособности
Работоспособность имеет свойства периодически изменяться в течение суток, по дням недели и сезонам года.
При выполнении определённой работы работоспособность имеет определённые колебания:
а) фаза врабатывания;
б) фаза оптимальной устойчивой работоспособности;
в) фаза утомления;
г) повышение работоспособности, «конечный порыв».
У большинства людей с чётким режимом дня, особенно современным, каждый день в одно и то же время отходом ко сну и утренним подъёмом, в вечерние часы в коре головного мозга всё интенсивнее нарастает торможение и работа в это время оказывается не продуктивной.
При изучении умственной работоспособности в течение 2001-2002 учебного года по 7 классам московских школ было подвергнуто анализу 36000 данных, которые показали статистически достоверные изменения скорости, точности, продуктивности от начала к концу занятий. Без учёта количества уроков в день у учащихся интенсивность (скорость) работы повышалась на 13% от начала занятий к их окончанию и оставалась без существенных изменений до конца самоподготовки. При этом количественный показатель (точность работы) возрастал от начала занятий к концу самоподготовки.
Динамика коэффициента продуктивности, при расчётах которого учитываются значения как объёма задания, так и степень точности её выполнения, оказалась аналогичной изменению скорости работы. Сила активного внутреннего торможения (САВТ) от 8 часов 30 минут падала к концу всех уроков, существенно восстанавливалась к концу самоподготовки и резко ухудшалась к её завершению.
Сопротивляемость организма утомлению (показатель адаптивности) к окончанию занятий, особенно к концу самоподготовки, ухудшается существенно. Подобные изменения прослеживались в течение дня в разные периоды учебного года, лишь уровень показателей был более высоким в 3 и 4 четвертях (февраль, апрель), нежели в первой четверти (октябрь). Наибольшее напряжение ЦНС организм детей испытывает в начале учебного года.
Однако на фоне относительно высоких показателей работоспособности учащихся количество ошибок на дифференцировку к концу года возрастает на 30%, что отражает ухудшение работы ЦНС, нарушение равновесия между возбудительным и тормозным процессами, ослабление активного внутреннего торможения.
Недельная динамика умственной работоспособности также характеризуется фазовыми подъёмами и существенными спадами. В большинстве случаев в начале и конце недели скорость и точность работы оказывается ниже, чем в её середине.
Ухудшение работоспособности и резкое (на 10,7%) падение к среде показателя адаптивности, величина которого отражает уровень адаптированности организма к учебной нагрузке в недельном временном периоде, указывает на раннее наступление утомления, существенное напряжение механизмов регуляции функционального состояния физиологических систем и поиск ресурсов для выравнивания работоспособности. В результате обеспечивается относительно высокий подъём (только в четверг) всех показателей умственной работоспособности.
Рассмотренная динамика работоспособности по средним величинам показателей отчётливо выражена и в каждый из периодов года. По данным М.В.Антроповой (1984г.), скорость и точность работы достоверно увеличивается соответственно на 33% и 23% от 1 к 2 четверти и 31% и 10% от 3 к 4 четверти. Существенно повышается устойчивость дифференцировок, адресованных ко второй сигнальной системе.
Несмотря на довольно значительные колебания работоспособности учащихся и их утомление от начала к концу учебных занятий в течение дня, динамика показателей от сентября к апрелю благоприятна.
Таким образом, результаты изучения дневной и недельной динамики работоспособности в течение года позволяют утверждать, что в условиях действующего режима занятий и низкой двигательной активности общая учебная нагрузка является чрезмерной. Она приводит к утомлению большинства здоровых, прилежных и дисциплинированных учащихся, к дефициту отдыха и ночного сна. У части учащихся к концу дня и недели функциональное состояние ЦНС находится на грани перенапряжения.
I.3.2. Учебная нагрузка и работоспособность
Охрана здоровья детей требует строгого нормирования различных видов их деятельности и правильной организации режима суток. Это не значит, однако, что школьники вообще не должны утомляться. Наоборот, до определённого предела напряжение функциональных систем, временное снижение полноценности функции – утомление – необходимо. Без этого не будет совершенствования функциональных систем, становления нового уровня регулирования, долговременной адаптации учащихся к умственной и физическим нагрузкам.
Важно оградить учащихся от чрезмерного утомления, рационально организовать учебные занятия, повысить двигательную активность и обеспечить эффективный отдых.
Исследования, выполненные М.В.Антроповой по нормированию учебной деятельности учащихся, преимущественно – продолжительности самостоятельных учебных занятий по подготовке домашних заданий, показали, что в условиях организации работы, отдыха и питания учащихся, отвечающих требованиям гигиены, наиболее эффективная продолжительность подготовки уроков составляет у учащихся 6-7 классов 2,5 часа. Вместе с тем, 150 минут активной работы с учётом времени перерывов (всего18 минут), являются и предельно допустимой продолжительностью работы, ибо после её завершения у учащихся регистрировались признаки острого утомления: нарастание произвольных перерывов, падение остроты зрения и электрической чувствительности, низкая умственная работоспособность.
Установленные нормативы получили своё подтверждение при физиолого-гигиенической оценке организации обучения и учебной нагрузки школьников в условиях перехода школы на новое содержание образования.
Колебания работоспособности в течение учебных занятий – её спады, а затем подъёмы – связаны с рядом причин. Среди них важную роль играют чередование уроков по степени сложности предмета, использование активных методов преподавания и технических средств обучения, и т.п. На 5-м уроке у младших школьников и 6-м уроке у старших школьников работоспособность снижена на 50% по сравнению с 1-2 уроками, поэтому уроки труда, физической культуры, музыки, изобразительного искусства как наиболее лёгкие следует проводить последними.
Изменение уровней показателей умственной работоспособности зависит и от количества уроков, что отчётливо выражено в каждый из периодов учебного года.
При шести и даже пяти уроках в конце самоподготовки уровень показателей оказывается на 18-22% ниже, чем при четырёх уроках. Скорость работы оставалась относительно высокой до конца самоподготовки при 4 уроках и уменьшалась при 6 уроках.
Подъёмы и спады показателей от часа к часу занятий в разные периоды учебного года демонстрировали перестройки в функциональном состоянии физиологических систем.
I.3.3. Педагогические аспекты изучения и
нормирования учебной нагрузки
Практика работы школы и развитие педагогической науки в нашей стране показывают, что изучение учебной нагрузки школьников становится особенно актуальным в процессе перехода школы на новое содержание образования. Увеличение объёма и возрастание сложности учебной информации при относительно неизменном учебном плане школы (время, отводимое на изучение отдельных школьных предметов) выдвигают проблему обоснования оптимальной общей и учебной нагрузки школьников в число наиболее важных педагогических проблем. На начальном этапе при создании программ проблема нормализации учебной нагрузки решалась путём строгого отбора учебного материала. Многие вопросы на этом этапе решались на основе экспертных оценок, анализа опыта преподавания и тенденции развития данного учебного предмета, методики преподавания. Вместе с тем, целый ряд вопросов требовал экспериментального подтверждения, результаты которого и являлись критериями при определении глубины изучения того или иного раздела. К комплексному исследованию учебной нагрузки школьников методисты приступили, уже имея в отношении её педагогических аспектов определённые теоретические разработки, экспериментальные данные. Результаты теоретических исследований нашли отражение в работах А.С.Чеснокова, Е.К.Страута и И.М.Курдюмовой (1984г.). В этой работе выделены параметры, по которым можно оценить объём учебной нагрузки школьников.
Для количественной характеристики учебной нагрузки учащихся использовались следующие параметры:
1) число элементов знаний (понятия, термины, правила, факты, явления);
2) объём текста (учебник, дополнительная литература);
3) число заданий, выполняемых учащимися в процессе урока и дома;
4) объём учебного времени, необходимого для выполнения занятий, рекомендуемых программой;
5) объём учебного времени, используемый для систематического повторения, проверки и контроля знаний.
Анализ программ, учебников (учебных пособий), сборников задач и упражнений, тематического и поурочного планирования позволили дать характеристику учебной нагрузки учащихся по первым трём из числа перечисленных выше параметров. Это дало возможность судить об изменении нагрузки по классам и её распределении по неделям в течение учебного года.
В ходе экспериментальных исследований оказалось возможным выделить три группы психолого-педагогических факторов, влияющих на объём и содержание учебной нагрузки школьников. Первая из них определяет, характеризующие учебный процесс по данному предмету и включающие программу, учебники, планирование уроков, деятельность учителя и ученика, которые определяются принятой методикой обучения. Ко второй относятся факторы, определяющие условия обучения в конкретной школе (расписание уроков, внеклассной работы). Третью группу составляют факторы, характеризующие самого ученика с точки зрения сформированности учебных умений и навыков, а также уровня психического развития и физиологического состояния его организма. Разумеется, факторы, относящиеся к различным группам, взаимосвязаны между собой и эту связь необходимо учитывать, если рассматривать учебный процесс и сопутствующие ему явления в динамике.
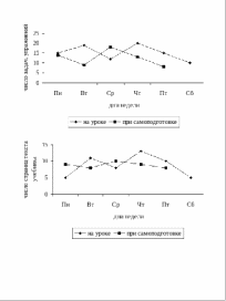
В ходе комплексного исследования важно было получить качественную и количественную оценку того влияния, которое оказывает на общую нагрузку школьное расписание. Установленная неравномерность учебной нагрузки в течение недели подтверждается по параметрам: числу страниц учебного материала текста к числу заданий, выполняемых в классе и дома (рис.2).
Рис. 2. Распределение объема учебной нагрузки учащихся по дням недели (В.В.Усанов).
Решать вопрос о распределении нагрузки по дням недели следует с учётом данных, полученных физиологами о динамике работоспособности учащихся, об изменении физиолого-гигиенических показателей, которые характеризуют показатели их организма.
Более сложным является вопрос о причинах возникновения в ходе учебного процесса перегрузки в тех случаях, когда материал, изучаемый согласно программе, соответствует как учебному плану, так и возможностям учащихся.
Центральным звеном учебно-воспитательного процесса является урок. Поэтому важным становится вопрос о том, как следует строить урок, с тем, чтобы не допустить возникновения перегрузки учащихся. С этой целью в процессе комплексного исследования обращалось особое внимание на построение урока, его отдельные компоненты, на выявление того, какое влияние они могут оказать на объём домашней нагрузки учащихся.
Для устранения перегрузки учащихся домашней работой путём перенесения центра тяжести учебной нагрузки на урок нужны обоснованные расчёты времени на различные виды учебной работы, выполняемой в ходе приготовления домашнего задания по каждому предмету, с помощью которых учитель может регламентировать учебную нагрузку класса и каждого ученика в отдельности. Необходимо также выяснить, какую долю в утомляемость учащихся может вносить сама учебная работа, а в какую – различные преходящие факторы, сопровождающие процесс обучения: психическое и физиологическое состояние учащихся, которое является следствием несоблюдения физиолого-гигиенических норм в школе и дома, нежелание учиться, страх перед получением неудовлетворительной оценки и т.д.
Разрабатывая совместно с психологами рекомендации по оптимальному объёму, сложности и скорости изучения учебного материала на уроке и дома, планирование учебного процесса и совершенствуя методику обучения, методисты нуждаются в получении со стороны физиологов показателей нормативной работоспособности школьников, данных о том, какую же долю вносит сама учебная деятельность учащихся в их общую нагрузку.
I.4. Типология высшей нервной деятельности
В разные периоды развития общества по-разному решались оздоровительные, воспитательные, образовательные задачи в отношении подрастающего поколения, но всё же прямо или косвенно затрагивалась проблема работоспособности организма ребёнка.
Стремление поддержать высокую работоспособность ребёнка, охранить его от чрезмерного утомления возникло, видимо, с началом систематического обучения детей (в России – в X-XI веках). (М.В.Антропова, 1968г.).
В древних рукописях упоминаются отдельные элементарные правила гигиены воспитания и обучения – необходимость закаливания и дневного сна, значение пищи, питья, сна и покоя.















