9953 (646178), страница 19
Текст из файла (страница 19)
Оценка школьной мотивации учащихся младших классов
Расскажи о школе
(анкета для учащихся 1 класса, заполняется родителями по ответам ребёнка)
| Вопросы | Ответы в баллах | ||
| 3 | 1 | 0 | |
| 1.Тебе нравится в школе? - да - не очень - нет | |||
| 2. Утром ты всегда с радостью идёшь в школу или тебе часто хоч5ется остаться дома? - иду с радостью - бывает по-разному - чаще хочется остаться дома | |||
| 3. Если бы учитель сказал, что завтра в школу не обязательно приходить всем ученикам, ты пошёл бы в школу или остался дома? - пошёл бы в школу - не знаю - остался бы дома | |||
| 4. Тебе нравится, когда у вас отменяют какие-нибудь уроки? - не хотел бы - не знаю - хотел бы | |||
| 5. Ты хотел бы, чтобы тебе не задавали никаких домашних заданий? - не хотел бы - не знаю - хотел бы | |||
| 6. Ты хотел бы, чтобы в школе остались одни перемены? - нет - не знаю - хотел бы | |||
| 7. Ты часто рассказываешь о школе своим родителям? - часто - редко - не рассказываю | |||
| 8. Ты хотел бы, чтобы у тебя был другой, менее строгий учитель? - мне нравится наш учитель - точно не знаю - хотел бы | |||
| 9. У тебя в классе много друзей? - много - мало - нет друзей | |||
| 10. Тебе нравятся твои одноклассники? - нравятся - не очень - не нравятся | |||
| Суммарный балл | |||
3 балла – первый ответ;
1 балл – второй ответ;
0 баллов – третий ответ.
Приложение 2
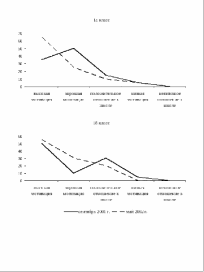
Школьные мотивации учащихся 1-х классов Ладбалковской средней
общеобразовательной школы
приложение 3
КАРТА ОБСЛЕДУЕМОГО
Фамилия________________________________ Имя_________________________
Дата рождения_______________ Месторождения___________________________
Национальность________________ Отец_____________ Мать_________________
Адрес школы___________________________ класс__________________________
Домашний адрес_______________________________________________________
Дата обследования_______________ полных лет____________________________
Заболевания___________________________________________________________
Кол-во пропущенных дней по причине болезни______ группа здоровья________
Антропометрические данные:
Длина тела______________ Масса тела____________ Длина туловища__________
Длина плеча____________ Длина ноги____________ Ширина плеч_____________
Окружность плеча_______ Плечевая дуга_________ Ширина таза______________
Окружность бедра_______ ОКГ: в покое_____ на вдохе_____ на выдохе________
Экскурсия грудной клетки_______________________________________________
Тип конституции_______________________________________________________
Весо-ростовой индекс_____________ Росто-весовой индекс___________________
Уровень физического развития___________________________________________
Грудино-лопаточный тест______________ Грудино-плечевой тест_____________
Состояние осанки_______________________________________________________
Состояние зрительного аппарата__________________________________________
Время бега на дистанции 30м/с_________ Челночный бег 3*10м/с______________
Сгибание и разгибание рук в упоре лёжа, кол-во раз__________________________
Метание набивного мяча весом 1кг из исходного положения сед ноги врозь, см__
Подъём в сед из положения лёжа, кол-во раз________________________________
Наклон вперёд из положения сидя (гибкость), см______ Бег на 1000м, м/с_______
Артериальное давление в покое: САД_________ ДАД______ ПД_______________
ЧСС в покое____________________________________________________________
Артериальное давление после ортопробы: САД_______ ДАД______ ПД_________
ЧСС после ортопробы___________________________________________________
Проба Мартинэ__________________ Проба Штанге__________________________
Величина АП____________________ Величина КЗ___________________________
Тест МПК: ЧСС до нагрузки________ ЧСС после____________________________
Величина МПК_____________________ МПК/кг_____________________________
Уровень тревожности_____________ Адекватность самооценки (АСО)__________
Оценка школьной мотивации_____________________________________________
Длительность индивидуальной минуты_____________________________________
Состояние артериального давления и возраста (индекс А)
| САД возраст | Диастолическое артериальное давление (ДАД) | |||||||||||
| 40 | 45 | 50 | 55 | 60 | 65 | 70 | 75 | 80 | 85 | 90 | 95 | |
| 80 | 144 | 148 | 152 | 156 | 160 | 164 | 168 | 172 | 176 | 190 | 184 | 188 |
| 85 | 151 | 155 | 159 | 163 | 167 | 171 | 175 | 179 | 183 | 187 | 191 | 195 |
| 90 | 158 | 162 | 166 | 170 | 174 | 178 | 182 | 186 | 190 | 194 | 198 | 202 |
| 95 | 165 | 169 | 173 | 177 | 181 | 185 | 189 | 193 | 197 | 201 | 205 | 209 |
| 100 | 172 | 176 | 180 | 184 | 188 | 199 | 196 | 900 | 204 | 208 | 212 | 216 |
| 1005 | 179 | 183 | 187 | 191 | 195 | 199 | 203 | 207 | 211 | 215 | 219 | 223 |
| 110 | 186 | 190 | 194 | 199 | 202 | 206 | 210 | 214 | 218 | 222 | 226 | 230 |
| 115 | 193 | 197 | 201 | 205 | 209 | 213 | 217 | 221 | 225 | 229 | 233 | 237 |
| 120 | 200 | 204 | 208 | 212 | 216 | 220 | 224 | 228 | 232 | 236 | 240 | 244 |
| 125 | 207 | 211 | 215 | 219 | 223 | 227 | 231 | 235 | 239 | 243 | 247 | 251 |
| 130 | 214 | 218 | 222 | 226 | 230 | 234 | 238 | 240 | 246 | 250 | 254 | 258 |
| 135 | 221 | 225 | 229 | 233 | 937 | 241 | 245 | 249 | 253 | 257 | 261 | 265 |
| 140 | 228 | 232 | 236 | 240 | 244 | 248 | 259 | 256 | 260 | 264 | 268 | 272 |
| 145 | 235 | 239 | 243 | 247 | 251 | 255 | 259 | 263 | 267 | 271 | 275 | 279 |
| 150 | 249 | 246 | 250 | 254 | 258 | 269 | 266 | 270 | 274 | 278 | 289 | 286 |
| 155 | 249 | 253 | 257 | 261 | 265 | 269 | 273 | 277 | 281 | 285 | 289 | 293 |
| 160 | 256 | 260 | 264 | 268 | 272 | 276 | 280 | 284 | 288 | 292 | 296 | 300 |
Значение «САД + возраст» берется с приближением до 2 единиц.















