4696 (643173), страница 2
Текст из файла (страница 2)
Власник підприємства зобов'язаний інформувати працівників про стан охорони праці, причини нещасних випадків, професійних захворювань та про заходи, котрих вжито для їх усунення та для забезпечення умов праці відповідно до нормативних вимог.
Метою аналізу виробничого травматизму є розробка заходів щодо попередження нещасних випадків. Для цього необхідно систематично аналізувати і виявляти причини, що їх зумовлюють. Найбільш розповсюдженими методами аналізу виробничого травматизму є такі: статистичний і монографічний, заслуговують уваги економічний, ергономічний, прогностичний методи [6, c. 47].
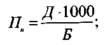
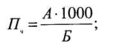
Статистичний метод базується на аналізі статистичної документації з травматизму. Вихідними даними для аналізу є матеріали, що містяться в актах за формою Н-1, який складається про нещасний випадок, внаслідок якого працівник згідно з медичним висновком втратив працездатність на один день і більше або виникла необхідність перевести його на іншу, легшу роботу, терміном не менш ніж на один день, а також у звітах підприємства за формою 7-Т. Згадані документи містять наступні дані: кількість нещасних випадків, що викликали втрату непрацездатності на чотири і більше робочих днів за звітний період А; кількість днів непрацездатності, викликаних нещасними випадками за звітний період Д; середня спискова чисельність працюючих на підприємстві за звітний період Б.
За зібраними даними визначаються три показники виробничого травматизму:
показник частоти травматизму Пч
показник важкості травматизму Пв
показник непрацездатності Пн
З метою кількісної оцінки рівня захворюваності на виробництві розраховують показник частоти випадків захворювань та показник важкості захворюваності.
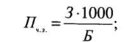
Показники захворювання визначаються за формулами: показник частоти захворювань Пч.з
З метою кількісної оцінки рівня захворюваності на виробництві розраховують показник частоти випадків захворювань та показник важкості захворюваності.
показник важкості захворювань Пв.з:
де 3 - загальна кількість випадків захворювання за звітний період, що викликали втрату непрацездатності 4 і більше робочих днів; Дз - кількість днів непрацездатності, що викликали випадки захворювання за звітний період;
Б - середня спискова кількість працюючих на підприємстві за звітний період.
Результати розрахунків подаються у вигляді таблиць або гістограм.
Власник підприємства зобов'язаний інформувати працівників про стан охорони праці, причини нещасних випадків, професійних захворювань та про заходи, котрих вжито для їх усунення та для забезпечення умов праці на рівні нормативних вимог.
Монографічний метод аналізу травматизму базується на аналізі небезпечних і шкідливих виробничих факторів, які властиві тому чи іншому елементові виробничого процесу (обладнанню, технологічному процесу, індивідуальним засобам захисту та іншим факторам). За цим методом поглиблено вивчають обставини нещасних випадків, а якщо виникає потреба, то проводять спеціальні дослідження і експерименти. Внаслідок вивчення великої кількості виробничих факторів з'ясовуються реальні причини нещасних випадків на основному робочому місці, на дільниці або на одній групі технологічного обладнання. Монографічний метод можна використати і для розробки заходів з охорони праці при проектуванні нових виробництв.
Економічний метод полягає у визначенні економічних втрат від виробничого травматизму з метою визначення економічної доцільності розробки та впровадження заходів з охорони праці.
Однак цей метод не дозволяє з'ясувати причини травматизму, тому його вважають підметодом.
Ергономічний метод базується на комплексному вивченні системи "людина-машина (техніка)-середовище" (ЛМС).
Вирішення ергономічних проблем, котрі виникають в процесі експлуатації системи ЛМС, доцільно проводити у напрямку опрацювання методів об'єктивного прогнозу змін якості діяльності людини під впливом різних несприятливих факторів та умов зовнішнього середовища (активність Сонця, гравітація Місяця, магнітні та гравітаційні поля Землі тощо), удосконалення моделей індивідуальної та групової діяльності людей в різних умовах.
Ергономічний метод дозволяє досліджувати причини нещасних випадків залежно від індивідуальних особливостей людини і санітарно-гігієнічних умов; психофізіологічної структури діяльності; виду системи ЛМС і як вирішуються нею проблеми; елементарного акту діяльності, котрий зумовив нещасний випадок та інші. По кожному нещасному випадку заповнюється спеціальний акт, що за формою нагадує акт Н-1, який містить 22 групи питань.
Прогностичний метод базується на прогнозуванні (передбаченні) нещасних випадків на основі вивчення і виявлення потенційної небезпеки. Аналізуються всі облікові і звітні матеріали про нещасні випадки, загальні та професійні захворювання, матеріали всіх видів контролю стану охорони праці; дані санітарно-технічних паспортів об'єктів, робочих місць, дільниць і цехів; матеріали спеціальних обстежень будівель, об'єктів, приміщень, обладнання тощо.
Прогностичний метод включає три підметоди:
морфологічний підметод, що базується на детальному вивченні конструкції обладнання, виявленні його недоліків, характеру технологічних операцій і прогнозування можливих нещасних випадків;
екстраполяційний підметод, що базується на виборі математичної функції, яка б достовірно описала явище травматизму;
підметод експертних оцінок, що базується на вивченні думок кваліфікованих фахівців в галузі охорони праці шляхом анкетування. Складність застосування підметодів при прогнозуванні умов праці визначається не тільки комплексним характером життєдіяльності, але й великою кількістю науково-технічних, виробничих, гігієнічних, організаційних, соціальних та інших факторів, що забезпечують ефективність всіх зусиль, що вживаються з метою забезпечення життєдіяльності.
Висновки
Успішна профілактика виробничого травматизму та професійної захворюваності можлива лише за умови ретельного вивчення причин їх виникнення. Для полегшення цього завдання прийнято поділяти причини виробничого травматизму і професійної захворюваності на наступні основні групи: організаційні, технічні, санітарно-гігієнічні, психофізіологічні.
Аналіз виробничого травматизму та профзахворюваності дозволяє виявити причини і визначити закономірності їх виникнення. На основі такої інформації розробляються заходи та засоби щодо профілактики виробничого травматизму і профзахворюваності. Для аналізу виробничого травматизму застосовують такі основні методи: статистичний, топографічний, монографічний, економічний, метод анкетування, метод експертних оцінок. Статистичний метод базується на вивченні травматизму за документами: звітами, актами, журналами реєстрації. Це дозволяє групувати випадки травматизму за певними ознаками: за професіями потерпілих, за робочими місцями, цехами, стажем, віком, причинами травматизму, обладнанням, яке спричинило травму.
Статистичний метод базується на аналізі статистичної документації з травматизму. Вихідними даними для аналізу є матеріали, що містяться в актах за формою Н-1, який складається про нещасний випадок, внаслідок якого працівник згідно з медичним висновком втратив працездатність на один день і більше або виникла необхідність перевести його на іншу, легшу роботу, терміном не менш ніж на один день, а також у звітах підприємства за формою 7-Т. Згадані документи містять наступні дані: кількість нещасних випадків, що викликали втрату непрацездатності на чотири і більше робочих днів за звітний період А; кількість днів непрацездатності, викликаних нещасними випадками за звітний період Д; середня спискова чисельність працюючих на підприємстві за звітний період Б.
Топографічний метод ґрунтується на тому, що на плані цеху (підприємства) відмічають місця, де сталися нещасні випадки. Це дозволяє наочно бачити місця з підвищеною небезпекою, які вимагають ретельного обстеження та профілактичних заходів. Повторення нещасних випадків в певних місцях свідчить про незадовільний стан охорони праці на даних об'єктах. На ці місця звертають особливу увагу, вивчають причини травматизму. Шляхом додаткового обстеження згаданих місць виявляють причини, котрі викликали нещасні випадки, формують поточні та перспективні заходи щодо запобігання нещасним випадкам для кожного окремого об'єкта.
Власник підприємства зобов'язаний інформувати працівників про стан охорони праці, причини нещасних випадків, професійних захворювань та про заходи, котрих вжито для їх усунення та для забезпечення умов праці згідно з нормативними вимогами.
Список використаних джерел
-
Анісімов М.В. Охорона праці. — Кіровоград: Видавничий центр КТКК, 2005. — 116 с.
-
Березуцький В.В., Бондаренко Т.С., Валенко Г.Г., Васьковець Л.А., Вершиніна Н.П. Основи охорони праці. — Х.: Факт, 2005. — 479 с.
-
Винокурова Л.Е., Васильчук М.В., Гаман М.В. Основи охорони праці. — К.: Факт, 2005. — 343 с.
-
Гандзюк М.П., Желібо Є.П., Халімовський М.О. Основи охорони праці. — К.: Каравела, 2005. — 392 с.
-
Геврик Є.О. Охорона праці. — К.: Ніка-Центр, 2005. — 294 с.
-
Жидецький В.Ц. Основи охорони праці. — Л.: Українська академія друкарства, 2006. — 336 с.















