4132 (642838)
Текст из файла
Некоторые аспекты накопления 90Sr и 90Y в березовом соке
к.с-х.н. Переволоцкий А.Н., к.с-х.н. Булавик И.М., Диденко Л.Г.
Радионуклиды в экологических исследованиях часто используются в качестве метки, с помощью которой удобно отслеживать движение их химических и изотопных аналогов. Так, 137Cs отражает миграцию калия и стабильного цезия, 90Sr v кальция и стабильного стронция. Поэтому изучение перераспределения искусственных радионуклидов в экосистемах имеет важное значение для более глубокого понимания механизмов функционирования природных сообществ.
В данном аспекте удобным объектом исследования корневого поступления радионуклидов для березы обыкновенной является ее сок в период интенсивного весеннего сокодвижения. В его составе находятся не только сахара и аминокислоты, запасенные в предыдущий вегетационный период, но и минеральные и органические соединения, поступившие из почвы. Именно это и позволяет оценить корневую доступность широкого спектра веществ. Однако, если концентрация основных минеральных элементов, имеющих биогенное значение, в соке изучена в достаточной степени /1-3/, то для радионуклидов подобные исследования начали проводится только в последние годы и связано это с радиоактивным загрязнением окружающей среды в результате аварии на ЧАЭС. Причем, при довольно подробном изучении закономерностей корневого поступления 137Сs в березовый сок /4-6/, эти вопросы для 90Sr и для его дочернего радионуклида - 90Y практически не изучены. Поэтому целью данного исследования являлось изучение особенностей накопления радионуклидов 90Sr и 90Y в березовом соке.
ОБЪЕКТЫ И МЕТОДИКА ИССЛЕДОВАНИЙ
Исследования проводились на стационарных опытных объектах сектора радиологии леса Института леса НАНБ в дальней зоне радиоактивного загрязнения в кв.340 Добрушского лесничества Гомелского лесохоза и кв.168 Ветковского лесничества Ветковского спецлесхоза (170 км северо-западнее ЧАЭС). Сосново-березовые насаждения на пробных площадях относятся к мшистому типу леса, их возраст составляет 40-60 лет. Радиометрический анализ почвы показал, что поверхностная активность 90Sr в пределах указанных кварталов составляла 24-41 кБк/м2.
На каждой пробной площади подсачивалось 3-5 деревьев. При подсочке в каждом из них специальным буравом в комлевой части просверливалось отверстие диаметром 1,5 см и на глубину 1 см непосредственно под которым закреплялся металлический желобок. В месте отбора прикреплялся полиэтиленовый пакет, что позволило до минимума сократить привнесение радиоактивности извне. Длительность отбора одной пробы составляла около 1 суток и за это время объем заготовленного сока составлял 2-3 литра. После завершения отбора пробы подкислялись, переливались в полиэтиленовые емкости и доставлялись в лабораторию. В кв. 168 отбор был произведен 8 апреля, а в кв. 340 - 13 апреля.
Определения объемной концентрации радионуклидов в березовом соке производилось
-радиометром EL-1311 ?Атомтех¦. Для исследования спектров излучения в данном приборе используется планарный детектор типа ?Фосвич¦, состоящий из пластикового сцинтиллятора
мм для регистрации
-излучения и неорганического сцинтиллятора СsI(Tl)
мм для исследования спектра
-излучения. Определение концентрации 90Sr проводится методами
-радиометрии по излучению дочернего 90Y, причем предполагается наличие радиоактивного равновесия между материнским и дочерним радионуклидами в исследуемой пробе /7/. В качестве выходного параметра программное обеспечение радиометра приводит величину суммарной объемной b -активности по смеси 90Sr+90Y. Приборная эффективность регистрации 90Sr и 90Y составляет 5,1 х 10-3 л х Бк-1 х с-1/7/. Измерение проб проводилось в стандартных 200 мл сосудах. Время измерения каждой пробы составляло 40-60 минут.
РЕЗУЛЬТАТЫ И ОБСУЖДЕНИЕ
При проведении повторных радиометрических анализов проб березового сока, отобранных в кв. 168 8 апреля, было замечено, что суммарная объемная активность 90Sr+90Y в них снизилась от 195-240 Бк/л до 105-151 Бк/л примерно за трое суток (табл.1). Схожий характер уменьшения объемной концентрации указанных радионуклидов был зафиксирован и на 10 других опытных объектах в Ветковском и Гомельском лесхозах, где нами проводятся многолетние мониторинговые исследования за накоплением радионуклидов в березовом соке. Причиной этого явления, по нашему мнению, могло быть нарушение в березовом соке радиоактивного равновесия между 90Sr и 90Y в пользу дочернего радионуклида. Для подтверждения этой гипотезы и установления временных параметров изменения объемной активности был проведен специальный эксперимент, при котором пробы сока, отобранные в кв.340, подвергались радиометрическому анализу в течение месяца. Первоначально измерения проводились ровно через сутки, а после 18 апреля через двое-трое суток. Сроки между измерениями и их результаты приведены в табл. 1.
| Согласно данным, приведенным в таблице 1, суммарная объемная активность 90Sr+90Y в березовом соке из кв. 340 через 10 часов после отбора проб составляла 200-280 Бк/л. Оценивая временную динамику объемной концентрации радионуклидов, нетрудно заметить во всех пробах монотонное снижение этого показателя с последующим выходом на плато при 45-50 Бк/л по истечению 200-250 часов после отбора пробы. При этом наиболее интенсивно объемная активность уменьшается в первые трое суток. | Таблица 1 |
Очевидно, что выявленное уменьшение объемной активности 90Sr+90Y в березовом соке при указанных в методике особенностях измерении данным прибором, может быть определено как раз нарушением радиоактивного равновесия между этими генетически связанными радионуклидами в сторону дочернего радионуклида. В противном случае возможны были бы два варианта:
-
объемная активность не претерпевала никаких изменений во времени. Этому случаю соответствовало бы поступление обоих радионуклидов из почвы в березовый сок в равных количествах;
-
объемная активность увеличивалась во времени с последующим выходом на плато. Этому случаю соответствует более интенсивное поступление 90Sr в березовый сок из почвы по сравнению с 90Y. В дальнейшем, по мере распада материнского радионуклида, количество дочернего будет возрастать до установления состояния радиоактивного равновесия между ними. Подобное увеличение могло быть зафиксировано радиометром при измерении одних и тех же пробы в течение длительного времени.
Можно предположить, что корневое поступление генетически связанных 90Sr и 90Y в березу происходит по различным закономерностям, из-за чего радиоиттрий поступает более интенсивно, чем радиостронций.
Поэтому, непосредственно после отбора объемная
-активность березового сока максимальна. В дальнейшем, происходит радиоактивный распад ?избыточно¦ поступившего 90Y и концентрация уменьшается до тех пор, пока между материнским и дочерним радионуклидами не установится состояние радиоактивного равновесия.
Фактически, задача сводится к классическому в ядерной физике случаю исследования динамики объемной активности смеси материнского и дочернего радионуклидов, для которой характерно смещение радиоактивного равновесия в сторону последнего. Для более точного определения соотношения радионуклидов на момент отбора, позволяющего оценить уровни их поступления в березовый сок, динамика объемной активности для радиоиттрия была смоделирована математически:
ActY = Ac0Yexp(-0.693 t / T)+ Ac0Sr[1-exp(-0.693 t/T)],
(1)
где
ActY v объемная
-активность 90Y в березовом соке в момент времени t;
Ac0Y v объемная
-активность 90Y в березовом соке в момент начала отбора;
Ac0Sr - объемная
-активность 90Sr в березовом соке в момент начала отбора, но учитывая большой период полураспада радиостронция, ее можно принять постоянной в течение 720 часов измерений на протяжении всего эксперимента;
t v время в часах с начала отбора сока;
T v период полураспада радиоиттрия в часах (64 часов).
Данное уравнение состоит из слагаемых, отражающих прохождение двух разновекторных процессов. Первый член соответствует радиоактивному распаду ?избыточно¦ поступившего в сок (по отношению к материнскому 90Sr) дочернего 90Y, второй v накоплению радиоиттрия, вызванного распадом материнского радиоизотопа.
Нетрудно заметить, что при времени t значительно меньшем за период полураспада материнского радионуклида этот случай подвижного равновесия можно рассматривать как вековое равновесие. Необходимыми условиями при этом является соблюдение отношений постоянных распада
мат <<
l доч. и неизменности в течение времени эксперимента, равного многим периодам полураспада дочернего радионуклида, активности материнского. Важным допущением, также, является равенство коэффициентов счетности материнского и дочернего радионуклидов.
| На рис. 1 приведена графическая интерпретация расчета динамики активности радиоиттрия в смеси 90Y+90Sr при отношении их активностей как 50:10. Суммарная активность 90Y (линия 4) изменяется, как уже говорилось выше, за счет прохождения двух разнонаправленных процессов. С одной стороны, избыточно поступившая в сок (по отношению к материнскому 90Sr) доля радиоиттрия претерпевает радиоактивный распад, что отмечено линией 1. Но с другой стороны, идет накопление дочернего радионуклида в соке за счет распада материнской фракции (линия 3). Суммирование этих двух разновекторных процессов, в итоге, приводят к более медленному изменению суммарной активности, отраженному линией 4. При этом нетрудно заметить, что динамика активности будет зависеть от начального соотношения активностей 90Y/ 90Sr в отобранной пробе v чем оно выше, тем более резкими будут изменения. Важность оценки этого соотношения активностей в момент отбора сока состоит в том, что оно отражает фактические концентрации радионуклидов в растении. |
|
Параметры для уравнения 1 несложно определить из табл.1 исходя из условия предполагаемого радиоактивного равновесия в пробе [7]. Так, ActY =Act /2 может быть вычислена из табл. 1 для любого момента измерения t. В нашем случае, для деревьев в кв.340, она снижается от 100-140 Бк/л при t=10 часов до 20-30 Бк/л при t=250-710 часов. Ac0Sr также равна Act /2, однако, эта величина может быть корректно определена при фактически установившемся радиоактивном равновесии между радиостронцием и радиоиттрием, т.е., как минимум, по истечении 250-300 часов после отбора пробы. Для деревьев в кв. 340 она будет находится на уровне 20-30 Бк/л. В целом же, учитывая большой период полураспада 90Sr можно принять Ac0Sr=const в течение всего времени эксперимента. Таким образом, с помощью представленных величин и данных табл. 1 по уравнению (1) была рассчитана начальная объемная
-активность радиоиттрия Ac0Y, соответствующую его содержанию на момент отбора сока t=0 (табл.2).
Таблица 2
Начальная объемная активность радионуклидов в березовом соке, Бк/л
| Показатели | Номера модельных деревьев | ||||
| ¦1 | ¦2 | ¦3 | ¦4 | ¦5 | |
| Ac0Y, Бк/л | 143 | 119 | 128 | 120 | 114 |
| Ac0Sr, Бк/л | 30 | 24 | 27 | 26 | 24 |
| Отношение Ac0Y / Ac0Sr | 4,77 | 4,96 | 4,74 | 4,62 | 4,75 |
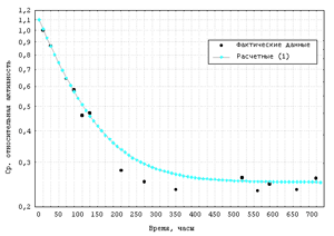
После того, как были определены все неизвестные величины в уравнении 1, ActY была рассчитана теоретически для произвольного момента времени t. На рис. 2 приведено среднее значение, нормированных объемных активностей на момент первого измерения (примерно 10 часов после отбора).
О высокой адекватность теоретических данных фактическим результатам свидетельствуют высокие значения корреляционных отношений между ними
=0,964-0,982 при нулевом уровне значимости, относительной ошибки аппроксимации v 8-9%, а критерия соответствия
= 4,74-9,48 при
табл=23,685.
|
|
Таким образом, установленное нами отношение Ac0Y / Ac0Sr=4,6-4,9 позволяет однозначно утверждать о превышение поступления радиоиттрия в березу по сравнению с материнским 90Sr, традиционно считающимся высокомобильным в системе почва-растение. Если же рассматривать 90Y как радиоактивную метку стабильного иттрия, то становится очевидным, что потоки последнего в экосистеме березового леса могут быть достаточно интенсивными. Вероятно, подобное явление может быть связано со способностью иттрия к комплексообразованию с различными органическими веществами, обладающими высокой растворимостью и подвижностью. Кроме того, ионный радиус данного элемента ниже, чем у стронция, с чем также может быть связано несколько большее поступление в растения. Пока сложно говорить и переносимости полученных результатов на другие древесные растения, в дальнейшем планируется продолжить исследования по этой теме. |
Выводы:
-
Измерение концентрации 90Sr методами
-радиометрии по излучению дочернего 90Y в биологических объектах следует проводить только при условии установления радиоактивного равновесия между этими генетически связанными радионуклидами по истечению 200-250 часов с момента отбора пробы. -
Поступление 90Y в березовый сок происходит в 4,6-4,9 ( в среднем в 4,75) раза более интенсивно, чем, 90Sr. Это позволяет говорить о более высокой биологической активности в экосистеме березового леса радиоиттрия.
Список использованной литературы.
1. Орлов И.И., Рябчук В.П. Березовый сок. // М.: Лесная промышленность. - 1982. - 55 с.
2. Рябчук В.П. Соки лиственных деревьев (Получение и использование). // Львов: Вища школа, 1988. - 150 с.
3. Leaf A.L. Watterston K.C. Chemical analysis of sugar maple sap and foliage as related to sap and sugar yields // Foresn Science. 1964. Vol.10 ¦3. - P.228-292.
4. Кучма Н.Д., Архипов Н.П., Федотов И.С. и др. Радиоэкологические и лесоводственные последствия загрязнения лесных экосистем зоны отчуждения // Чернобыль., 1994. - 53 с.
5. Мухамедшин К.Д., Чилимов А.И., Мишуков Н.П. и др. Лесное хозяйство в условиях радиации. - М.:ВНИИХлксхоз. - 1995. - 53 с.
6. Лес, Человек, Чернобыль. Лесные экосистемы после аварии на Чернобыльской АЭС: состояние, прогноз, реакция населения, пути реабилитации.// Под общ. ред Ипатьева В.А. - Гм. 1999. - 454 с .
7. Методика выполнения измерений содержания радионуклидов стронция-90 и цезия-137 в продуктах питания, питьевой воде, почве, сельскохозяйственном сыре и кормах, продукции лесного хозяйства и других объектах окружающей среды на бета-гамма-радиометре МКС-1311 (El-1311) МВИ МН 977-99. v НПП ?Атомтех¦, утверждена 20.03.99 г. v Мн. 1999. v 36 с.
Характеристики
Тип файла документ
Документы такого типа открываются такими программами, как Microsoft Office Word на компьютерах Windows, Apple Pages на компьютерах Mac, Open Office - бесплатная альтернатива на различных платформах, в том числе Linux. Наиболее простым и современным решением будут Google документы, так как открываются онлайн без скачивания прямо в браузере на любой платформе. Существуют российские качественные аналоги, например от Яндекса.
Будьте внимательны на мобильных устройствах, так как там используются упрощённый функционал даже в официальном приложении от Microsoft, поэтому для просмотра скачивайте PDF-версию. А если нужно редактировать файл, то используйте оригинальный файл.
Файлы такого типа обычно разбиты на страницы, а текст может быть форматированным (жирный, курсив, выбор шрифта, таблицы и т.п.), а также в него можно добавлять изображения. Формат идеально подходит для рефератов, докладов и РПЗ курсовых проектов, которые необходимо распечатать. Кстати перед печатью также сохраняйте файл в PDF, так как принтер может начудить со шрифтами.
Рис.1. Графическая интерпретация расчетной активности смеси изотопов 90Y и 90Sr















