3610 (642241), страница 2
Текст из файла (страница 2)
Температура уходящего воздуха определяется как:
где tp.3 - температура воздуха в рабочей зоне (берется по нормам),°С;
ψ- коэффициент нарастания температуры по высоте помещения, равный 0,5-1,5 °С/м;
Н - расстояние по высоте от пола до центра вытяжных отверстий, м.
Если в помещении выделяется избыточная влага, то необходимый воздухообмен можно вычислить по формуле:
р (dyx -dnp), где G - количество влаговыделений, кг/ч; dyx и dnp - влагосодержание уходящего и приточного воздуха, кг. (на кг сухого воздуха).
В некоторых случаях, оговоренных в нормативных документах, необходимый воздухообмен L определяется по кратности k, показывающей, сколько раз воздух за 1 ч меняется в помещении. В таких случаях L=kV, где V - объем помещения, м3.
Зная L и допустимые скорости движения воздуха v по воздуховодам, определяем их сечение F (в м2):
3600v где v=6-12 м/с - для магистральных воздуховодов и не более 8 м/с - для ответвлений.
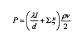
Движение воздуха по воздуховодам сопряжено с преодолением сопротивления трения воздуха о стенки воздуховодов и местных сопротивлений (отводы, тройники, переходники, решетки). Потери давления Р на преодоление этих сопротивлений:
где ג- коэффициент сопротивления трению, равный:
где k - абсолютная шероховатость стенок воздуховодов, мм; 1 - длина воздуховодов, м; d - диаметр воздуховодов, мм;
Σζ- сумма коэффициентов местных сопротивлений; Re - число Рейнольдса. Для стальных воздуховодов К=0,1 мм.
Для воздуховодов прямоугольной формы при расчетах по приведенным выше формулам пользуются понятием эквивалентного диаметра:
где а и b - стороны воздуховода.
Напор Н вентилятора должен быть достаточным для компенсации потерь давления Р и создания некоторого динамического давления Рд на выходе воздуха из вентиляционной сети, т.е. Н==Р+Рд. Величина Рд=рVр2/2 где Vp -допустимая скорость воздушной струи в рабочей зоне (м/с).
По величинам L и Н, пользуясь специальными графиками, подбирают нужный вентилятор, стремясь к тому, чтобы КПД его был максимальным. Мощность электродвигателя (на валу) Мдв (в кВт) для привода вентилятора:
где TiBr|H- КПД вентилятора и привода соответственно, В некоторых вентиляционных системах для подогрева наружного воздуха используют калориферы. Подбор их заключается в определении расхода теплоты QB (Вт/ч) на подогрев воздуха и расчете поверхности нагрева калориферной установки ж (в м) по формулам:
k - коэффициент теплопередачи калорифера, Вт^м^К);
Δtcp - разность температур теплоносителя калорифера (пар, вода) и воздуха,°С.
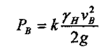
При расчете естественной вентиляции сначала находят располагаемое давление (гравитационное или ветровое, или их сумму). При ветре давление РВ в плоскости вентиляционных фрамуг
где k - аэродинамический коэффициент, равный для области повышенных давлений 0,75-0,85; пониженных - 0,4-0,45;
Ун - удельный вес наружного воздуха, НУмЗ; VB - скорость ветра, м/с.
Перепад давлений АР в плоскости фрамуг.
Необходимая площадь вентиляционных фрамуг рассчитывается как
где μ- коэффициент расхода, зависящий от конструкции фрамуг и угла открытия створок, равный ОД 5-0,65.
Общая величина гравитационного давления Рг, под влиянием которого также может происходить естественный воздухообмен в производственных помещениях:
где Н - расстояние между центрами нижнего и верхнего рядов вентиляционных отверстий; Ун, Ув - удельный вес наружного и внутреннего воздуха соответственно, Н/м3
При канальной естественной вентиляции диаметр трубы дефлектора ориентировочно можно определить по выражению:
где УД - скорость воздуха в трубе дефлектора, равная половине скорости ветра, м/с.
Подбор кондиционеров осуществляется таким образом, чтобы их производительность по воздуху, холоду и теплу обеспечивала создание требуемых условий микроклимата в обслуживаемых помещениях.
Список литературы
Для подготовки данной работы были использованы материалы с сайта http://www.manekin.narod.ru
















