275 (641626), страница 2
Текст из файла (страница 2)
На 19.02.09 в 5ч. 20м.
α = 12h 30΄ 36΄΄
δ = -2º 54΄47΄΄
На 24.02.09 в 2ч. 00м.
α = 11h 1΄ 7΄΄
δ = +6º 18΄
Эфемериды третьего положения мне пришлось взять в готовом виде в Интернете:
На 10.03.09. в 0ч. 00м.
α = 7h 54΄ 18΄΄
δ = +20º 13΄ 11΄΄
Для начала, выполнив необходимые вычисления, я перевел экваториальные координаты (α, δ) этих трех положений в эклиптикальные (X, Y, Z).
За единицу времени принял средние солнечные сутки, за единицу расстояния – астрономическую единицу.
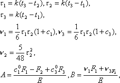
1. Находим для всех трех моментов величины:
Далее находим:
2. Находим величины:
,
где k = 0,017 202 1;
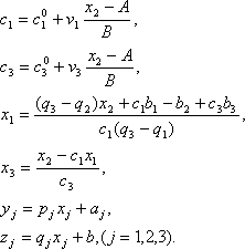
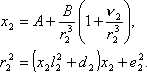
3. Решаем систему двух уравнений с двумя неизвестными x2 и r2:
Применяя так называемый метод последовательных приближений, выбираем произвольно некоторое начальное значение x2 = (x2)0, после чего находим (r2)0 и из следующего уравнения вычисляем значение x2 = (x2)1. Если бы начальное значение x2 было выбрано правильно, т.е. удовлетворяло бы уравнениям, то тогда (x2)0 = (x2)1. В противном случае (x2)0 ≠ (x2)1. Тогда с новым значением (x2)1 вычисляем аналогичным путем следующее приближение (x2)2. Если (x2)1 ≠ (x2)2, то вычисляем дальше и так до тех пор, пока два последующих приближения не сойдутся в пределах заданной точности.
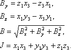
4. Далее находим:
Координаты (xj ,yj, zj), j = 1,2,3 – прямоугольные гелиоцентрические экваториальные координаты тела в моменты 1, 2, 3 соответственно. Дальнейшее вычисление элементов орбиты может быть проведено по двум гелиоцентрическим положениям. Обычно выбирают два крайних положения, но я взял два положения, соответствующие моим снимкам 19.02 и 24.02.2009.
5. Вычисляем:
где x, y, z1 – эклиптические координаты кометы 19.02, а x, y, z3 – координаты на 24.02.
6. Находим элементы Ω (долготу узла), i (наклонение) по формулам:
После проведения этих вычислений, у меня получились такие результаты:
Ω ≈ 338,8º
i ≈ 178, 4º, что означает обратное движение кометы по орбите с наклоном самой орбиты к эклиптике на 1,6º.
7. определяем параметр орбиты р:
,
где Y вычисляем с помощью непрерывной дроби:
р ≈ 2,6896 а. е.
Имея в распоряжении параметр орбиты, по очень простой формуле q=p/2 можно высчитать q (перигелийное расстояние) орбиты кометы Lulin.
q = 1,3448 а.е.
Значит, перигелий орбиты, с учетом погрешностей, находится где-то около орбиты Марса.
8. Эксцентриситет орбиты кометы Лулина, по определению равен 1, исходя из ее параболической орбиты. В связи с этим же мы не можем высчитать несуществующую большую полуось. Следовательно, такой элемент, как средняя аномалия М = 0.
9. Последним элементом находим аргумент перигелия ω. Я не нашел формул для его вычисления, поэтому мне пришлось считать аргумент перигелия и момент для прохождения (t0) перигелия с помощью специальной компьютерной программы.
В итоге вышло:
ω ≈ 152,2º
t0 ≈ 18. 01. 2009
Итак, получились такие элементы орбиты кометы С/2007 N3 Lulin:
i ≈ 178, 4º
Ω ≈ 338,8º
q ≈ 1,3448 а.е.
e = 1
M = 0
ω ≈ 152,2º
t0 ≈ 18. 01. 2009
Если сравнить с теми, что даны во Всемирной сети:
Наклон орбиты, гр 178,3704
Долгота восходящего узла, гр 338,4791
Перигелийное расстояние, а.е. 1,209265
Эксцентриситет орбиты 0,999581
Аргумент перигелия, гр 136,9164
Дата прохождения перигелия 10. 01.2009
Видно, что погрешность в моих вычислениях не очень большая, даже, можно сказать, приемлемая.
Теперь, зная элементы орбиты кометы Лулина, можно начертить и саму орбиту:
ЗАКЛЮЧЕНИЕ
Таким образом, мне удалось изучить, немного пронаблюдать и сфотографировать еще одну неординарную комету C/2007 N3 (Lulin), таящую в себе много загадок. В одной из них я смог разобраться – это ее очень быстрое движение на небе среди звезд из-за нестандартного расположения орбиты кометы, но вторая – отделение хвоста – так и остается неразгаданной.
Благодаря этой комете, точнее, благодаря неблагоприятным условиям ее видимости, мне, конечно, не удалось сделать так много ее фотоснимков, как прошлых неординарных комет, но, зато на примере кометы Lulin я смог разобраться и изучить небольшой, однако, довольно непростой раздел астрометрии, такой, как вычисление кеплеровских элементов параболической орбиты, о котором раньше я знал лишь азы.
В дальнейшем я планирую подробней и более глубоко изучить комету Lulin, исходя из имеющихся данных, попытаться рассчитать ее нормальную скорость, позиционный угол хвоста и другие элементы.
СПИСОК ИСПОЛЬЗОВАНОЙ ЛИТЕРАТУРЫ
-
Детская энциклопедия «Аванта» Астрономия.
-
Учебник для 11 класса Е. П. Левитан
-
Учебник для 11 класса Б. А. Воронцов-Вельяминов
-
Общий курс астрономии М. Кононович.
-
Интернет-ресурсы:
-
http://www.thinkquest.ru/library/40407/trip05
-
http://www.rian.ru/science/20090203/160863028
-
http://meteoweb.ru/astro/clnd023
-
http://www.astrogalaxy.ru/797
-
















