46234 (630409), страница 2
Текст из файла (страница 2)
3. Упростить и построить таблицу истинности:
.
Билет N 14
1. Базовая алгоритмическая структура: ветвление. Примеры.
2. Программный принцип работы ЭВМ фон - Неймана.
3. Решить уравнение: 256x (бит) = 64 (Гигабайт).
Билет N 15
1. Базовая алгоритмическая структура: повторение. Примеры.
2. Компьютеризация общества: смысл, значение. Примеры.
3. Составить логическую схему, соответствующую логическому выражению:
.
Билет N 16
1. Нисходящее проектирование алгоритмов (программ). Пример.
Устройства ввода информации в ЭВМ. Примеры.
Составить алгоритм вычисления максимума из всех минимумов по строкам заданного массива размерности N строк и М столбцов.
Билет N 17
1. Восходящее проектирование алгоритмов (программ). Пример.
2. Устройства вывода информации из ЭВМ. Примеры.
3. Составить алгоритм вычисления количества первых К простых чисел от заданного вещественного числа N до заданного вещественного числа М.
Билет N 18
1. Основные типы данных: целые, вещественные, символьные, литерные, логические. Примеры.
Типы операционных систем ЭВМ. Примеры ОС.
Составить алгоритм вычисления первых К наибольших чисел из элементов заданного ряда чисел и их мест (индексов).
Билет N 19
1. Структура данных - массив. Примеры.
Инструментальные программные системы. Примеры.
Составить алгоритм поиска в заданном тексте (литерная константа) заданного слова (литерная константа).
Билет N 20
1. Исполнители алгоритмов. Операционная среда, операционная обстановка. Примеры.
2. Пакеты прикладных программ. Примеры.
3. Составить алгоритм инвертирования текста (изменения порядка букв в тексте на обратный; текст - литерная константа).
Билет N 21
1. Модели и моделирование. Математическая модель. Примеры.
2. Этапы развития средств автоматизации вычислений. Примеры.
3. Составить алгоритм поиска всех четных чисел в заданном ряде чисел х1, х2, ..., хn и перезаписи их в конец этого ряда.
Билет N 22
1. Типы и свойства моделей. Примеры.
Электронная таблица: назначение, использование, основы работы в среде. Примеры.
Составить алгоритм для проверки, является ли заданная последовательность чисел х1, х2, ..., хn прогрессией (арифметической или геометрической).
Билет N 23
1. Жизненный цикл моделирования. Этапы, назначения. Примеры.
2. СУБД: назначение, использование. Примеры.
3. Упростить и построить таблицу истинности логической функции:
Билет N 24
Вычислительный эксперимент. Сферы применения и назначение. Примеры.
Электронная почта, теледоступ, телеконференции.
3. Составить алгоритм вычисления всех целых корней уравнения Ах+Ву=С (если они существуют), а<х, у
Билет N 25
1. Значение информатики, её методов для развития общества и познания.
Операционная система: назначение и функции. Примеры.
Составить алгоритм проверки, есть ли заданный элемент (число) А в заданном массиве В размерности N строк и М столбцов.
Билет N 26
1. Машинная графика и системы машинной графики. Сферы применения. Примеры.
2. Структурное и модульное проектирование алгоритмов. Примеры.
3. Составить алгоритм вычисления среднего арифметического всех кратных заданному числу а элементов заданной последовательности чисел х1, х2, ..., хn .
Билет N 27
Структура данных - запись. Примеры.
Интернет: назначение, приложения, особенности, основы работы в поисковых средах. Примеры.
3. Составить алгоритм перестановки местами наибольшего и наименьшего элементов заданной последовательной х1, х2, ..., хn .
4. Вопросы для проверки (самопроверки) знаний по всему курсу
Данные вопросы могут быть использованы для тестирования, проверки знаний учащихся по курсу информатики, например, при проведении коллоквиумов.
1.Что изучает информатика?
2. Почему возникла наука информатика?
3. Каково значение информатики для развития общества?
4. В чем состоит информатизация страны?
Каковы основные элементы новых информационных технологий?
Что такое информация?
Чем отличается информация от сообщения?
Что такое информация с мировоззренческой точки зрения?
Что такое алфавит ?
Как и какими единицами измеряют информацию?
Что означает слово “бит”?
Каково происхождение понятия “бит”? Чему равен один бит?
Для чего вводятся байт, полуслово, слово, двойное слово?
Чему равен один байт (одно полуслово, слово, двойное слово)?
Каковы соотношения между битами, байтами, килобайтами, мегабайтами, гигабайтами.
Что такое система счисления? Что входит в эту систему (перечислить составные элементы систем счисления)?
Существует ли система счисления с основанием 20? Как можно задать эту систему?
Какая система называется двоичной, восьмеричной, шестнадцатеричной?
Как технически можно реализовать двоичную систему?
Как переводятся целые (дробные) числа из десятичной системы счисления в другую систему?
Какая система называется позиционной (непозиционной)?
Как переводятся числа из смешанных систем в одну из используемых базовых и наоборот ?
Объясните переводы чисел из одной системы в другую по схемам:
2ó 8, 8ó 2 ,2ó 16, 16ó 2, 8ó 16, 16ó 8.
Как выполняется сложение (вычитание, умножение, деление) в р-ой системе?
Что такое обратный (дополнительный) код числа?
Каково правило вычитания через дополнительный код?
Что такое алгебра предикатов? Каковы ее необходимые элементы?
Что такое логическое (булево) выражение?
Какая функция называется логической? Каковы её область определения, область значений логических функции?
Какие операции определены над логическими переменными?
Что такое инверсия (дизъюнкция, конъюнкция)? Как она определяется?
Что такое таблица истинности, для чего она используется?
Каковы аксиомы алгебры логики и следствия из них?
Какие две логические функции эквивалентны ?
Что такое логическая (интегральная) схема, каково его назначение?
Что такое инвертор (дизъюнктор, конъюнктор)? Как он работает ?
Что такое полусумматор, сумматор?
Что такое интегральная схема?
Какие операции можно осуществлять с логическими схемами?
Как можно находить оптимальные логические схемы и по каким параметрам они могут быть оптимальны?
Что такое алгоритм? Откуда появилось это название?
Каковы свойства алгоритма?
Каковы основные базовые алгоритмические операции, их основные характеристики, свойства?
Каковы различные формы базовых алгоритмических структур?
Сколько способов представления алгоритмов знаете ? Какие они и в чем их суть?
Как изображается алгоритм на словесном формализованном языке (подобном учебному алгоритмическому языку), на языке блок-схем, на языке структурограмм или на другом известном Вам языке записи алгоритмов?
Каковы основные методы разработки алгоритмов?
В чем состоит тестирование, отладка алгоритма ?
В чем состоит отличие объекта, переменной для обозначения этого объекта, типа переменной и описания типа переменной?
В чем состоит процедура объявления типа переменной?
В чем заключается проверка типа переменной и как (где) она может быть осуществлена?.
Что такое исполнитель алгоритмов?
Что входит в операционную среду исполнителя?
Каковы основные этапы развития ЭВМ?
Кто из отечественных и зарубежных ученых внёс наибольший вклад в развитие ЭВМ и информатики?
Каковы базовые физические элементы каждого поколения ЭВМ?
Каковы классы ЭВМ, представители каждого класса и его основные характеристики (память, быстродействие)?
В чем состоит мировоззренческая (общеобразовательная, профоориентационная и воспитательная) составляющая компьютеризации общества?
Какие классы задач решаются на ЭВМ?
Какова роль ЭВМ в процессе познания?
Каковы перспективы развития ЭВМ и их применения в обществе?
Что понимается под архитектурой ЭВМ?
Как устроена память ЭВМ? Как физически реализуется ячейка памяти?
Как записываются целые, вещественные числа (с фиксированной точкой и с плавающей точкой) в ячейку памяти?
Что такое адрес ячейки памяти, для чего он служит?
Что такое базовый, машинный язык ЭВМ? Для чего служит?
Почему на машинном языке труднее писать программы?
Как взаимосвязаны объем адресуемой памяти и длина ячейки памяти?
Что такое регистр ЭВМ?
Каковы основные регистры ЭВМ и их функции?
Для чего служит внешняя память? Чем она отличается от оперативной памяти?
Как изображается структурная схема ЭВМ?
Что такое ЗУ? Какие типы ЗУ можете перечислить?
Что такое триггер, чип, шина, магистраль, в чем их назначение?
Какие типы шин знаете, для чего они предназначены?
Что такое АУ, УУ, процессор, каковы их основные функции и устройства ЭВМ, с которыми они взаимодействуют, характер их взаимодействия?
Каковы известные Вам устройства ввода и вывода и принципы их работы?
Что такое ПК? Чем он отличается от других типов ЭВМ?
Каковы известные вам ПК и их основные характеристики?
Каковы требования, предъявляемые к ПК?
Что такое тактовый генератор, как он влияет на быстродействие ЭВМ?
Каковы характеристики тактовых генераторов известных Вам ЭВМ?
Что такое контроллер? Какие контролеры бывают?
Что такое модем? Каковы его функции?
Что такое флоппи - диск? Каковы его функции и характеристики?
Что такое винчестер? Каковы его функции и характеристики?
Каковы основные архитектуры ЭВМ не фон - Неймановского типа?
Что такое алгоритмический язык и для чего он предназначен? Чем он отличается от, например, английского языка?
Что такое алфавит языка, лексический анализ, синтаксический анализ и семантический анализ?
Что такое язык программирования? Чем от отличается от алгоритмического языка? Каково его назначение?
Какие типы языков бывают?
Что такое транслятор? Какие режимы трансляции бывают? Каковы их отличительные и сходные стороны?
Каковы основные компоненты учебного алгоритмического языка?
Какой общий вид имеет алгоритм на учебном алгоритмическом языке?
Каково старшинство операций в учебном языке?
Как и какие функции определены в учебном алгоритмическом языке?
Как и какие типы переменных определены в учебном языке?
Из каких основных элементов состоит программное обеспечение ЭВМ?
Что входит в понятие "вычислительная система"?
Что такое прикладное и системное программирование, в чем их суть и каковы их основные задачи?
Что входит в базовое (прикладное) программное обеспечение?
Какими основными элементами определяется ППП?
Каковы особенности ППП (отличия от других, типов ПО)?
Что такое OС, каковы его функции и основные элементы?
Каковы задачи выполняемые ОС при выполнении задания?
Что такое инструментальная система, каково ее назначение?
Каковы основные характеристики современных интегрированных программных систем?
Какая модель называется математической? Каковы задачи моделирования?
Каковы свойства моделей? Как эти свойства взаимосвязаны?
Каковы основные этапы жизненного цикла моделирования?
Что такое вычислительный или компьютерный эксперимент?
Что такое информатизация, чем она отличается от компьютеризации?
Каково значение информатики для усиления межпредметных связей?
Что такое база данных и СУБД?
Что такое АРМ?
Что такое САПР?
Что такое база знаний?
Что такое экспертная система?
Что такое электронная почта?
Что такое телеконференция?
Что такое Интернет?
Что такое машинная графика и система машинной графики?
Что такое мультимедиа?
Что такое гипертекст?
Что такое гипермедиа?
Что такое электронная таблица?
Ответы на задачи из “Дидактических материалов” Казиева В.М.
Тема 1. “Информация. Кодирование. Инфологические задачи”
Вариант 1
x=41.
xn=32n—2.
A=7, B=3.
Система кодировки - одношаговый код Цезаря. “АВТОМОБИЛЬ” - “БГУПНУВКМЪ”.
Вариант 2.
x= —5/3.
xn=n! =1´ 2´ ...´ (n-1)´ n.
A=5, B=0.
Система кодировки - двухшаговый код Цезаря, “АРБУЗ” - “ВТГРЙ”.
Тема 2. “Системы счисления”
Вариант 1
а=437,2812510 .
110111,01110112 ® 67,3548 ® 37,7616 .
55118 .
10,12 .
Вариант 2
а=336,312510 .
11110,1101101 ® 1Е,DА16 ® 36,6648 .
9С216 .
11,12 .
Тема 3. “Алгебра предикатов”, “Логические схемы”
Вариант 1
z=1.
4. z=
.
Вариант 2
z=0.
4. z=
.
Тема 4. “Алгоритмы”
Вариант 1
Тело алгоритма (для случая чётного n; для нечётного n - см. вариант 2):
minx:=x[1,1]
maxx:=x[2,1]
i:=1
нц пока i<=n—1
нц для j от 1 до n
minx:=min(minx, x[i,j])
maxx:=max(maxx, x[i+1,j])
кц
i:=i+2
кц
Тело алгоритма:
A:=’ ‘+A; | для удобства определения слов - искусственная замена
k:=0 | k - счётчик числа слов
нц для i от 1 до длина(А)-1
если (A[i:i]=’ ‘) и (A[i+1:i+1] =B)
то k:=k+1
кц
вывод(‘Текст A содержит ‘, k, ‘ слов’)
Вариант 2
Тело алгоритма (для случая нечётного n; для чётного n - см. вариант 1):
s:=0
p:=1
i:=1
нц пока i<=n—1
нц для j от 1 до n
если x[i,j]<0
то p:=p*x[i,j]
если x[i,j+1]>0
то s:=s+x[i+1,j]
кц
i:=i+2
кц
нц для j от 1 до n
p:=p*x[n,j]
кц
2. Тело алгоритма:
B:=’ ‘+B; | для удобства определения слов - искусственная замена
m:=длина(А)
n:=длина(В)
k:=0 | k - счётчик числа слов
нц для i от 1 до n—m+1
если (B[i:i]=’ ‘) и (B[i+1:i+m—1] =B) и (B[i+m:i+m]=’ ‘)
то k:=k+1
кц
вывод(‘Cлово A входит в слово В ‘, k, ‘ раз’)
Тема 5. “Проектирование алгоритмов”,
“Тестирование и трассировка алгоритмов”
Вариант 1
Набор тестов должен отражать случаи:
есть только один искомый ученик;
есть несколько искомых учеников;
нет ни одного искомого ученика;
файл (массив) данных пуст.
Вариант 2
Набор тестов должен отражать случаи:
есть только один искомый автомобиль;
есть несколько искомых автомобилей;
нет ни одного искомого автомобиля;
файл (массив) данных пуст.
Тема 6. “Исполнители алгоритмов”
Вариант 1
Тело алгоритма:
a:=sqrt((n**2+m**2)/2)
b:=arctg(n/m)*180
i:=1
налево(b)
нц пока i<=2
вперед(а)
взять
назад(а)
взять
назад(а)
положить
назад(а)
взять
вперёд(а)
положить
налево(180—2*b)
i:=i+1
кц
Вариант 2
Тело алгоритма:
не рисуй
налево(90)
вперед(m*sqrt(3)/3)
налево(150)
нц для i от 1 до 3
рисуй
вперед(m)
налево(120)
кц
не рисуй
Тема 7. “Основы компьютера”
Вариант 1
а) 0000011001100110; б) 0011001100110100
Слова - 100-101, 102-103, ..., 118-119, 124-125, 126-127, 128-129, 130-131.
Двойные слова - 100-103, 104-107, ..., 118-119, 124-127, 128-131.
Вариант 2
а) 0000011100111001; б) 0011100111000101
Слова - 212-213, 214-215, ..., 228-229, 236-237, 238-239.
Двойные слова - 212-215, 216-219, ..., 224-227, 236-239.
Тема 8. “Алгоритмические языки и методы трансляции”, “Вычислительная система”
Вариант 1
y=exp(x—2.6)+cos(p *x—2)/ln(sin(x))+2**(4—n**2)
y=6.8
sin(p ), exp(2), ln(exp(2)), max(sin(p ),ln(exp(2))), 3.8+max(sin(p ),ln(exp(2))), int(3.8), 3.8+max(sin(p ),ln(exp(2)))+int(3.8), mod(5,3), y .
Вариант 2
y=ln(sin(x))+2**(x+2.8)/(tg(2*p *x—3)+exp(x—c**2)
y=—0.8
cos(0), ln(3), exp(ln(3)), exp(ln(3))+1, max(cos(0),exp(ln(3))+1), 6.2+max(cos(0),exp(ln(3))+1), div(13,4), y .
Итоговая контрольная работа
Вариант 1
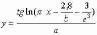
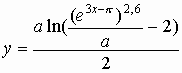
x=0,5, y= —3,5.
a= —9,62510 .
4. Фрагмент алгоритма:
i:=1
нц пока i<=n
если mod(x[i],2)=0
то y:=x[i]
нц для j от i до n—1
x[j]:=x[j+1]
кц
x[n]:=y
i:=i—1
все
i:=i+1
кц
Вариант 2
x=10, y=0.
a=352,510 .
4. Фрагмент алгоритма:
i:=1
нц пока i<=n
если mod(x[i],2)=1
то нц для j от i до m
x[j]:=x[j+1]
кц
n:=n—1
i:=i—1
все
i:=i+1
кц
Список литературы
Для подготовки данной работы были использованы материалы с сайта http://www.kaziev.by.ru/
0>














