183861 (629949), страница 2
Текст из файла (страница 2)
Подставляя в это уравнение значения t = 1,…, 36, найдем уровни T для каждого момента времени.
Шаг 5. Найдем значения уровней ряда, полученные по аддитивной модели. Для этого прибавим к уровням T значения сезонной компоненты для соответствующих месяцев.
Шаг 6. В соответствие с методикой построения аддитивной модели расчет абсолютной ошибки производится по формуле:
E = Y – (T + S).
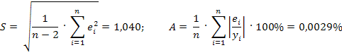
Исходя из значений выше приведенных показателей качества, можно сделать вывод о том, что модель обладает высокой точностью и пригодна для прогнозирования.
-
2.3 Мультипликативная модель временного ряда
Шаг 1. Проведем выравнивание исходных уровней временного ряда методом простой скользящей средней. Методика, применяемая для мультипликативной модели, полностью совпадает с методикой аддитивной модели. Расчетная таблица модели приведена в Приложении 4.
Шаг 2. Найдем оценки сезонной компоненты как частное от деления фактических уровней ряда на центрированные скользящие средние. Используем эти оценки для расчета значений скорректированной сезонной компоненты. Для этого найдем средние за каждый месяц оценки сезонной компоненты. Взаимопогашаемость сезонных воздействий в мультипликативной модели выражается в том, что сумма значений скорректированной сезонной компоненты по всем кварталам должна быть равно числу периодов в цикле, т.е. двенадцати, так как в нашем случае число периодов одного цикла равно 12 месяцам. В результате имеем следующие сезонные компоненты: 1,526 + 1,010 + 1,280 + 1,183 + 1,329 + 1,032 + 0,712 + 0,631 + 0,680 + 0,874 + 1,008 + 1,021 = 12,287.
Определим скорректированные значения сезонной компоненты, умножив ее на средние оценки на корректирующий коэффициент k:
Проверим условие равенства двенадцати суммы значений скорректированной сезонной компоненты:
1,491 + 0,987 + 1,250 + 1,155 + 1,298 + 1,008 + 0,695 + 0,616 + 0,664 + 0,853 + 0,985 + 0,997 = 12.
Получим следующие значения скорректированной сезонной компоненты (Таблица 4):
Таблица 4 - Значения скорректированной сезонной компоненты
| Январь | S1 | 1,491 | Июль | S7 | 0,695 |
| Февраль | S2 | 0,987 | Август | S8 | 0,616 |
| Март | S3 | 1,250 | Сентябрь | S9 | 0,664 |
| Апрель | S4 | 1,155 | Октябрь | S10 | 0,853 |
| Май | S5 | 1,298 | Ноябрь | S11 | 0,985 |
| Июнь | S6 | 1,008 | Декабрь | S12 | 0,997 |
Занесем полученные значения для соответствующих месяцев каждого года.
Шаг 3. Разделим каждый уровень исходного ряда на соответствующие значения скорректированной сезонной компоненты. Получим: T · E = Y / S, которые содержат только тенденцию и случайную компоненту.
Шаг 4. Определим компоненту T в мультипликативной модели. Для этого рассчитаем параметры линейного тренда, используя уровни (T · E). Результаты аналитического выравнивания:
Т = -64018,071 + 1201,064 · t; R2 = 0,863
Таблица 5 - Статистика уравнения тренда
|
| Коэффициенты | Стандартная ошибка | t-статистика | P-Значение |
| Y-пересечение | -64018,071 | 1744,938 | -36,688 | 6,24E-29 |
| t | 1201,064 | 82,242 | 14,604 | 3,27E-16 |
Уравнение описывает на 86,3% вариацию исходного показателя естественного прироста, при этом уравнение является статистически значимым при уровне надежности 95%.
Подставляя в это уравнение значения t = 1,…,36, найдем уровни Т для каждого момента времени.
Шаг 5. Найдем уровни ряда по мультипликативной модели, умножив уровни Т на значения скорректированной сезонной компоненты для соответствующих месяцев.
Шаг 6. Расчет ошибки в мультипликативной модели производится по формуле:
E = Y / (T · S)
Исходя из значений выше приведенных показателей качества, можно сделать вывод о том, что модель обладает высокой точностью и пригодна для прогнозирования.
-
2.4 Одномерный анализ Фурье
Выполним одномерный анализ Фурье для показателя естественного прироста населения РФ. Расчетная таблица ряда Фурье представлена в Приложении 5.
Переменными для составления модели будут следующие: t, cos(2·Π·t/12); sin(2·Π·t/12); cos(4·Π·t/12); sin(4·Π·t/12); cos(6·Π·t/12); sin(6·Π·t/12).
Значение знаменателя каждой дроби обусловлено периодичностью сезонных колебаний.
Построив модель с включением данных переменных, получаем следующее уравнение:
Ŷt = -64314,412 + 1178,132 · t – 5360,004 · cos(2·Π·t/12) –12253,175 · sin(2·Π·t/12) – 4098,437 · cos(4·Π·t/12) + 1894,178 · sin(4·Π·t/12) + 933,424 · cos(6·Π·t/12) –5109,257 · sin(6·Π·t/12); R2 = 0,897
Таблица 6 - Статистика уравнения для модели ряда Фурье
|
| Коэффициенты | Стандартная ошибка | t-статистика | P-Значение |
| Y-пересечение | -64314,412 | 2390,342 | -26,906 | 1,49932E-21 |
| t | 1178,132 | 113,994 | 10,335 | 4,62652E-11 |
| cos(2Pi*t/12) | -5360,004 | 1595,524 | -3,359 | 0,002267582 |
| sin(2Pi*t/12) | -12253,175 | 1647,329 | -7,438 | 4,22248E-08 |
| cos(4Pi*t/12) | -4098,437 | 1595,524 | -2,569 | 0,015828755 |
| sin(4Pi*t/12) | 1894,178 | 1603,648 | 1,181 | 0,247471866 |
| cos(6Pi*t/12) | 933,424 | 1595,524 | 0,585 | 0,56321529 |
| sin(6Pi*t/12) | -5109,257 | 1595,524 | -3,202 | 0,003385848 |
Уравнение описывает на 89,7% вариацию исходного показателя естественного прироста, при этом уравнение является статистически значимым при уровне надежности 95%.
Но коэффициенты перед переменными sin(4·Π·t/12) и cos(6·Π·t/12) не удовлетворяют данному уровню надежности.
Исключим их из модели и перестроим уравнение регрессии.
Ŷt = -64096,083 + 1166,330 · t – 5348,202 · cos(2·Π·t/12) – 12297,219 · sin(2·Π·t/12) – 4086,636 · cos(4·Π·t/12) – 5121,059 · sin(6·Π·t/12); R2 = 0,891
Таблица 7 - Статистика уравнения для модели ряда Фурье
|
| Коэффициенты | Стандартная ошибка | t-статистика | P-Значение |
| Y-пересечение | -64096,083 | 2361,646 | -27,140 | 1,138E-22 |
| t | 1166,330 | 112,370 | 10,379 | 1,90859E-11 |
| cos(2Pi*t/12) | -5348,202 | 1588,773 | -3,366 | 0,002101931 |
| sin(2Pi*t/12) | -12297,219 | 1639,342 | -7,501 | 2,31486E-08 |
| cos(4Pi*t/12) | -4086,636 | 1588,773 | -2,572 | 0,015299504 |
| sin(6Pi*t/12) | -5121,059 | 1588,773 | -3,223 | 0,003049779 |
Уравнение описывает на 89,1% вариацию исходного показателя естественного прироста, уравнение статистически значимо при уровне надежности 95%. Все коэффициенты уравнения статистически значимы при аналогичном уровне надежности.
Модель имеет высокие показатели среднеквадратической ошибки и средней ошибки аппроксимации, но может быть использована для прогнозирования.
-
2.5 Регрессионная модель с переменной структурой (фиктивные переменные)
Рассмотрим еще один метод моделирования временного ряда, содержащего сезонные колебания, - построение модели регрессии с включением фактора времени и фиктивных переменных. Количество фиктивных переменных в такой модели должно быть на единицу меньше числа моментов (периодов) времени внутри одного цикла колебаний. В данном случае при моделировании ежемесячных данных модель должна включать двенадцать независимых переменных – фактор времени и одиннадцать фиктивных переменных. Каждая фиктивная переменная отражает сезонную (циклическую) компоненту временного ряда для какого-либо одного периода. Она равна единице для данного периода и нулю для всех остальных периодов.
Построим модель регрессии с включением фактора времени и фиктивных переменных для данных о естественном приросте населения в РФ. В данной модели двенадцать независимых переменных: t, D2, D3, D4, D5, D6, D7, D8, D9, D10, D11, D12 и результативная переменная Y. Составим матрицу исходных данных (Приложение 6).
Уравнение регрессии имеет вид:
Ŷt = -89444,083 + 1132,083 · t + 24047,583 · D2 + 17218,167 · D3 + 21431,750 · D4 + 15077,333 · D5 + 26904,583 · D6 + 40734,833 · D7 + 43809,083 · D8 + 38606,667 · D9 + 32848,917 · D10 + 26662,833 · D11 + 24437,083 · D12
R2 = 0,960
Уравнение описывает на 96,0% вариацию исходного показателя естественного прироста, уравнение статистически значимо при уровне надежности 95%.
Оценим параметры уравнения регрессии обычным МНК. Результаты оценки приведены в Таблице 8.
Таблица 8 - Статистика уравнения для модели с фиктивными переменными
|
| Коэффициенты | Стандартная ошибка | t-статистика | P-Значение |
| Y-пересечение | -89444,083 | 2879,238 | -31,065 | 2,76051E-20 |
| t | 1132,083 | 79,218 | 14,291 | 6,2844E-13 |
| D2 | 24047,583 | 3803,309 | 6,323 | 1,8825E-06 |
| D3 | 17218,167 | 3805,783 | 4,524 | 0,000152385 |
| D4 | 21431,750 | 3809,903 | 5,625 | 1,00291E-05 |
| D5 | 15077,333 | 3815,664 | 3,951 | 0,000634609 |
| D6 | 26904,583 | 3823,058 | 7,037 | 3,59459E-07 |
| D7 | 40734,833 | 3832,075 | 10,630 | 2,38467E-10 |
| D8 | 43809,083 | 3842,705 | 11,401 | 6,10242E-11 |
| D9 | 38606,667 | 3854,934 | 10,015 | 7,43321E-10 |
| D10 | 32848,917 | 3868,747 | 8,491 | 1,52119E-08 |
| D11 | 26662,833 | 3884,126 | 6,865 | 5,33422E-07 |
| D12 | 24437,083 | 3901,054 | 6,264 | 2,16207E-06 |
Проанализируем эти результаты. Все коэффициенты уравнения и само уравнение статистически значимы при уровне надежности 95%.
Исходя из значений выше приведенных показателей качества, можно сделать вывод о том, что модель обладает высокой точностью и пригодна для прогнозирования.















