183254 (629831)
Текст из файла
Размещено на http://www.allbest.ru/
Статистика производства
Введение
В XX в. статистическая методология развивается на базе новых информационных технологий, сплошного статистического наблюдения, расширения сферы применения выборочных, анкетных, монографических обследований. Заметное влияние оказала и идеология марксизма. Теоретическими основами статистики в нашей стране, ряде стран Европы, Азии, Америки стали марксистская политическая экономия, диалектический и исторический материализм.
С развитием статистической науки, расширением сферы практической статистической работы изменялось и содержание понятия статистика. В настоящее время данный термин употребляется в трех значениях:
1) под статистикой понимают отрасль практической деятельности, направленной на получение, обработку и анализ массовых данных о самых различных явлениях общественной жизни;
2) статистикой называют цифровой материал, служащий для характеристики какой-либо области общественных явлений или территориального распределения какого-то показателя;
3) статистика это отрасль знания, особая научная дисциплина и соответственно учебная дисциплина в высших и средних специальных учебных заведениях.
Как и всякая наука, статистика имеет свой предмет. Она изучает количественную сторону массовых общественных явлений в неразрывной связи с их качественной стороной или их содержанием, а также количественное выражение закономерностей общественного развития в конкретных условиях места и времени.
Целью написания данной курсовой работы является комплексное исследование статистики производства продукции.
В ходе выполнения курсовой работы поставлены и решены следующие задачи:
- изучены теоретические и методические основы статистики производства продукции;
- проведен статистический анализ производства продукции;
- приведены решения задач.
Для написания работы использовались материалы, официально опубликованные Госкомстатом России и Минэкономразвития России.
В работе были использованы труды российских и зарубежных ученых по проблемам статистики.
Курсовая работа состоит из введения, двух глав, заключения и списка использованной литературы.
1. Статистические методы анализа динамики объема производства продукции и услуг
1.1 Понятие динамики в статистической методологии
Выявление закономерности развития и предвидение изменения будущей социально-экономической реальности является целью изучения любого общественного явления. Влияние на будущие процессы невозможно без учета истории их развития, т.е. их прошлого.
Исследование, учитывающее временной вектор, можно разбить на три этапа:
- анализ фактических ретроспективных данных (данных за прошедший период времени);
- прогнозирование дальнейшего развития явления;
- сравнение прогнозируемых данных с фактически полученными и коррекция аналитических выводов о закономерностях развития явления.
Включение вектора времени в систему аналитических векторов, описывающих изучаемую систему, называется в статистике динамикой. Другими словами, статистическая наука под динамикой понимает изменение явления во времени.
Изменение явления отображается с помощью нескольких хронологически упорядоченных значений признака, характеризующих это явление в различные временные промежутки. Такое отображение в статистике принято называть рядом динамики, а отдельные значения признака - уровнями ряда динамики. Уровни динамического ряда обычно обозначаются как «у» для того, чтобы подчеркнуть наличие вектора времени в исследовании.
Значение понятия «временной ряд» несколько отличается от понятия динамического ряда: временной ряд характеризует изменение случайной величины с учетом вектора времени. Однако, в некоторых литературных источниках встречается понимание указанных терминов как тождественных.
Изменчивость социально-экономического процесса является результатом воздействия на него целого ряда взаимосвязанных и взаимозависимых факторов. Однако, распределить степень влияния на изучаемый процесс между факторами достаточно сложно, а в количественной степени - почти невозможно, ввиду множественности факторов и неопределенности процессов. Поэтому, в статистике выделяют четыре параметра динамического ряда, которые еще называют «ненаблюдаемые компоненты ряда»:
1. Вековой уровень, или тренд. В английском языке термин «trend» употребляется в значении «тенденция, общее направление». В статистической науке под трендом понимают тенденцию, характеризующую основную закономерность изменения изучаемого явления во времени. Ключевым словом в данном определении является «основная закономерность», т.е. закономерность, не отражающая (или почти не отражающая) действие случайных факторов. Иначе говоря, тренд характеризует такое изменение явления, которое вызвано только ходом времени.
Устранение воздействия случайных факторов в тенденции можно объяснить как некоторое усреднение значений признака для временных промежутков, - средняя величина гасит влияние случайных признаков в ряду распределения.
2. Циклическая составляющая. Одной из причин динамики явления может быть его циклический характер. Существует целая теория экономических циклов, которая определяет виды циклов и степень цикличности различных социально-экономических явлений. Иногда понятие «волны» употребляется как тождественное понятию «цикл». Такой «физический» подход к анализу общественных явлений позволяет анализировать сразу несколько циклов, «волновой спектр», в рамках которых развивается явление.
Продолжительность циклов (или длину волны) для каждого процесса необходимо определять отдельно, что требует от исследователя глубоких экономических и социологических знаний.
3. Сезонная составляющая - это ряд факторов, которые в течение календарного года определенным образом изменяются, и такое изменение повторяется из года в год. В качестве примера влияния этой составляющей на изучаемый признак можно привести изменение показателя «Уровень цен на отдельные продукты питания» в различные периоды года.
4. Случайные колебания. Случайными факторами, влияющими на динамику явления, называются такие факторы, появление которых невозможно предвидеть, а степень воздействия сложно измерить ввиду его кратковременности.
В литературе можно встретить и другую градацию параметров, влияющих на ряды динамики, т.к. единой их классификации не существует.
Ряды динамики имеют две основных характеристики, по которым они классифицируются: тип данных и период времени.
В зависимости от типа данных, характеризующих явление, уровня ряда могут быть представлены абсолютными, относительными и средними величинами. В качестве примера можно привести показатели, образующие динамические ряды, соответственно, абсолютных, относительных и средних величин: «Израсходовано на природоохранные мероприятия за год, всего, тыс. руб.», «Удельный вес кредиторской задолженности по заработной плате работникам бюджетной сферы в общем объеме кредиторской задолженности, на 1 января, %» и «Средний размер дотации, получаемый одним муниципальным образованием (МО) за год, в сопоставимых ценах, тыс. руб. на одно МО».
Моментный ряд динамики образован моментными признаками, т.е. уровни ряда представлены на определенный момент времени. В интервальном ряду динамики уровни ряда представлены за период времени.
1.2 Статистические методы анализа динамики объема производства продукции и услуг
В статистическом изучении динамики объема производства продукции и услуг на предприятии можно использовать различные методы.
Статистическое исследование динамического ряда объема производства продукции и услуг на предприятии (фирме) осуществляется в несколько этапов:
- определение степени изменчивости отдельных уровней объема производства продукции и их сопоставление с уровнями, отстоящими на один промежуток времени;
- расчет средних значений показателей объема производства продукции и услуг;
- определение перечня факторов, под воздействием которых происходит изменение объема производства продукции и услуг;
- отображение основной закономерности развития (тенденции) изучаемого явления;
- выявление вероятных путей и результатов развития явления.
Для каждого этапа анализа разработаны специальные показатели. Ниже будет рассмотрена система аналитических показателей рядов динамики, соответствующая приведенной классификации этапов исследования.
Определение степени изменчивости отдельных уровней объемов производства продукции и услуг.
Показатели, позволяющие сравнивать уровни ряда, можно разделить на абсолютные и относительные: первые отображают разницу, а вторые - отношение между уровнями ряда динамики. Кроме того, такие показатели рассчитываются с постоянной и переменной базой сравнения.
2. Абсолютное ускорение (Yi) отображает разницу между значениями абсолютных приростов для смежных периодов времени и рассчитанных цепным способом.
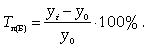
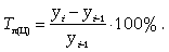
3. Темп роста - это отношение уровней ряда динамики между собой, когда в качестве базы сравнения принимается уровень для предшествующего периода, выражаемое в коэффициентах или процентах. Относительные показатели динамики, также как и абсолютные, могут рассчитываться с постоянной и переменной базой сравнения, т.е. базисным и цепным способами. Единицы измерения, принимаемые для относительных показателей динамики, выбираются в зависимости от цели анализа. На практике динамика, как правило, нагляднее всего представляется в процентном выражении.
4. Темп прироста (относительный прирост) - это показатель динамики, отражающий относительное изменение абсолютного прироста к уровню динамики.
Целью расчета данного показателя является сопоставление темпа прироста с абсолютным приростом. Расчет средних значений показателей объема производства продукции и услуг.
Расчет среднего уровня ряда имеет несколько условный характер, т.к. отражает реальный объем среднего значения производства продукции и услуг только для краткого интервала времени. Большинство общественных явлений изменяются достаточно быстро, поэтому, чем больше период времени, тем в меньшей степени средний уровень соответствует действительности, и тем больше вероятность несопоставимости анализируемых данных. Поэтому, определение среднего уровня динамического ряда корректно, как правило, для 1 года или нескольких лет.
Средний абсолютный рост (средний прирост) выпуска или реализации продукции определяется в соответствии с сущностью средней величины, т.е. путем распределения суммарного объема изменения признака поровну между всеми промежутками времени.
Средний относительный рост (средний темп роста) - наиболее часто используемый в анализе показатель динамики. Рассчитывается как:
- геометрическая средняя для цепных темпов роста;
- базисный темп роста, рассчитанный для последнего периода, вынесенный из-под корня степени, равной количеству цепных темпов роста, или количеству уровней ряда минус единица (n-1).
4. Средний относительный прирост рассчитывается как разность между средним темпом роста и единицей или 100 процентами, в зависимости от единиц измерения, в которых производится анализ.
Определение основной закономерности развития объемов производства продукции и услуг.
Включение времени в качестве фактора анализа предполагает возможность отображения через него влияния всех других факторов. Однако, воздействие прочих факторов в каждый период времени неравномерно, что выражается в колебаниях значений уровней ряда. Устранение случайного, кратковременного влияния, выявление основной закономерности развития процесса является важнейшим этапом анализа динамических рядов.
Первым шагом анализа закономерности является проверка гипотезы о наличии тенденции. Существуют специальные методы проверки любой статистической гипотезы. В качестве примера можно рассмотреть анализ разности средних уровней. Формулы для применения данного метода проверки гипотезы опускаются, приводится лишь его суть.
Характеристики
Тип файла документ
Документы такого типа открываются такими программами, как Microsoft Office Word на компьютерах Windows, Apple Pages на компьютерах Mac, Open Office - бесплатная альтернатива на различных платформах, в том числе Linux. Наиболее простым и современным решением будут Google документы, так как открываются онлайн без скачивания прямо в браузере на любой платформе. Существуют российские качественные аналоги, например от Яндекса.
Будьте внимательны на мобильных устройствах, так как там используются упрощённый функционал даже в официальном приложении от Microsoft, поэтому для просмотра скачивайте PDF-версию. А если нужно редактировать файл, то используйте оригинальный файл.
Файлы такого типа обычно разбиты на страницы, а текст может быть форматированным (жирный, курсив, выбор шрифта, таблицы и т.п.), а также в него можно добавлять изображения. Формат идеально подходит для рефератов, докладов и РПЗ курсовых проектов, которые необходимо распечатать. Кстати перед печатью также сохраняйте файл в PDF, так как принтер может начудить со шрифтами.
















