182486 (629485)
Текст из файла
Содержание
Введение…………………………………………………………………….2
Глава 1. Методы ценовой политики государства и предприятия (фирмы)…4
1.1. Ценовая политика предприятия……………………………………..4
1.2. Классификация методов ценообразования………………..………..6
Глава 2. Практическое применение методов ценообразования…………....21
.2.1. Затратные методы ценообразования……………………..………22
2.2. Рыночные методы ценообразования………………………………24
Заключение…………………………………………….…………………29
Список литературы………………………………….……………….......30
Введение
Ключевыми элементами рыночной экономики являются цены и ценообразование, ценовая политика предприятия.
Цена- экономическая категория, означающая сумму денег, за которую продавец предлагает товар, а покупатель готов ее купить.
Ценообразование- процесс формирования цен на товары и услуги.
Для системы ценообразования характерны рыночное ценообразование, функционирующее на базе взаимодействия спроса и предложения, и централизованное государственное ценообразование- ценообразование цен государственными органами. Затратное ценообразование формируется за счет составления цены из издержек производства и обращения [5].
Выработка и оценка стратегии фирмы в области ценообразования в условиях рынка – сложный процесс, требующий большей частью коллективной проработки и принятия ответственных решений. Он начинается с общего определения целей, задач, их предварительной оценки на экспертном уровне и в последующем должен быть подкреплен анализом результатов реализации стратегии и соответствующей корректировкой принятых установок. Это непрерывный процесс, который должен осуществляться постоянно и на самом квалифицированном уровне, учитывать как текущие, так и перспективные цели маркетинговой деятельности фирмы.
Актуальность данной темы обусловлена тем, что: "правильный выбор цены является залогом хорошего финансового состояния и финансовой устойчивости предприятия (фирмы), успешной реализации тактического и стратегического планирования"
Целью данной работы является проведение классификации методов ценообразования на основе исследований российских и зарубежных ученых и выбор метода ценообразования в зависимости от целей фирмы[6].
Для достижения данной цели, необходимо решить следующие задачи:
* дать теоретическое обоснование ценовой политики предприятия
(фирмы) [2];
* рассмотреть основные группы методов ценообразования;
* представить подробную классификацию методов ценообразования,
учитывая преимущества и недостатки каждого метода;
* дать практическое обоснование изложенного теоретического материала.
Объект исследования – методология и принципы ценообразования на предприятии (фирме).
Предмет исследования – предприятие (фирма).
-
Методы ценовой политики государства и предприятия (фирмы)
-
Ценовая политика предприятия (фирмы)
Ценовая политика предприятий (фирм) с различными формами собственности должна строиться с учетом государственной политики ценообразования и особенностей рыночной экономики.
Ценовая политика предприятия определяется в первую очередь его собственным потенциалом, технической базой, наличием достаточного капитала, квалифицированных кадров, современной, передовой организацией производства, а не только состоянием спроса и предложения на рынке. Даже имеющийся спрос необходимо уметь удовлетворить, причем в определенное время, требуемом объеме, конкретном месте и при обеспечении соответствующего качества товаров (услуг) и приемлемых для потребителя (покупателя) цен (тарифов).
В какой бы рыночной позиции не находилась фирма и какие бы цели она перед собой не ставила, она не может позволить себе одного: устанавливать цены без серьезного анализа возможных последствий каждого из вариантов такого решения. Более того, анализ деятельности преуспевающих фирм показывает, что они, как правило, обладают и четкой политикой цен, и определенной стратегией ценообразования.
Под политикой цен в этом контексте мы будем понимать общие принципы, которых компания собирается придерживаться в сфере установления цен на свои товары и услуги. Под стратегией ценообразования, соответственно, понимается набор методов, с помощью которых эти принципы можно реализовать [4].
В современных условиях рыночных отношений существуют два подхода к процессу рыночного ценообразования: установление индивидуальных и единых цен.
Ценовая политика многих предприятий состоит в том, чтобы покрыть издержки и получить определенную прибыль. Отдельные предприятия пытаются продать товар как можно дороже. Подобная практика свидетельствует об отсутствии необходимого опыта и знаний в области ценообразования. Поэтому для фирмы важно изучить отдельные варианты ценовой политики, оценивать их особенности, условия, сферы, преимущества и недостатки использования.
Основными целями ценовой политики любого предприятия (фирмы) являются следующие:
1. Обеспечение дальнейшего существования фирмы.
2. Краткосрочное достижение максимизации прибыли.
3. Краткосрочное достижение максимизации оборота.
4. Обеспечение максимального увеличения сбыта.
5. «Снятие сливок» с рынка.
6. Достижение лидерства в качестве.
Перечисленные цели ценовой политики могут осуществляться в разное время, при различной цене, между ними может быть разное соотношение, однако, в совокупности все они служат достижению общей цели- долгосрочной максимизации прибыли [2].
1.2. Классификация методов ценообразования
Цена является одним из основных факторов, влияющих на размер получаемой прибыли, а также на ряд других количественных и качественных показателей работы предприятия: рентабельность, оборот, конкурентоспособность, долю рынка и т.д. Более того, устанавливая тот или иной уровень цены, предприятие может достичь различных целей в зависимости от сложившейся ситуации на рынке: выживаемость фирмы, максимизация темпов роста, увеличение объемов продаж, стабилизация или рост рыночной доли и т.д.
Решения, принимаемые руководством фирмы в области ценообразования, относятся к наиболее сложным и ответственным, поскольку они способны не просто ухудшить показатели финансово-хозяйственной деятельности, но и привести предприятие к банкротству. Кроме этого ценовые решения могут иметь долговременные последствия для потребителей, дилеров, конкурентов, многие из которых сложно предвидеть и, соответственно, оперативно предотвратить нежелательные тенденции после их проявления.
Это особенно актуально в нынешних российских условиях, когда вследствие снижения покупательской способности и увеличивающейся конкуренции на рынке для успешной деятельности предприятия наибольшее значение приобретает выбор эффективного метода ценообразования.
В экономической литературе описано достаточно большое количество методов ценообразования, применяющихся как зарубежными, так и российскими предприятиями на практике. Но достаточно сложно представить всю совокупность методов ценообразования, классифицированных по определенным признакам.
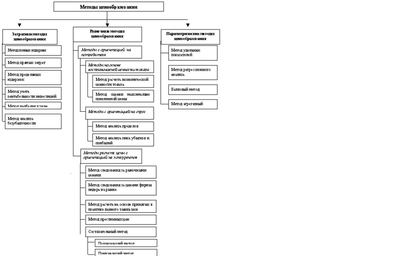
Классификационные признаки методов ценообразования
Все методы ценообразования могут быть разделены на три основные группы, в зависимости от того, на что в большей степени ориентируется фирма-производитель или продавец при выборе того или иного метода (рис. 1):
I на издержки производства — затратные методы;
II на конъюнктуру рынка — рыночные методы;
III на нормативы затрат на технико-экономический
параметр продукции — параметрические методы.
Рис. 1. Классификация методов ценообразования
В свою очередь группа рыночных методов ценообразования может быть разделена еще на две подгруппы в зависимости от:
1) отношения потребителя к товару — методы с ориентацией на потребителя;
2) конкурентной ситуации на рынке — методы с ориентацией на конкурентов.
Подгруппа методов с ориентацией на потребителя также включает в себя ряд методов, которые можно классифицировать по:
1) воспринимаемой ценности товара потребителем — методы на основе воспринимаемой ценности товара;
2) сложившемуся спросу на рынке — методы с ориентацией на спрос.
Далее более подробно рассматриваются методы ценообразования, входящие в каждую из групп и подгрупп, исходя из предложенной выше классификации; описываются их преимущества и недостатки, а также возможности применения того или иного метода в изменяющихся рыночных условиях.
I. Затратные методы ценообразования
Затратные методы ценообразования предполагают расчет цены продажи продукции путем прибавления к издержкам производства некой определенной величины. К ним можно отнести следующие методы:
1) метод полных издержек;
2) метод прямых затрат;
3) метод предельных издержек;
4) метод на основе анализа безубыточности;
5) метод учета рентабельности инвестиций;
6) метод надбавки к цене.
1) Суть метода, основанного на определении полных издержек (метод «издержки плюс»), состоит в суммировании совокупных издержек (переменные (прямые) плюс постоянные (накладные) издержки) и прибыли, которую фирма рассчитывает получить [6].
Если предприятие отталкивается от определенного процента рентабельности производства продукции, то расчет продажной цены может быть произведен по следующей формуле:
Р = С (1+ R/100), (1)
где Р — продажная цена;
С — полные издержки на единицу продукции;
R — ожидаемая (нормативная) рентабельность.
Любой метод отнесения на себестоимость товара постоянных издержек (например, арендной платы), которые являются расходами по управлению предприятием, а не расходами для производства данного товара, — условный, и он искажает подлинный вклад продукта в доход предприятия.
В связи с этим на практике используются различные способы распределения постоянных затрат:
- пропорционально заработной плате производственных рабочих;
- пропорционально затратам на материалы;
- пропорционально переменным издержкам.
Предположим, фирма производит три вида товаров. Данные о количестве производимых ею товаров, переменных затратах и полной себестоимости приведены в таблице 1.
Таблица 1.
| Товар А | Товар Б | Товар В | ВСЕГО | |
| 1. Количество единиц | 10 000 | 20 000 | 5000 | 35 000 |
| 2. Переменные издержки — всего: | 20 100 | 42 000 | 20 500 | 82 600 |
| - на зарплату производственных рабочих | 3500 | 8000 | 12 000 | 23 500 |
| - на материалы | 16 600 | 34 000 | 8500 | 59 100 |
| 3. Общие постоянные издержки | 55 000 | |||
| 4. Распределение постоянных издержек между товарами: | ||||
| 4.1. Пропорционально зарплате производственных рабочих | 892 | 18 723 | 28 085 | 55 000 |
| 4.2. Пропорционально затратам на материалы | 15 448 | 31 641 | 7911 | 55 000 |
| 4.3. Пропорционально переменным издержкам | 13 384 | 27 966 | 13 650 | 55 000 |
| 5. Общая себестоимость при распределении постоянных издержек: | ||||
| - по способу 4.1 | 28 292 | 60 723 | 48 585 | |
| - по способу 4.2 | 35 548 | 73 641 | 28 411 | |
| - по способу 4.3 | 33 484 | 69 966 | 34 150 |
Цена единицы каждого товара при рентабельности 15% к себестоимости и распределении затрат разными способами дана в таблице 2.
Таблица 2
| Себестоимость единицы | Прибыль на единицу | Цена единицы | ||||||||||
| А | Б | В | А | Б | В | А | Б | В | ||||
| По способу 4.1. | 2,83 | 3,04 | 9,72 | 0,42 | 0,46 | 1,46 | 3,25 | 3,50 | 11,18 | |||
| По способу 4.2. | 3,55 | 3,68 | 5,68 | 0,53 | 0,55 | 0,85 | 4,08 | 4,53 | 6,53 | |||
| По способу 4.3. | 3,35 | 3,50 | 6,83 | 0,50 | 0,53 | 1,02 | 3,85 | 4,03 | 7,85 | |||
себестоимость полных затрат, является вполне обоснованной, но какую цену выберет предприятие, зависит от того, какая ситуация сложилась на рынке (конкуренты, спрос и т.д.).
Характеристики
Тип файла документ
Документы такого типа открываются такими программами, как Microsoft Office Word на компьютерах Windows, Apple Pages на компьютерах Mac, Open Office - бесплатная альтернатива на различных платформах, в том числе Linux. Наиболее простым и современным решением будут Google документы, так как открываются онлайн без скачивания прямо в браузере на любой платформе. Существуют российские качественные аналоги, например от Яндекса.
Будьте внимательны на мобильных устройствах, так как там используются упрощённый функционал даже в официальном приложении от Microsoft, поэтому для просмотра скачивайте PDF-версию. А если нужно редактировать файл, то используйте оригинальный файл.
Файлы такого типа обычно разбиты на страницы, а текст может быть форматированным (жирный, курсив, выбор шрифта, таблицы и т.п.), а также в него можно добавлять изображения. Формат идеально подходит для рефератов, докладов и РПЗ курсовых проектов, которые необходимо распечатать. Кстати перед печатью также сохраняйте файл в PDF, так как принтер может начудить со шрифтами.















