182400 (629456), страница 2
Текст из файла (страница 2)
Одним з найважливіших узагальнювальних показників рівня життя є доходи населення. Статистика досліджує кількісні характеристики формування загального об'єму доходів населення, структуру цих доходів, розподіл між окремими групами населення. Відповідно до методики СНС розрахунку балансу грошових доходів і витрат населення обчислюються номінальні грошові доходи і доходи домашніх господарств.
Номінальні грошові доходи розраховуються в цінах поточного періоду. Вони не визначають кількості матеріальних благ і послуг, доступних населенню при рівні доходів, що склався. До ним відносяться:
-
оплата праці всіх категорій населення;
-
доходи осіб, зайнятих підприємницькою діяльністю;
-
надходження від продажу сільськогосподарських продуктів;
-
пенсії, допомога, стипендії і інші соціальні трансферти;
-
страхові відшкодування, кредити і позики;
-
доходи від власності у вигляді відсотків по внесках, цінних паперах, дивідендів;
-
доходи населення від продажу іноземної валюти;
-
сальдо (гроші, одержані по перекладах) і ін.
На відміну від номінальних витрат, доходи домашніх господарств є сумою поточних доходів, використовуваних домашніми господарствами для фінансування кінцевого споживання товарів і послуг. Це показник об'єму економічних ресурсів, що поступають в розпорядження населення для задоволення потреб громадян (максимальна сума, яка може бути витрачена населенням на споживання за умови, що за даний період населення не привертає накопичені фінансові і нефінансові активи, не збільшує зобов'язань по фінансовій частині).
Грошовий дохід W, що розташовується, визначається шляхом вирахування з номінальних грошових доходів НДД обов'язкових платежів і внесків ОПВ
За наявності інфляції зростання грошових доходів не завжди може свідчити про поліпшення рівня життя населення, оскільки чинник зміни цін впливає на купівельну спроможність грошей. За допомогою коректування на індекс споживчих цін грошові доходи, що розташовуються, за досліджуваний період розраховуються в реальному виразі.
Показник реального грошового доходу населення G розраховується шляхом ділення грошового доходу W, що розташовується, на індекс споживчих цін Ip :
(методика розрахунку індексів споживчих цін заснована на формулі Ласпейреса як середній арифметичний індекс)
Для вимірювання об'єму, рівня і структури доходів населення використовуються і такі показники, як особисті доходи (ЛДР), середньодушові грошові доходи населення, купівельна спроможність грошових доходів.
Особисті доходи - це загальна сума грошових доходів, яку їх власники направляють на споживання і заощадження.
Среднедушевиє грошові доходи обчислюються як відношення загальної суми грошових доходів населення за рік (або поточний період) до середньорічної чисельності наявного населення.
При дослідженні рівня життя важлива оцінка і потенційних можливостей населення користуватися ресурсами для придбання і споживання відповідних благ і ресурсів. Для цього використовується показник купівельної спроможності (розраховується як для всього населення, так і для окремих груп). Даний показник характеризується: а) наперед певною кількістю товарів і послуг, які можна було б придбати на суму среднедушевого грошового доходу; б) як товарний еквівалент у вигляді окремих товарів або послуг.
Рівень купівельної спроможності ПС обчислюється як відношення середньодушового грошового доходу населення в цілому (або окремої групи) Д до середньої ціни покупки або послуги Р:
У статистиці споживання використовуються різні коефіцієнти і індекси.
Динаміка загального споживання вивчається за допомогою агрегатного індексу об'єму споживання Iоп, який розраховується таким чином:
де a1, a0 - кількість спожитих товарів в звітному і базисному періодах; b1, b0 - кількість спожитих послуг в звітному і базисному періодах; p0, r0 - ціна товару і тариф за певну послугу в базисному періоді.
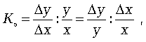
При статистичному дослідженні залежності об'єму споживання від доходу використовується коефіцієнт еластичності Ке, який характеризує величину зростання або зниження споживання товарів і послуг при зростанні доходу на 1% (у теорії статистики це формула А. Маршалла):
де х, у - початкові дохід і споживання;, - прирости початкових доходу і споживання за певний період.
Якщо Ке > 1, те споживання росте швидше, ніж доходи.
Якщо Ке = 1, то між доходом і споживанням має місце пропорційна залежність.
Якщо Ке < 1, то дохід росте швидше, ніж споживання.
3. Динаміка доходів та витрат населення України
Для дослідження динаміки доходів і витрат населення України проаналізуємо наступні дані щодо структури сукупних витрат та доходів у розрахунку на одне домогосподарство.
Вибіркова сукупність репрезентує все населення України, за виключенням військовослужбовців строкової служби, осіб, що знаходяться в місцях позбавлення волі, осіб, що постійно проживають у будинках-інтернатах, будинках для осіб похилого віку, а також маргінальних прошарків населення. Крім того, при формуванні вибіркової сукупності були також виключені території, які не можуть обстежуватися в зв'язку з радіоактивним забрудненням (зони відчуження та обов’язкового відселення).
Починаючи з 2004 року в обстеженні беруть участь мешканці усіх типів гуртожитків (сімейних, студентських тощо). У 1999-2003 роках обстежувалися лише мешканці сімейних гуртожитків.
Вибіркова сукупність була сформована в усіх областях, Автономній Республіці Крим, мм. Києві та Севастополі з використанням процедури відбору з ймовірністю, пропорційною розміру (чисельності населення). Домогосподарства беруть участь в обстеженні один рік.
Для участі в обстеженні в Україні кожного року відбирається близько 13 тис. адрес домогосподарств (в АР Крим 503 адреси домогосподарств). У 2007 році в Україні взяли участь в обстеженні 10615 домогосподарств (82,9% відібраних адрес за виключенням нежилих помешкань), в АР Крим 459 домогосподарств (92% відібраних адрес за виключенням нежилих помешкань).
В основу дослідження диференціації домогосподарств за рівнем матеріальної забезпеченості, починаючи з 2007року., покладені нові критерії: показники грошових та загальних доходів (грошових доходів з урахуванням вартісної оцінки надходжень з особистого підсобного господарства, а також сум безготівкових пільг та субсидій, отриманих від держави, допомог від родичів та інших осіб) замість показників грошових та сукупних витрат, які застосовувалися у 1999-2006 рр. Зміна критеріїв обумовлена тим, що, починаючи з 2004 року, в окремих, а в 2006 році – майже в усіх регіонах спостерігалося перевищення рівня доходів домогосподарств над рівнем їх сукупних витрат. Тому у сучасних умовах показники доходів стали більш точно характеризувати реальний стан добробуту домогосподарств, ніж показники витрат, використання яких було доцільним у попередні роки.
Характеристики досліджуваних домогосподарств наведено в таблиці 1:
Таблиця 1. Характеристика досліджуваних домогосподарств1
| 2000 | 2001 | 2002 | 2003 | 2004 | 2005 | 2006 | 2007 | ||
| Середній розмір домогосподарства, осіб | 2,71 | 2,75 | 2,71 | 2,63 | 2,63 | 2,63 | 2,61 | 2,6 | |
| Розподіл домогосподарств за кількістю осіб у їх складі | |||||||||
| одна особа | 21,2 | 19,9 | 19,4 | 19,9 | 19,3 | 22,1 | 23,1 | 20,4 | |
| дві особи | 25,5 | 27,5 | 27,2 | 32,7 | 34,2 | 28,9 | 28,2 | 29,4 | |
| три особи | 24,5 | 26,9 | 25,5 | 23,7 | 21,6 | 23,1 | 26,7 | 30,4 | |
| чотири особи і більше | 28,8 | 25,7 | 27,9 | 23,7 | 24,9 | 25,9 | 22 | 19,8 | |
| Частка домогосподарств із дітьми до 18 років (%) | 41,9 | 42,6 | 41,8 | 39,6 | 36,4 | 36,7 | 36,7 | 36,7 | |
| Частка домогосподарств без дітей (%) | 58,1 | 57,4 | 58,2 | 60,4 | 63,6 | 63,3 | 63,3 | 63,3 | |
| Розподіл домогосподарств із дітьми (%) за кількістю дітей у їх складі | |||||||||
| одна дитина | 64,1 | 68,4 | 65,5 | 66,3 | 70,9 | 69,2 | 69,2 | 68,5 | |
| дві дитини | 31,4 | 27,2 | 28,2 | 27,8 | 21 | 25,3 | 21,9 | 26,6 | |
| три дитини і більше | 4,5 | 4,4 | 6,3 | 5,9 | 8,1 | 5,5 | 8,9 | 4,9 | |
Аналізуючи динаміку наданих показників, можемо зробити висновок про те, що за досліджуваний період 2000-2007 рр середній розмір домогосподарства зменшився на 4,05%. За цей же період зросла частка домогосподарств кількістью 2 та 3 особи та зменшилась часткадомогосподарств кількістью 1 особа та 4 особи та більше.Зменшилась частка домогосподарств, які мають дітей до 18 років та збільшилась частка домогосподарств без дітей.
Структуру сукупних доходів досліджуваних домогосподарств наведено в таблиці 2:
Таблиця 2. Структура сукупних доходів досліджуваних домогосподарств2
| 1999 | 2000 | 2001 | 2002 | 2003 | 2004 | 2005 | 2006 | 2007 | |
| Сукупні доходи в середньому за місяць у розрахунку на одне домогосподарство, грн. | 291,62 | 385,91 | 459,84 | 594,05 | 648,87 | 837,44 | 1121,6 | 1449 | 1924 |
| Структура сукупних ресурсів домогосподарств | |||||||||
| Грошові доходи | 70,8 | 76,7 | 84,5 | 90,1 | 91,6 | 94,3 | 95,2 | 95,7 | 95,8 |
| оплата праці | 37,1 | 43,5 | 43,5 | 50,6 | 55,3 | 52,7 | 51,2 | 53,1 | 53,9 |
| доходи від підприємницької діяльності та самозайнятості | 2,6 | 0,9 | 2,3 | 4,2 | 3,1 | 3,6 | 6,7 | 5,1 | 8,1 |
| доходи від продажу сільськогосподарської продукції | 3,9 | 6,8 | 6,4 | 6 | 5,8 | 5,4 | 4 | 3,7 | 3,9 |
| пенсії, стипендії, соціальні допомоги, надані готівкою1 | 18,7 | 17,1 | 20,8 | 18,9 | 18,9 | 23,7 | 24,7 | 23,9 | 22 |
| грошова допомога від родичів, інших осіб та інші грошові доходи | 8,5 | 8,4 | 11,5 | 10,4 | 8,5 | 8,9 | 8,6 | 9,9 | 7,9 |
| Вартість спожитої продукції, отриманої з особистого підсобного господарства та від самозаготівель | 16,6 | 9,6 | 7,8 | 4,1 | 3,2 | 1,9 | 1,7 | 1,1 | 0,7 |
| Пільги та субсидії безготівкові на оплату житлово-комунальних послуг, електроенергії, палива | 3,6 | 1,7 | 1,7 | 1 | 0,9 | 0,5 | 0,4 | 0,4 | 0,4 |
| Пільги безготівкові на оплату товарів та послуг з охорони здоров'я, туристичних послуг, путівок на бази відпочинку тощо, на оплату послуг транспорту, зв’язку2 | 0,6 | 0,7 | 0,4 | 0,2 | 0,7 | 0,5 | 0,6 | 0,3 | 0,4 |
| Інші надходження | 8,4 | 11,3 | 5,6 | 4,6 | 3,6 | 2,8 | 2,1 | 2,5 | 2,7 |
Бачимо, що протягом досліджуваного періоду суттєво змінилась структура сукупних доходів: якщо в 1999 році заробітна плата становила 37,1% від розміру грошових доходів, а надходження від підсобного господарства та від само заготовлень становили 16,6% от размера денежных доходов, то в 2007 році ці частки змінилися и становили 53,9% та 0,7% відповідно. Частка грошових доходів в загальній структурі доходів зросла від 70,8% в 1999 році до 95,8% у 2007 році.















