181243 (628978), страница 4
Текст из файла (страница 4)
цілком покриваються потребою ринку в даних харчових продуктах.
Необхідно також відзначити, що розрахунок проводився на основі песимістичних припущень і прогнозів і при низькому територіальному охопленні.
Соєві молочні продукти. На ринок продовольства вітчизняна промисловість по переробці сої поставляє (крім соєвої олії) соєве молоко, сир (тофу), сир, майонез, йогурти.
Основними конкурентами реалізації молочних продуктів з бобів сої є:
-
підприємство "Флора" - найбільший виробник соєвих йогуртів, майонезу і м'ясних продуктів в Україні;
-
ВАТ "Курганський птицекомбинат", що розробив і надав ЗАТ "Консорціум" технологію переробки соєвих бобів у молоко і молочні продукти.
Однак для даних підприємств переробка соєвих бобів у молоко і виробництво молочних продуктів харчування не є основним видом діяльності, а тільки в якості експериментального, додаткового виду діяльності. На підставі чого можна припустити, що обсяг продукції, яка реалізується цими підприємствами, не покриває потреб в білкових виробах навіть тих регіонів, у яких вони розташовані. Отже, конкуренцією з існуючими підприємствами по виробництву молочних продуктів з бобів сої можна зневажити.
Комбікорм. В даний час галузі агрокомплексу, що спеціалізуються на продукції тваринництва і птахівництва, мають серйозні труднощі в гарантованому забезпеченні своїх потреб у комбікормах. Це пов'язано з тим, що власне виробництво комбікормів у підприємствах агрокомплексу знаходиться в складному стані - великий ступінь фізичного зносу, не довершені знову споруджувані технологічні лінії через відсутність фінансування і складного фінансового стану самих підприємств. У цьому зв'язку на сьогодні дуже гостро постає питання про безперебійне забезпечення комбікормами діючих виробництв. І тому, ми вважаємо, що при існуючій ситуації конкуренцією в даній галузі можна зневажити.
Текстурований соєвий білок, соєве борошно. Конкурентів як в Україні так і в Росії на даний момент немає.
Таким чином, проаналізувавши існуючу конкуренцію на ринках соєвих продуктів, можна стверджувати, що серйозної конкуренції на ринку немає.
Розглянемо с особливості стратегії маркетингу підприємства. Так, відсутність аналогів (або наявність істотних переваг перед аналогами), а також висока якість продукції роблять відповідні сектори внутрішнього ринку відкритими для продукції ЗАТ "Консорціум".
Серед вітчизняних та російських торговельних підприємств, що займаються реалізацією соєвої продукції для ЗАТ "Консорціум" у даний час серйозних конкурентів не має. Однак, ситуація з відсутністю конкуренції є тимчасовою, тому що для ринку характерно швидке заповнення існуючих "ніш", тому відповідними підрозділами ЗАТ "Консорціум" постійно повинна проводитися робота, спрямована на забезпечення конкурентноздатності продуктів з перероблених бобів сої за ціною і якістю.
Не менш важливим є питання доведення створених продуктів до потрібного покупця за потрібною ціною й у потрібний час, тобто для досягнення кінцевої мети (насичення відповідних ринків продуктами переробки сої і виходу на плановані обсяги продажів) повинна існувати професійно розроблена й успішно реалізована стратегія маркетингу, що припускає:
-
стратегію збуту;
-
оптимізацію ціноутворення;
-
широке проведення заходів щодо реклами і просування продукції, що випускається.
При цьому досягнення зазначених цілей можливо тільки при ефективному використанні і професійному сполученні всіх інструментів маркетингу.
Збут продукції здійснюється в основному великими оптовими партіями. З цією метою в штаті ЗАТ "Консорціум" передбачена служба маркетингу, задачами якої є просування продукції переробки сої на відповідних ринках і організація її збуту.
Головним покупцем і розповсюджувачем у РФ текстурованого соєвого білка і соєвої олії є один з співзасновників ЗАТ - велика оптова фірма ВАТ "Петротрейд". ВАТ " Петротрейд " у даний час має велику мережу збуту по імпортним рослинним текстуратам у РФ.
Поряд з новизною і якістю основним показником конкурентноздатності продуктів переробки бобів сої є їхня ціна. Особливе значення ціна на продукцію, плановану до випуску в рамках проекту, має в забезпеченні конкурентноздатності із соєвим борошном і текстурованими соєвими білками імпортного виробництва.
Передумовами для досягнення конкурентноздатних цін на продукцію ЗАТ "Консорціум" (при досить високому показнику рентабельності) є:
-
оптовий продаж продукції переробки сої, що дозволяє до мінімуму скоротити витрати, пов'язані зі збутом;
-
низькі (у порівнянні з імпортом) експлуатаційні витрати.
Оптимізація процесів ціноутворення на користь кінцевого споживача продукції переробки сої досягається максимально можливим скороченням ланок між виробником і кінцевим споживачем, а також установленням контролю над оптовими компаніями і проведенням єдиної цінової політики.
Пропонується (у тому числі в розрахунку ефективності), що ціни на продукцію, плановану до випуску при реалізації пропонованого проекту, нижче цін на імпортні аналоги н 10-15%.
Для просування усіх видів продукції використовується два види реклами:
-
"престижна" реклама;
-
реклама продукції.
Мета "престижної" реклами - створення корпоративного іміджу і досягнення популярності торгової марки. Серйозними перевагами пізнаваної компанії є:
-
сприятливі умови для пропозиції нових продуктів;
-
зацікавленість оптових покупців у придбанні продукції компанії.
Досить розповсюдженим каналом "престижної" реклами (комерційної пропаганди позитивного образа компанії) є організація прес-конференцій із запрошенням представників громадськості і преси.
Основний упор рекламної акції робиться на продукти переробки соєвих бобів: текстурований соєвий білок, соєва олія, молоко і молочні соєві продукти (йогурт, сир, майонез, напої), тому що дані продукти харчування є відносно новими як в Україні так і в Росії в порівнянні з комбікормовими сумішами, що не мають потреби в дорогому представленні і рекламуванні.
Для створення іміджу і популяризації продукції ЗАТ "Консорціум" використовуються наступні канали інформації:
-
"dіrect-maіl";
-
періодичні видання;
-
радіотелевізійні;
-
образотворчі;
-
глобальна світова мережа Іnternet.
При виборі каналу масової інформації основними є наступні критерії їхньої оцінки:
-
охоплення;
-
приступність;
-
вартість;
-
авторитетність.
По оцінках експертів, засоби, необхідні для просування нової продукції на відповідному ринку, досягають 2-5% від обсягу продажів і зменшуються в міру придбання ЗАТ "Консорціум" і його продукції популярності серед потенційних споживачів.
2.3 Аналіз конкурентоспроможності товарної продукції ЗАТ „Консорціум”
Під конкурентоспроможністю (КС) продукту можна розуміти порівняльну характеристику споживчих і вартісних властивостей продукту, тобто
КС= К/Ц (1)
де К - загальний рівень споживчого ефекту з урахуванням різних його показників;
Ц - ціна споживання або володіння, що включає ціну покупки і вартість експлуатації і утилізації.
Показники якості, якими оцінюється рівень споживчого ефекту, вибираються експертами. Наприклад, для оцінки соєвого молока фахівці використовують такі показники, як смак, жирність, корисність.
Основними етапами алгоритму розрахунку конкурентоспроможності будуть наступні:
-
розробка на основі знання ринку і вимог до товару сукупність показників його якості;
-
вибір з цієї сукупності декількох найважливіших, назвемо їх параметрами якості;
-
кількісні характеристики значущості (а) кожного з параметрів шляхом опиту експертів при дотриманні умови i=1,m.
= 1 (2)
-
формулювання моделі еталона - зразка товару в розрізі вибраних параметрів з позиції покупців, задавши його кількісні оцінки (niэ);
-
розробка кількісної оцінки тих же самих параметрів якості по своєму виробу (ni) і по виробу-конкуренту (nik) ;
-
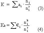
оцінка рівня якості або споживчого ефекту свого товару (К) і товару-конкурента (Kk)по формулах:
де ai- кількісна оцінка значущості i-го параметра;
ni - кількісна оцінка i-го параметра якості по своєму виробу (ni) і по виробу-конкуренту (nik);
-
розрахунок ціні Ц споживання свого товару і встановлення ціни Цк споживання товару-конкурента з урахуванням відпускної або роздрібної ціни і експлуатаційних витрат в період користування товаром;
-
розрахунок інтегрального показника
конкурентоспроможності свого товару по відношенню до товару-конкуренту:
(5)
-
якщо свій товар планується експортувати, то необхідно перевірити вибрані параметри якості на відповідність інтернаціональним або національним стандартам передбачуваного імпортера. Якщо хоча б один з нормативних параметрів не відповідає порівнюваному стандарту, необхідно таку невідповідність усунути. При цьому кінцева формула для КС прийме такий вигляд:
(6)
де П
- підсумок всіх
;
- параметр якості, врахований в зарубіжному стандарті;
= 0 - невідповідність стандарту;
= 1 - відповідність стандарту.
Якщо хоча б один з параметрів якості буде дорівнювати 0, то КС не матиме сенсу.
Проаналізуємо конкурентоспроможність на російському ринку соєвого молока, яке виробляється ЗАТ „Консорціум”.
Таблиця 2.5
Експертна оцінка якості соєвого молока ЗАТ „Консорціум”
| Вибрані експертами параметри якості | Кількісні характеристики | ||||
| niэ | ni | nik | ai | ||
| Пакування, бали | 100 | 90 | 80 | 0,7 | |
| Смакові якості, бали | 10 | 5 | 8 | 0,1 | |
| Дизайн, бали | 10 | 5 | 10 | 0,2 | |
Тепер, використовуючи формули п.п 6 і 8, визначимо КС нашого продукту.
Відомо, що ЦК = 70 тис. руб. / т.., а Ц = 72 тис. руб./т (ціни наведено в рублях, так як порівняння робиться для російського ринку на якому відбувається основна реалізація). Цих даних достатньо, щоб по формулі (5) розрахувати
= (К* ЦК)/(КК*Ц) = (0,78*70*103)/(0,84*72*103) = 0,90
конкурентоспроможності свого товару по відношенню до товару-конкуренту:














