179649 (628317), страница 2
Текст из файла (страница 2)
Интегральными индикаторами измерения уровня жизни являются: реальные доходы на душу населения, реальная заработная плата, поступления доходов от вторичной занятости, от реализации продукции личного подсобного хозяйства, дивидендов (по акциям и облигациям), процентов по вкладам населения, пенсий, пособий, стипендий.
С помощью этих индикаторов изучаются и прогнозируются уровень, динамика и структура доходов из различных источников.
Реальные доходы населения Др определяются делением общей суммы денежных доходов на индекс потребительских цен:
где ДД - общая сумма денежных доходов населения;
- индекс потребительских цен.
Различаются реальные доходы населения без учета услуг и с учетом услуг.
Реальные доходы без учета услуг - часть ВВП, используемая населением для удовлетворения материальных и культурных потребностей.
Реальные доходы с учетом услуг - часть ВВП, используемая населением на потребление и накопление материальных благ и услуг. [3,c.34]
Для характеристики роста (снижения) реальных доходов исчисляются индексы реальных доходов всего населения, а также индексы реальных доходов в разрезе социальных групп.
При исчислении индексов реальных доходов должна быть обеспечена сопоставимость цен; для этого при расчетах учитывается изменение цен за сравнимый период - индекс потребительских цен.
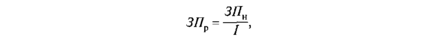
Реальная заработная плата работников - составная часть реальных доходов (с учетом услуг).
Она определяется путем деления номинальной (начисленной) заработной платы на индекс потребительских цен на товары и услуги:
где ЗПр - реальная заработная плата,
ЗПН - номинальная заработная плата;
- индекс потребительских цен.
В политике доходов и заработной платы далеко непоследнее место занимают также индикаторы, характеризующие их дифференциацию.
Дифференциация доходов и заработной платы позволяет оценить происходящие социальные изменения, уровень социальной напряженности и определить характер политики доходов и заработной платы.
Индикаторами дифференциации доходов и заработной платы являются:
распределение населения по уровню среднедушевых доходов - показатель удельного веса или процента населения в тех или иных заданных интервалах среднедушевых денежных доходов;
распределение общего объема денежных доходов по различным группам населения - показатель (в процентах) доли общего объема денежных доходов, которой обладает каждая из 20% -ных (10% -ных) групп населения;
децильный коэффициент дифференциации доходов - соотношение среднедушевых денежных доходов, выше и ниже которых находятся десятые доли наиболее и наименее обеспеченного населения;
коэффициент дифференциации доходов населения по субъектам Федерации - соотношение наибольшего и наименьшего уровня средне-душевых доходов в субъектах Федерации;
коэффициент дифференциации заработной платы - соотношение наибольшего и наименьшего уровней заработной платы между отраслями, регионами, профессиями, внутри отраслей и предприятий и т.д. [4,c.72]
Одними из наиболее распространенных индикаторов дифференциации доходов являются также коэффициент концентрации доходов (индекс Джини) и кривая Лоренца, позволяющие судить о степени удаления от состояния равенства в распределении доходов. Расчет индекса Джини связан с кривой Лоренца.
График неравенства доходов (кривая Лоренца) изображен на рис.4.1
Прямая линия ОА называется линией абсолютного равенства распределения доходов. Она отражает ситуацию, когда 20% людей принадлежат 20% доходов, 40% людей - 40% доходов и т.д. Кривая ОВ показывает долевое распределение доходов по группам семей в действительности.
Усиление неравенства в распределении доходов выражается в изменении конфигурации кривой Лоренца в сторону увеличения ее вогнутости по отношению к линии абсолютного равенства.
Коэффициент концентрации доходов (индекс Джини) представляет собой величину отклонения фактического распределения доходов населения от линии их равномерного распределения. Он определяется отношением площади фигуры, образованной кривой Лоренца и линией абсолютного равенства, к площади всего треугольника ОАС. Величина коэффициента может варьировать от 0 до 1 или от 0 до 100%. Следует отметить что, чем выше значение показателя, тем более неравномерно распределены доходы в обществе.
Для определения общего направления изменений в распределении доходов используется коэффициент направленности процесса стратификации населения - отношение численности населения с доходами ниже прожиточного минимума к численности населения с доходами выше бюджета высокого достатка в расчете на 1 тыс. человек. Динамика коэффициента стратификации характеризует нарастание или снижение поляризации общества.
В России на долю 20% наименее обеспеченных приходится 6% доходов, а на долю 20% наиболее обеспеченных - 47%. Это соотношение близко к среднему по странам. Аналогично распределены доходы, например, в Великобритании, Эстонии, Киргизии. Более низкое соотношение доли доходов 20% наиболее и наименее обеспеченных людей - в Словакии (12% к 31%), Чехии (10% к 37%), Венгрии (9% к 37%). В ряде развивающихся стран это соотношение намного выше - в ЮАР (3% к 63%), Чили (3% к 61%), Мексике (4% к 51%).
Коэффициент Джини в России составляет 38%, что также находится на среднем уровне. Это ниже, чем в ЮАР (58%), Чили (56%) и Мексике (50%), но выше, чем в Венгрии (17%), Словакии (19%), Чехии (26%), Польше (27%).
К частным индикаторам уровня жизни относятся показатели потребления отдельных товаров и услуг - на душу населения, семью, по социальным группам, регионам, - показатели обеспеченности товарами длительного пользования, жильем, коммунально-бытовыми удобствами. Среди них выделяют натуральные и стоимостные индикаторы.
Натуральные индикаторы характеризуют уровень потребления, обеспеченности теми или иными благами. Для того чтобы получить представление об уровне удовлетворения конкретной потребности, может быть использовано несколько показателей. Например, для того чтобы охарактеризовать уровень удовлетворения потребностей в продуктах питания, необходимы данные о количестве потребляемых человеком продуктах и их калорийности, их сопоставление с научно обоснованными нормами.
При этом потребление основных продуктов питания на душу населения определяется с учетом потребления как произведенных в стране, так и импортированных продуктов независимо от вида потребления и способа продажи продуктов населению.
Уровень удовлетворения потребностей в услугах школьного образования характеризуется с помощью данных о доле детей школьного возраста, посещающих школы, численности учащихся в платных и бесплатных школах и обучающихся за границей. Необходимо учитывать также техническое состояние и благоустройство учебных заведений, уровень образования преподавательского состава.
Стоимостные индикаторы отражают затраты на удовлетворение конкретных потребностей и их динамику. Эти индикаторы группируются по видам потребностей, например затраты на питание, оплату жилья, коммунальных услуг, одежду, предметы длительного пользования, отдых, удовлетворение культурных потребностей и т.д.
Общее потребление материальных благ и услуг в стоимостном выражении включает все расходы на приобретение товаров и услуг и денежную оценку потребленных благ собственного производства, например продукции личного подсобного хозяйства. Расчет этого показателя позволяет рассматривать уровень и структуру потребления во взаимосвязи с совокупными доходами населения и дает достаточно полную характеристику удовлетворения его личных потребностей.
К интегральным, обобщающим, индикаторам качества жизни относятся индекс развития человеческого потенциала (индекс человеческого развития), индекс интеллектуального потенциала общества, человеческий капитал на душу населения, коэффициент жизнеспособности населения.
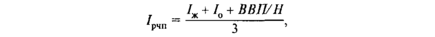
Важнейшим индикатором является индекс развития человеческого потенциала. Однако он очень слабо улавливает качественные характеристики жизни, имеет существенные недочеты и поэтому требует корректировки. Он представляет собой среднеарифметическое трех индексов - ожидаемой средней продолжительности жизни, уровня образования и ВВП на душу населения (в долларах, по паритету покупательной способности):
где ж - индекс ожидаемой средней продолжительности жизни;
о - индекс уровня образования;
ВВП/Н - валовой внутренний продукт на душу населения.
Он варьируется от 0,252 в Эфиопии до 0,960 в Канаде.
В 90-е гг. значение индекса развития человеческого потенциала в России уменьшилось (с 0,85 до 0,77). При этом в наибольшей мере сократились индексы ВВП на душу населения и ожидаемой средней продолжительности жизни. Близкие к российскому значения этого индекса характерны для некоторых постсоциалистических стран - Белоруссии, Болгарии, Румынии, Литвы. Более высокое значение отмечается в развитых странах - Германии, Нидерландах, Швеции, Финляндии, Японии (свыше 0,9). За ними идут Венгрия, Польша, Словакия, Чехия, Аргентина, Мексика, Чили - свыше 0,8.
Важным индикатором качества жизни является также индекс интеллектуального потенциала общества. Интеллектуальный потенциал общества отражает уровень образования населения и состояния науки в стране. При расчете индекса интеллектуального потенциала учитываются уровень образования взрослого населения, удельный вес студентов в общей численности населения, доля расходов на образование в ВВП, удельный вес занятых в науке и научном обслуживании в общей численности занятых, удельный вес затрат на науку в ВВП.
За период рыночных реформ в России индекс интеллектуального потенциала общества снизился почти наполовину. Это произошло в результате сокращения расходов на науку, снижения образовательного уровня молодого поколения. Эта тенденция сохранится в ближайшие годы.
Индикатором качества жизни является также человеческий капитал на душу населения. Он отражает уровень затрат государства, предприятий и граждан на образование, здравоохранение и другие отрасли социальной сферы в расчете на душу населения. Чем выше уровень экономического развития страны, тем больше уровень человеческого капитала и его удельный вес в структуре всего капитала. Человеческий капитал даже в бедных странах превосходит воспроизводимый, включающий материально-вещественные условия производства.
К индикаторам качества жизни относится и коэффициент жизнеспособности населения. Он характеризует возможности сохранения генофонда, интеллектуального развития населения в условиях проведения социально-экономической политики, осуществляемой в момент обследования в стране. Этот коэффициент измеряется по пятибалльной шкале. По результатам исследования ЮНЕСКО и ВОЗ (Всемирной организации здравоохранения) в 2006 г. коэффициент жизнеспособности населения России был определен в 1,4 балла. Балл ниже 1,5 означает кризисное положение, падение уровня и качества жизни до той черты, за которой начинается вымирание населения.
Коэффициент жизнеспособности населения по разным группам стран имел следующее значение:
5 баллов - не имеет ни одна страна в мире;
4 балла - Швеция, Голландия, Бельгия, Дания;
3 балла - США, Япония, Германия, о. Тайвань, Сингапур, Южная Корея и др.;
2 балла - Китай, Иран, Бразилия, Аргентина, Монголия, Турция, Вьетнам и др.;
1,6 балла - Сомали, Гаити, Бирма (с 1989 г. Мьянма);
1,5 балла - Босния, Западная Сахара.
















