179574 (628276), страница 3
Текст из файла (страница 3)
Этап 1- качественный анализ. Он включает:
-
постановку цели анализа;
-
определение совокупности включаемых в анализ данных;
-
определение результативных признаков;
-
определение факторных признаков;
-
выбор периода анализа;
-
выбор метода анализа.
Этап 2- предварительный анализ моделируемой совокупности, что подразумевает:
-
проверку однородности совокупности;
-
исключение аномальных наблюдений;
-
уточнение необходимого объема выборки;
-
установление законов распределения изучаемых переменных.
Этап 3- построение регрессионной модели экономического объекта, которое включает:
-
перебор конкурирующих вариантов моделей;
-
уточнение перечня факторов, включаемых в модель;
-
расчет оценок параметров управлений регрессии.
Этап 4- оценка адекватности модели, которая заключается в следующем:
-
проверка статистической значимости уравнения в целом и его отдельных параметров;
-
проверка соответствия формальных свойств полученных оценок задачам исследования.
Этап 5- экономическая интерпретация и практическое использование модели. Под этим понимается:
-
определение пространственно-временной устойчивости зависимостей;
-
оценка прогностических свойств моделей.
a. Корреляционный анализ.
Корреляционный анализ есть метод установления связи и измерения ее тесноты между наблюдениями, которые можно считать случайными и выбранными из совокупности, распределенной по многомерному нормальному закону.
Корреляционной связью называется такая статистическая связь, при которой различным значениям одной переменной соответствуют разные средние значения другой. Возникать корреляционная связь может несколькими путями. Важнейший из них - причинная зависимость вариации результативного признака от изменения факторного.
Практическая реализация корреляционного анализа включает следующие этапы:
-
постановка задачи и выбор признаков;
-
сбор информации и ее первичная обработка;
-
предварительная характеристика взаимосвязей;
-
устранение мультиколлинеарности и уточнение набора показателей путем расчета парных коэффициентов корреляции;
-
исследование факторной зависимости и проверка ее значимости;
-
оценка результатов анализа и подготовка рекомендаций по их практическому использованию.
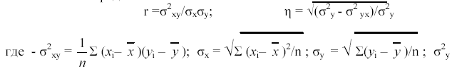
Корреляционный анализ решает задачу измерения тесноты связи между варьирующими переменными и оценки факторов, оказывающих наибольшее влияние на результирующий признак. Различают парную и множественную корреляцию. В первом случае изучается связь между одним фактором и результативным показателем, во втором - между несколькими факторами и результативным показателем. Теснота связи оценивается с помощью коэффициента корреляции r, или корреляционного отношения (при нелинейной зависимости) η. Величины этих показателей определяется
y-среднеквадратическое отклонение эмпирических (фактических) значений y;
σ2 yx - среднеквадратическое отклонение у от теорет. значений ух.
Значения этих коэффициентов колеблются от 0 до 1. При η(r)= 0 связь межу показателями отсутствует, если η (r) = 1, то связь функциональная. Если η (r) имеет отрицательное значение, то связь между показателями отрицательная. При величине показателей 0,1 - 0,3 . связь слабая; 0,3 - 0,5 . умеренная; 0,5 - 0,7 . заметная; 0,7 - 0,9 . высокая; 0,9 - 0,99 . весьма высокая.
При расчете парной корреляции вначале производится отбор наиболее важных (существенных) факторов, влияющих на результативный показатель. Эти факторы помещаются в таблицу, в которой факторные признаки ранжируются в порядке возрастания или убывания. Далее данные из таблицы наносятся на плоскость координат. строится корреляционное поле. По форме поля или путем визуального анализа ранжированного ряда производится обоснование формы связи. При нелинейной связи вначале определяется теоретическое значение функции ух, для чего решается уравнение регрессии, описывающее связь между изучаемыми показателями. Затем рассчитывается корреляционное отношение.
b. Регрессионный анализ.
Регрессионный анализ- это метод установления аналитического выражения стохастической зависимости между исследуемыми признаками.
В ходе регрессионного анализа решаются две основные задачи:
-
построение уравнения регрессии, т.е. нахождение вида зависимости между результатным показателем и независимыми факторами х1,х2,…,хn;
-
оценка значимости полученного уравнения, т.е. определение того, насколько выбранные факторные признаки объясняют вариацию признака У.
Применяется регрессионный анализ главным образом для планирования, а так же для разработки нормативной базы.
Регрессионный анализ - один их наиболее разработанных методов математической статистики. Строго говоря, для реализации регрессионного анализа необходимо выполнение ряда специальных требований ( в частности, х1, х2,…, хn;у должны быть независимыми, нормально распределенными случайными величинами с постоянными дисперсиями ). Регрессионная модель может быть построена при наличии любой зависимости, однако в многофакторном анализе используют только линейные модели. Построение уравнения регрессии осуществляется, как правило, методом наименьших квадратов, суть которого состоит в минимизации суммы квадратов отклонений фактических значений результатного признака от его расчетных значений.
Регрессионный анализ предназначен для выбора форм связи, тип модели при определении расчетных значений зависимой переменной.
Выбор уравнения регрессии осуществляется, как правило, перебором решений с использованием метода наименьших квадратов или на основе ошибки аппроксимации, величина которой не должна превышать 20%.
В рамках множественной корреляции находятся уравнение регрессии, которые бывают линейными, степенными и логарифмическими. В линейных моделях коэффициенты при неизвестных называются коэффициентами регрессии, а в степенных и логарифмических коэффициентами эластичности. Первые показывают, насколько единиц изменяется функция с изменением соответствующего фактора на одну единицу при неизменных значениях остальных.
Вторые отражают, на сколько процентов изменяется функция с изменением каждого аргумента на 1 % при неизменных значениях остальных.
c. Дисперсионный анализ.
Дисперсионный анализ – это статистический метод, позволяющий подтвердить или опровергнуть гипотезу о том, что две выборки данных относятся к одной генеральной совокупности. Применительно к анализу деятельности предприятия можно сказать, что дисперсионный анализ позволяет определить, к одной и той же совокупности данных или нет относятся группы разных наблюдений.
Дисперсионный анализ часто используется совместно с методами группировки. Задача его проведения в этих случаях состоит в оценке существенности различий между группами. Для этого определяют групповые дисперсии σ21 и σ22, а затем по статистическим критериям Стьюдента или Фишера проверяют значимость различий между группами.
d.Кластерный анализ
Кластерный анализ – один из методов многомерного анализа, предназначенный для группировки (кластеризации) совокупности, элементы которой характеризуются многими признаками. Значения каждого из признаков служат координатами каждой единицы изучаемой совокупности в многомерном пространстве признаков. Каждое наблюдение, характеризующееся значениями нескольких показателей, можно представить как точку в пространстве этих показателей, значения которых рассматриваются как координаты в этом многомерном пространстве.
Основным критерием кластеризации является то, что различия между кластерами должны быть более существенны, чем между наблюдениями, отнесенными к одному кластеру.
e. Методы обработки пространственно-временных совокупностей показателей
Необходимость использования пространственно-временных показателей обусловлена следующими основными причинами. Во-первых, очевидно, что такая совокупность более информативна по сравнению с пространственной или временной совокупностями. Во-вторых, для реализации одного из распространенных методов анализа – корреляционно-регрессионного анализа – нужна совокупность достаточного объема. В экономике достичь этого удается не всегда. В-третьих, статистики, характеризующие закономерности, выявленные в результате обработки пространственно-временных совокупностей показателей.
Аналитическая обработка подобных информационных массивов осуществляется с помощью специальных методов, которые условно назовем статистическими методами обработки пространственно-временных совокупностей показателей.
Метод предварительного усреднения данных заключается: усредняются исходные данные по каждому показателю и каждому объекту.
Метод объекто-периодов (заводо-лет) используется, когда исследуемая совокупность мала по объему: в этом случае весь массив данных рассматривается как одна совокупность, единицами которой являются так называемые «объекто-периоды». Далее проводится корреляционно-регрессионный анализ.
Ковариационный анализ, сочетающий свойства дисперсионного анализа, предназначенного для изучения влияния на результативный признак качественных признаков, и регрессионного анализа, предназначенного для изучения влияния на результативный признак количественных признаков.
Все методы этой группы достаточно трудоемки с позиции, как информационного обеспечения, так и алгоритмов расчета, поэтому они рекомендуются к применению в тематическом анализе.
5. Методы теории принятия решений
a. Метод построения дерева решений.
Этот метод входит в систему методов ситуационного анализа и используется в случаях, когда прогнозируемая ситуация может быть структурирована таким образом, что выделяются ключевые моменты, в которых либо нужно принимать решение с определенной вероятностью (роль аналитика активна), либо также с определенной вероятностью наступает некоторое событие(роль аналитика пассивна, однако значимы некоторые не зависящие от его действий обстоятельства). Именно для формализованного описания подобных ситуаций и используется так называемый метод построения дерева решений. Этот метод весьма полезен в различных областях деятельности менеджеров, например, в управленческом учете, при составлении бюджета капиталовложений.
b. Линейное программирование.
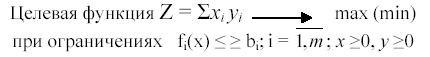
Метод линейного программирования, наиболее распространенный в прикладных экономических исследованиях ввиду его достаточно наглядной интерпретации, позволяет хозяйствующему субъекту дать обоснование наилучшему решению в условиях более или менее жестких ограничений, касающихся доступных для предприятия ресурсов. С помощью линейного программирования в анализе финансово-хозяйственной деятельности решается целый ряд задач, в первую очередь относящихся к процессу планирования деятельности, который он позволяет отыскивать оптимальные параметры выпуска и способы наилучшего использования ресурсов.
Суть метода линейного программирования заключается в поиске максимума или минимума выбранной в соответствии с интересами аналитика целевой функции при имеющихся ограничениях.
Помимо задачи оптимально выпуска, нельзя не упомянуть еще о двух типах задач, которые решаются с помощью метода линейного программирования: это так называемые транспортные задачи и задачи составления расписания.
Метод линейного программирования применяется в случаях, когда зависимости между факторами линейные и характер их не меняется со временем. Этот метод предполагает наличие нескольких альтернативных вариантов решения задачи, из числа которых и определяется лучший (оптимальный). В общем виде математическая модель оптимизационной задачи выглядит следующим образом:
Решение задач линейного программирования осуществляется с помощью симплексного метода. При этом реализуются следующие этапы:
-
составление математической модели;
-
присвоение элементам модели определенных имен;
-
составление матричной модели с поименованными элементами;
-
ввод исходных данных в ЭВМ и (при необходимости) их корректировка;
-
решение задачи;
-
экономический анализ полученного решения.
С помощью этого метода решаются задачи оптимального раскроя, оптимизации смесей сырья, оптимальной загрузки оборудования, транспортная задача и др.
c. Метод динамического программирования















