177765 (627530), страница 14
Текст из файла (страница 14)
Финансовый план как важнейший обобщающий раздел тактического плана служит основой для разработки оперативных финансовых планов, включая платежный календарь. Назначение оперативных финансовых планов заключается в управлении денежными потоками предприятия с целью маневрирования собственными и заемными денежными ресурсами и обеспечения нормальной работы предприятия. Оперативные финансовые планы конкретизируют плановые показатели очередного квартала годового плана. [3]
3.3.3 Порядок разработки тактического плана
Тактическое планирование на предприятии является непосредственным продолжением стратегического планирования и составляет с ним единое целое. Поэтому разработка тактического плана осуществляется в рамках общей системы организации внутрифирменного планирования. Однако тактическое планирование имеет ряд особенностей, которые состоят в следующем:
• более высокая значимость нормативной базы внутрифирменного планирования, широкое использование долговременных прогрессивных нормативов;
• наличие системы плановых показателей оценки деятельности, позволяющих наиболее точно устанавливать достигнутый уровень эффективности и качества работы структурных подразделений предприятия;
• ориентация средств и методов планирования на развитие хозяйственной самостоятельности и инициативы всех участников разработки и исполнения плана в деле достижения высоких конечных экономических и социальных результатов;
• укрепление и дальнейшее развитие коммерческого расчета во внутрихозяйственной деятельности.
В процессе составления тактического плана проводятся следующие работы:
• анализ выполнения плана за предшествующий плановому год, где особое внимание должно уделяться выявлению резервов производства и разработке мероприятий по улучшению использования производственных мощностей, экономии материальных ресурсов, повышению производительности труда, улучшению качества и конкурентоспособности новой техники;
• сбор предложений работников предприятия по реализации стратегии развития предприятия, повышению эффективности работы;
• изучение мероприятий и обоснование плановых решений по всем разделам тактического плана.
Тактический план обычно разрабатывается :в нескольких вариантах, с тем чтобы выбрать из них наилучший, то есть наиболее соответствующий условиям реализации в зависимости от складывающейся во внешней среде ситуации. Там, где это возможно, вариантные расчеты проводятся с применением экономико-математических методов и ЭВМ.
Тактический план разрабатывается в два этапа. Первый подготовительный этап начинается за 6-7 месяцев до начала планируемого года. На этом этапе выполняется технико-экономический анализ деятельности предприятия, изыскиваются резервы производства, разрабатываются прогрессивные технико-экономические нормы и нормативы. На данном этапе проводятся маркетинговые исследования, изучается потребность в изготовляемой продукции, ее качество, ассортимент, конкурентоспособность. На основе полученных данных составляют проект плана и дают обоснование его ключевых показателей. Разработанный проект плана при необходимости согласовывается с вышестоящими организациями и местными органами власти.
На данном этапе важная роль отводится предплановой работе, которая заключается в сборе, обобщении и анализе исходной информации. Вся информация может быть разделена на внешнюю и внутреннюю. Внешняя содержит различные маркетинговые, конъюнктурные и общеэкономические прогнозные оценки. Внутренняя информация характеризует потенциал предприятия: наличие и структуру производственных мощностей; численность и профессиональный состав кадров; наличие и потребность в оборотных средствах; запасы сырья, топлива, материалов, готовой продукции.
На втором этапе разрабатывается окончательный вариант плана, в котором рассчитываются все показатели работы предприятия, предусмотренные структурой плана. Планово-экономический отдел предприятия, исходя из показателей стратегического плана, рассчитывает контрольные цифры по каждому разделу плана и доводит их до всех заинтересованных структурных подразделений предприятия. Последние составляют проекты отдельных разделов плана.
После разработки разделов плана производится их взаимная увязка, а при необходимости — корректировка по ресурсам и срокам выполнения запланированных мероприятий. Например, объемы и сроки поставки сырья, материалов, комплектующих изделий увязываются с планом производства и реализации продукции, финансовым планом. Таким образом достигается сбалансированность всех разделов плана, устанавливается согласованный порядок и очередность выполнения всех работ, устанавливаются сроки и ответственные исполнители по всему кругу хозяйственных операций и запланированных мероприятий, определяются источники и размеры финансирования.
К работе над планом на этом этапе широко привлекается весь аппарат управления предприятием. Отдельные плановые решения целесообразно обсудить на производственных совещаниях, научно-технических советах по направлениям деятельности предприятия, в трудовых коллективах цехов, участков. Проект плана в целом должен быть обсужден на совете (правлении) предприятия. Окончательный вариант плана утверждается первым руководителем предприятия. Работу на втором этапе целесообразно проводить за один-два месяца до начала планируемого года.
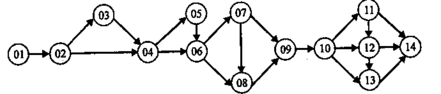
Точность и реалистичность плана во многом зависят от последовательности разработки отдельных его разделов (частных планов). Наиболее целесообразной может быть последовательность работы над разделами плана, представленная на сетевом графике (рис. 3.2). [3]
Рисунок 3.2 – Сетевой график разработки тактического плана
3.4 Оперативно-календарное планирование
3.4.1 Цели, задачи и содержание оперативно-календарного планирования
Оперативно-календарное планирование тесно связано с тактическим планированием и является его продолжением. Основная цель оперативно-календарного плана (ОКП) заключается в конкретизации заданий тактического плана, доведении их до исполнителей (структурных подразделений и рабочих мест) и организации ритмичной работы предприятия. ОКП обеспечивает планомерное движение всех предметов труда в пространстве и во времени с целью выполнения показателей тактического плана по выпуску и реализации готовой продукции в запланированные сроки с намеченной эффективностью. Особенность оперативно-календарного планирования состоит в том, что разработка плановых показателей и доведение их до подразделений сочетается с организацией их выполнения.
Оперативно-календарное планирование выполняет две основные функции: календарное планирование и оперативное управление ходом производства — диспетчирование.
Календарное планирование — это разработка и доведение до структурных подразделений и рабочих мест оперативных плановых заданий по выпуску продукции и обеспечению их необходимыми для этого ресурсами.
Оперативное управление ходом производства осуществляется путем текущего учета, анализа, контроля за выполнением оперативных планов и принятия мер по устранению причин, нарушающих ритмичный ход производства и реализации продукции.
В зависимости от объекта выделяют межцеховое и внутрицеховое оперативно-календарное планирование. Объектом межцехового ОКП являются цехи основного производства, целью — обеспечение слаженной, ритмичной работы цехов основного производства, их бесперебойного снабжения ресурсами и услугами вспомогательных цехов и служб предприятия. Предметом планирования межцехового ОКП служат производственно-хозяйственные связи между цехами основного производства, а исходными данными — показатели плана производства и реализации продукции предприятия. Межцеховое ОКП осуществляется планово-производственным (ППО) и планово-диспетчерским (ПДО) отделами предприятия. В задачи межцехового ОКП входят:
• расчеты величины и уровня использования производственной мощности;
• распределение годовой (квартальной) производственной программы по месяцам;
•доведение производственной программы предприятия до структурных подразделений и рабочих мест;
• выбор метода изготовления производственной программы;
• разработка оперативно-календарных нормативов;
•составление календарных графиков изготовления готовой продукции по предприятию;
• составление и выдача цехам основного производства квартальных и месячных планов производства деталей; сборочных единиц по закрепленной за ними номенклатуре;
• расчет и взаимное согласование показателей сменно-суточных календарных графиков работы цехов основного, обслуживающего и вспомогательного производств;
• оперативный учет выполнения календарных планов цехами и диспетчирование хода производства;
• контроль за состоянием и комплектностью незавершенного производства и т.д.
Внутрицеховое ОКП направлено на обеспечение ритмичного выполнения заданий оперативного плана участками, бригадами и рабочими местами цехов основного производства. Внутрицеховое ОКП выполняется в цехе производственно-диспетчерским бюро (ПДБ), а на участке — мастером. Задачами внутрицехового ОКП являются:
• разработка оперативных планов на месяц и более короткие отрезки времени (декаду, неделю, сутки, смену) для производственных участков, поточных линий, бригад, рабочих мест;
• контроль выполнения плановых заданий;
• координация и регулирование работы взаимосвязанных участков, поточных линий, бригад, рабочих мест;
• координация работы вспомогательных служб цеха по обеспечению работы основных производственных участков;
• контроль загрузки производственных мощностей, выявление узких мест и подготовка предложений по их устранению;
• учет простоев оборудования и рабочих;
• принятие мер по ликвидации задержек в ходе производства, неполадок, аварий, простоев оборудования и рабочих и т.д.
В соответствии с указанными задачами в структуре планово-диспетчерского отдела (бюро) выделяются два подразделения: бюро (группы) планирования и диспетчирования. Бюро (группа) планирования разрабатывает календарно-плановые нормативы, составляет квартальные, месячные и сменно-суточные планы, ведет оперативный учет выполнения планов, проводит инвентаризацию незавершенного производства и остатков продукции в цехах. Бюро (группа) диспетчирования контролирует, координирует и регулирует производственный процесс, ход оперативной подготовки производства и текущего обслуживания рабочих мест, руководит работой транспорта, принимает оперативные меры по предупреждению и ликвидации неполадок и несоответствий в работе структурных подразделений предприятия.
Для того чтобы оперативно-календарное планирование решало поставленные задачи, оно должно быть построено на основе следующих принципов.
1. Принцип специализации означает, что структура и показатели системы оперативно-календарного планирования зависят от действующей на предприятии формы организации производственного процесса. Каждому типу производства (массовое, серийное, единичное) должна соответствовать своя система ОКП.
2. Принцип ритмичности. Основная задача ОКП — обеспечить ритмичную работу всех структурных подразделений, участвующих в производстве и реализации продукции.
3. Принцип гибкости. ОКП должно реагировать на любые изменения, происходящие в процессе производства и реализации продукции.
4. Принцип защиты и устранения помех. Помехи в производственном процессе — это непланируемые события, которые приводят к расхождению действительного и запланированного хода производства. Необходимым инструментом защиты от помех является прогнозирование их появления и предупреждение, а в случае их наступления — скорейшая ликвидация, предотвращающая появление необратимых негативных процессов.
5. Принцип контроля. Контроль в системе оперативно-календарного планирования должен охватывать все стадии и элементы процесса производства и реализации продукции, например контроль наличия и продвижения ресурсов, присутствия рабочей силы, исправности оборудования, качества сырья и готовой продукции и т.д.
6. Принцип интеграции основных, вспомогательных и обслуживающих производственных процессов в единый процесс как объект оперативно-календарного планирования.
7. Принцип минимизации незавершенного производства предполагает сведение к минимуму заделов на всех стадиях производства.
8. Принцип равномерности загрузки оборудования и рабочих предусматривает синхронизацию работы рабочих мест таким образом, чтобы исключить простои в работе и пролеживание полуфабрикатов.
9. Принцип экономичности предполагает соизмерение затрат на ОКП с эффектом от обеспечения ритмичности, сокращения перерывов в движении предметов труда по отдельным стадиям производства, равномерности и комплексности загрузки площадей, оборудования и рабочих.
Вышеперечисленные специфические принципы в сочетании с общими принципами планирования позволяют разработать структуру и показатели систем оперативно-календарного планирования для различных типов производств: массового, серийного и единичного.
Основой для планирования движения предметов труда в производстве являются расчеты производственной мощности (ПМ) и календарно-плановые нормативы (КПН). Расчеты производственной мощности и календарно-плановых нормативов производятся, как правило, один раз в год, а перечень конкретных КПН зависит от типа производства. [3]
3.4.2 Оперативно-календарное планирование в массовом производстве
В массовом производстве применяется подетальная система планирования. Планово-учетной единицей для предприятия в целом и выпускающих цехов в этой системе ОКП является изделие, а для остальных цехов — деталь, сборочная единица (узел).
















