177532 (627434), страница 4
Текст из файла (страница 4)
- сплошная или выборочная;
- нормативные документы.
-
Хранение, учитывается срок хранения, условия хранения, товарное соседство, способ укладки, виды оборудования при хранении.
-
Размещение и выкладка в торговом зале.
Размещение – это расположение товара внутри торгового зала с учетом группового ассортимента, потребительского свойства, цены, сырья, особенности спроса.
Принципы размещения:
- количество товара должно обеспечить бесперебойную торговлю ими;
- товары размещаются с учетом движения покупательских потоков;
- хорошая обозримость и доступность товара для покупателей;
- за каждой группой товара желательно закрепить постоянное место;
- новые товары, товары требующие быстрой реализации располагаются в хорошо обозримом месте.
Факторы, влияющие на размещение:
- частота приобретения отдельных видов товара;
- затраты времени на отбор товара;
- компактность покупок;
- величина грузооборота по товарным зонам торгового зала.
Выкладка – это расположение товара, укладка, показ их на торгово-технологическом оборудовании с целью создания композиции и заострение внимания потребителя на свойствах товара.
-
Расчет за покупку.
Цель – сократить затраты времени на обслуживание покупателей, обеспечить сохранность товара. В магазине ООО «Ижтрейдинг» используются экспресс кассы и тандемные узлы расчета. Штрих - кодовая система, замагниченность товара.
-
Услуги, сервис обслуживания.
Приемка товаров по количеству и качеству осуществляется в соответствии с инструкциями: "О порядке приемки продукции производственно-технического назначения и товаров народного потребления по качеству", утвержденной постановлением Госарбитража при Совете Министров СССР от 25.04.66 №П.-7 (с изменением от 23.05.75); "О порядке приемки продукции производственно-технического назначения и товаров народного потребления по количеству", утвержденной постановлением Госарбитража при Совете Министров СССР от 15.06.65 №П.-6 (с изменением от 14.11.74), если в договорах-поставки, стандартах и ТУ не предусмотрен другой порядок приемки товаров.
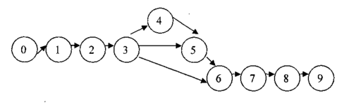
Построим сетевой график поступления товара:
Проведем анализ ТТП.
Рис.1. Сетевой график поступление товара
Цикл-1 0-1-2-3-4-6-7-8-9
Цикл-2 0-1-2-3-6-7-8-9
Цикл-3 0-1-2-3-4-5-6-7-8-9
Цикл-4 0-1-2-3-5-6-7-8-9
Составим таблицу «Перечень операций ТТП», куда занесем данные о длительности всех операций:
Таблица 2
Перечень операций ТТП
| Событие | Содержание операции | Продолжительность (мин.) | |||||
| начало | окончание | ||||||
| 0 | 1 | Поступление товара, проверка сопроводительной документации | 15 | ||||
| 1 | 2 | Разгрузка товара | 25 | ||||
| 2 | 3 | Приемка товара по количеству и качеству | 20 | ||||
| 3 | 4 | Хранение товара | 60 | ||||
| 4 | 6 | Доставка товара в торговый зал | 10 | ||||
| 6 | 7 | Размещение и выкладка на оборудовании | 5 | ||||
| 7 | 8 | Отбор товара покупателем | 2 | ||||
| 8 | 9 | Расчет за товар | 3 | ||||
| 3 | 6 | Доставка товара в торговый зал | 10 | ||||
| 3 | 5 | Подготовка товара к продаже | 10 | ||||
| 4 | 5 | Подготовка товара к продаже | 10 | ||||
| 5 | 6 | Доставка товара в торговый зал | 10 | ||||
На основании вышеуказанных данных составим таблицу «Длительность циклов ТТП»:
Таблица 3
Длительность циклов ТТП
| Циклы | Длительность цикла | Резерв времени |
| 1 | 15+25+20+60+10+5+2+3=140 | 10 минут |
| 2 | 15+25+20+10+5+2+3=80 | 70 минут |
| 3 | 15+25+20+60+10+10+5+2+3=150 | критический |
| 4 | 15+25+20+10+10+5+2+3=90 | 60 минут |
Расчеты показали, что торговому предприятию можно сократить затраты времени на выполнение торгово-технологического процесса, т.к. цикл № 3 имеет максимальный резерв времени. Значит поставка товаров, готовых к процессу продажи позволяет минимизировать затраты на использование средств подъемно-транспортного оборудования, рабочей силы, сокращению товарных потерь и т.д.
2. ОРГАНИЗАЦИЯ КОММЕРЧЕСКОЙ ДЕЯТЕЛЬНОСТИ СУПЕРМАРКЕТА №2 ООО «ИЖТРЕЙДИНГ»
2.1.Сущность, особенность коммерческой деятельности, стратегии.
Коммерческая деятельность – это комплекс коммерческих процессов и операций, направленных на эффективность купли-продажи с ориентацией на спрос и получение реальной прибыли.
Функции коммерческой деятельности:
1. Формирование коммерческой политики организации:
- усиление влияния предприятия на рынке;
- выявление и заполнение новых рыночных ниш;
- совершенствование товарной номенклатуры предприятия;
- повышение конкурентоспособности.
2.Коммерческий подход предприятия к коммерческой работе:
- связь с поставщиками и покупателями
- купля-продажа товаров зависимости от структуры рыночного спроса;
- выбор наиболее выгодных методов продвижения товаров на рынке.
3. управление процессами купли-продажи.
4. Выявление потенциальных возможностей расширения рынка с учетом спроса и предложения.
5. Учет издержек связанных с коммерческими процессами и операциями.[9]
Роль рынка как регулятора отношений в обществе и экономике хорошо известна. Следует, тем не менее, выделить несколько конкретных функций, которые определяют значение рынка для всей системы коммерческих отношений [9]:
-
рынок формирует условия для оценки общественной значимости труда, затрачиваемого на создание товаров. Акт обмена, совершенный на рынке по известной схеме “товар–деньги”, означает, что труд создателя данного товара является общественно-полезным. Предпосылкой для этого служит реальная возможность для покупателя свободного выбора необходимого ему товара и, соответственно, источника (продавца) данного товара;
-
рынок регулирует размер общественно-необходимых затрат на производство товара. В процессе обмена формируется четкое представление об уровне общественно-необходимых затрат труда на производство того или иного продукта. При этом рынок косвенным способом воздействует на экономические показатели предприятий, в частности, на себестоимость и прибыль: убыточные фирмы “уходят” с рынка;
-
рынок формирует основные пропорции экономики, состав и структуру общественного продукта. Причиной служит естественное стремление предпринимателей производить и продавать товары, которые пользуются спросом в первую очередь. Иначе говоря, капитал концентрируется в тех отраслях, где параметры спроса наиболее близко встречаются с предложением.
Коммерческая деятельность всегда связана с выполнением операций по доведению материальных ресурсов от поставщиков до потребителей. К таким операциям относятся [14]:
-
у изготовителей – подготовка продукции к отправке, отгрузка, отпуск и ее документальное оформление;
-
на складах посреднических и транспортных предприятий в процессе движения продукции – ее приемка, хранение, формирование комплектных партий, отгрузка;
-
на складах предприятий-потребителей – приемка продукции по количеству и качеству, хранение, доведение приобретенных материалов до высокой степени технологической готовности к производственному потреблению, отпуск и доставка материалов к рабочим местам.
В целом все эти операции в зависимости от конкретной ситуации можно условно распределить на две категории – сбытовые и снабженческие. Сбытовые операции и процессы связаны с производством и поставкой продукции. Процесс производства продукции заканчивается сбытом продукции. Снабженческие операции связаны с производственным потреблением материальных ресурсов, получением материальных ресурсов и обеспечением ими предприятий производственной и непроизводственной сферы
У каждого предприятия функционирующего на рынке существует главная цель-получение прибыли, для достижения которой предприятие было организовано и функционирует.
Стратегия – план действий, комплекс мероприятий, позволяющий достичь главной цели организации, предприятия.
Формирование стратегии начинается с изучения внутренней среды, путем изучения ключевых факторов успеха. В предприятиях сферы оказания услуг, а предприятия торговли таковыми являются, выделяются следующие ключевые факторы успеха:
-
удобство расположения предприятия;
2. удобство подъезда и парковки;
3. качество предлагаемых товаров;
4. надежность и безопасность оказываемой услуги;
5. своевременность услуги;
6. атмосфера предприятия;
7. интерьер;
8. организация рекламы.
Путем системного подхода и многоуровневой системы оказываемой услуги, предприятие торговли по значимости ключевых факторов успеха раскладывается на 4 уровня (4–х уровневая интегральная модель): где, основная задача 1 уровень – удовлетворение потребностей потребителя; далее следует 2 уровень – место расположения предприятия, режим работы, ассортимент, качество предлагаемой продукции, надежность и безопасность услуги; 3 уровень – качество сервиса, атмосфера предприятия, интерьер, персонал, своевременность оказания услуги и 4 уровень – имидж предприятия, степень приверженности к нему потребителей. [12]
Рис. 2. Факторы успеха предприятия
Как можно увидеть из рисунка 2, основным из факторов успеха предприятия является его месторасположение, ассортимент, качество предлагаемой продукции. Если для вновь строящегося или вновь открываемого предприятие это место можно удачно подобрать, то для функционирующего предприятия это проблема.
В данном случае предприятию следует делать основной упор на другие основные факторы успеха: режим работы, ассортимент, качество покупаемых товаров, надежность и безопасность оказываемой услуги. Не стоит забывать и про работу с персоналом, так как в сфере оказания услуг – служащие – часть продаваемого товара и одна из главных задач – развивать культуру обслуживания, культуру сервиса персонала.
Исходя, из главной цели предприятия и для ее достижения формируются более низкие по уровню. Целей должно быть 4-6. Построение дерева стратегических целей призвано отражать общую цель предприятия и то есть поэтапные действия, которые позволяют реализовать данную цель.
Главной целью магазина №2 является получение реальной прибыли в долгосрочный период за счет увеличения реализации товаров, внешним потребителям (завоевание новой доли рынка) и оптимизации издержек обращения.
Пути достижения цели представлены на построенном дереве стратегических целей это:
-
следование за модными тенденциями рынка торговли;
-
формирование оптимального ассортимента;
-
применение гибкой системы ценообразования;
-
расширение услуг, предоставляемых покупателям;
-
выбор рационального канала закупки товаров;
2.2. Товародвижение и товароснабжение, поставщики.
Магазин №2 по Пушкинской, 157 не имеет возможности самостоятельно выбирать себе поставщиков. Всю деятельность по выбору поставщиков и дальнейшему сотрудничеству осуществляет специальные службы ООО «Ижтрейдинг»: отдел маркетинга и отдел снабжения.
Основной задачей, стоящей перед каждым предприятием, занимающимся торговой деятельностью является выявление и превращение покупательной способности потребителя в реальный спрос на определенный товар и полное удовлетворение этого спроса для обеспечения намеченных фирмой прибыли.








