175637 (626478), страница 4
Текст из файла (страница 4)
В курсовой работе предполагается выполнить анализ доходов от перевозок. Исходная информация для анализа доходов дороги содержится в отчетных формах: БО-11 «Отчет о производственно-финансовой деятельности железной дороги», ЦО-12 «Отчет о перевозке грузов, их пробегах и полученном за них доходе», ЦО-22 «Отчет о перевозке пассажиров и доходе от этих перевозок».
В процессе экономического анализа необходимо выявить динамику доходов и оценить влияние важнейших факторов на их величину. Схема анализа доходов железной дороги приведена рис. 5.1.
Рис. 5.1. Схема анализа доходов дороги от перевозок
Для анализа структуры и динамики доходов используется следующая аналитическая таблица.
Таблица 5.1.
Анализ структуры доходов и их динамики
| Вид доходов | Доходы по базе, млн. руб. | В % к итогу | Доходы по факту, млн. руб. | В % к итогу | Изменение | |
| Доходов, млн. руб. | Структуры доходов, % | |||||
| А | 1 | 2 | 3 | 4 | 5 | 6 |
| Доходы от грузовых перевозок | 12400,027 | 89,626 | 11460,630 | 88,019 | -939,397 | -1,607 |
| Доходы от пассажирских перевозок | 1435,253 | 10,374 | 1559,995 | 11,981 | 124,742 | 1,607 |
| Всего доходы от перевозок | 13835,280 | 100,000 | 13020,625 | 100,000 | -814,655 | |
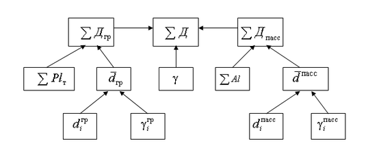
Схема причинно-следственной зависимости показателей доходов от перевозки грузов и пассажиров представлена на рис. 5.2 и анализируется по следующей формуле:
=
=
+
=
+
, (3.1)
где
– сумма доходов от перевозок, млн. руб.;
– грузооборот тарифный, млн. ткм;
– пассажирооборот, млн. пасс-км;
,
– средняя доходная ставка за 10 тар. ткм и за 10 пасс-км, коп;
,
– доходная ставка соответственно по каждому роду груза в грузовом движении и по каждому виду сообщения в пассажирском движении.
Рис. 5.2. Система взаимосвязи показателей доходов от перевозок грузов и пассажиров
Факторный анализ доходов от перевозок выполняется способом корректировок, результаты расчетов свести в таблицу 5.2.
Анализ средней доходной ставки выполняется способом структурных сдвигов.
При оценке влияния на доходы от перевозок грузов структурных изменений предварительно рассчитывается подстановка по формуле:
млн. руб.
Влияние изменений структуры перевозок по родам грузов на среднюю доходную ставку определяется следующим образом:
млн. руб.
Изменение величины доходов от перевозок грузов за счет изменения структуры перевозок по родам грузов будет рассчитываться по формуле:
млн. руб.
Влияние изменений доходной ставки по каждому роду груза на среднюю доходную ставку определяется следующим образом:
млн. руб.
Изменение величины доходов от перевозок грузов за счет изменения доходной ставки по каждому роду грузов будет рассчитываться по формуле:
млн. руб.
Аналогично рассчитывается отклонение доходов по факторам средней доходной ставки по пассажирским перевозкам.
млн. руб.
млн. руб.
млн. руб.
млн. руб.
млн. руб.
Таблица 5.2.
Анализ средней доходной ставки методом структурных сдвигов
| Вид сообщения | | d | | | Отклонение | | ||||||||||||||||
| | | d0 | d1 | Всего | В т.ч. | | | |||||||||||||||
| | | |||||||||||||||||||||
| Прямое | 80 | 78 | 144,432 | 164,824 | - 2 | 5,222 | 20,392 | - 0,104 | 15,906 | |||||||||||||
| Местное | 6 | 5 | 169,111 | 210,1 | - 1 | 29,901 | 40,989 | - 0,299 | 2,0495 | |||||||||||||
| Пригородное | 14 | 17 | 96,554 | 118,135 | 3 | - 42,656 | 21,581 | - 1,28 | 3,6688 | |||||||||||||
| Итого | 100 | 100 | 139,21 | 159,151 | - | - | 19,941 | - 1,683 | 21,624 | - 16,498 | 211,958 | |||||||||||
Таблица 5.3.
Анализ доходов от перевозок, млн.руб.
| Показатель | Доходы за базовый период | Индекс изменения объема перевозок, % | Доходы скорректи-рованные | Доходы за отчетный период | Изменение доходов за отчетный период | ||||||
| Всего | в том числе в связи | ||||||||||
| с изменением объема перевозок | средней доходной ставки | ||||||||||
| А | 1 | 2 | 3 | 4 | 5 | 6 | 7 | ||||
| Всего доходов от перевозок | 13835,280 | 0,951 | 13152,573 | 13020,625 | -814,655 | -682,707 | -131,948 | ||||
| Доходы от перевозок грузов | 12400,027 | 0,951 | 11788,043 | 11460,630 | -939,397 | -611,984 | -327,413 | ||||
| Доходы от перевозок пассажиров | 1435,253 | 0,951 | 1364,535 | 1559,995 | 124,742 | -70,719 | 195,460 | ||||
| Итого по грузовым и пассажирским перевозкам | 13835,280 | 13152,578 | 13020,625 | -814,655 | -682,703 | -131,952 | |||||
| Влияние изменения структуры перевозок | -0,004 | -0,004 | 0,004 | ||||||||
Результаты анализа доходов, выполненные в табл. 5.3 и расчетах выше, сводятся в табл. 5.4.
Таблица 5.4.
Результаты анализа доходов дороги
| Факторы | Изменение доходов под влиянием фактора, млн. руб. | Доля влияния каждого фактора в общем изменении доходов за отчетный период, % |
| А | 1 | 2 |
| Грузооборот, тарифных ткм | -611,984 | 75,122 |
| Доходные ставки по родам грузов | - 432,654 | 53,109 |
| Структура перевозок по родам грузов | 105,241 | -12,918 |
| Итого по грузовым перевозкам | - 939,397 | 115,312 |
| Пассажирооборот, пасс-км | - 70,719 | 8,681 |
| Доходные ставки по видам сообщений | 211,958 | -26,018 |
| Структура перевозок по видам сообщений | - 16,498 | 2,025 |
| Итого по пассажирским перевозкам | 124,742 | -15,312 |
| Структура перевозок по видам движения | - 0,004 | |
| Всего по факторам | - 814,655 | 100,000 |
Проверка:
= 13020,625 – 13835,280 = - 939,397 + 124,742 =
















