175393 (626309), страница 3
Текст из файла (страница 3)
3А) Коэффициент оборачиваемости материальных оборотных средств
. (8)
4А) Коэффициент оборачиваемости готовой продукции
, (9)
где
— средняя за период величина готовой продукции.
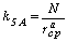
5А) Коэффициент оборачиваемости дебиторской задолженности
, (10)
где
— средняя за период дебиторская задолженность.
6А) Средний срок оборота дебиторской задолженности
(11)
7А) Коэффициент оборачиваемости кредиторской задолженности
(12)
где
— средняя за период кредиторская задолженность.
8А) Средний срок оборота кредиторской задолженности
. (13)
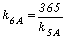
9А) Фондоотдача основных средств и прочих внеоборотных активов
, (14)
где
— средняя за период величина основных средств и прочих внеоборотных активов по балансу.
10А) Коэффициент оборачиваемости собственного капитала
(15)
где
— средняя за период величина источников собственных средств предприятия по балансу.
Комментарий по коэффициентам деловой активности (АК)
1АК)
отражает скорость оборота (в количестве оборотов за период) всего капитала предприятия. Рост
означает ускорение кругооборота средств предприятия или инфляционный рост цен (в случае снижения
или
).
2АК)
показывает скорость оборота всех мобильных (как материальных, так и нематериальных) средств предприятия. Рост
характеризуется положительно, если сочетается с ростом
, и — отрицательно, если
уменьшается.
ЗАК)
отражает число оборотов запасов и затрат предприятия за анализируемый период. Снижение
свидетельствует об относительном увеличении производственных запасов и незавершенного производства или о снижении спроса на готовую продукцию (в случае уменьшения
).
4АК)
показывает скорость оборота готовой продукции. Рост
означает увеличение спроса на продукцию предприятия, снижение
— затоваривание готовой продукцией в связи со снижением спроса.
5АК)
показывает расширение или снижение коммерческого кредита, предоставляемого предприятием. Если коэффициент рассчитывается по выручке от реализации, формируемой по мере оплаты счетов, рост
означает сокращение продаж в кредит. Снижение
в этом случае свидетельствует об увеличении объема предоставляемого кредита.
6АК)
характеризует средний срок погашения дебиторской задолженности. Положительно оценивается снижение
и наоборот.
7АК)
(по аналогии с
показывает расширение или снижение коммерческого кредита, предоставляемого предприятию. Рост
означает увеличение скорости оплаты задолженности предприятия, снижение
— рост покупок в кредит.
8АК)
отражает средний срок возврата долгов предприятия (за исключением обязательств перед банками и по прочим займам).
9АК)
характеризует эффективность использования основных средств и прочих внеоборотных активов, измеряемую величиной продаж, приходящейся на единицу стоимости средств.
10АК)
показывает скорость оборота собственного капитала, что для акционерных обществ означает активность средств, которыми рискуют акционеры. Резкий рост
отражает повышение уровня продаж, которое должно в значительной степени обеспечиваться кредитами и, следовательно, снижать долю собственников в общем капитале предприятия. Существенное снижение
отражает тенденцию к бездействию части собственных средств. [11]
1.2.2 Анализ оборачиваемости и эффективности использования основных средств
В производственно-хозяйственной деятельности используются производственные фонды и фонды непроизводственного назначения. Авансированные для производственно-хозяйственной деятельности производственные фонды выступают в трех формах:
-
производительной,
-
денежной и
-
товарной.
Задача фондов в трех формах одна — обеспечить непрерывность производства и воспроизводства, поэтому эти фонды и называются производственными. В отличие от непроизводственных фондов производительные фонды обслуживают сам процесс производства в материальных отраслях производства.
Проблема использования производственных фондов предприятий имеет две стороны. Первая связана с уменьшением массы потребленных в процессе производства средств производства; вторая — с уменьшением авансированных для производственно-хозяйственной деятельности фондов. Общая сумма потребленных производственных фондов за анализируемый период соответствует затратам средств труда (амортизация) и предметов труда на выпуск продукции. Авансированная сумма производственных фондов — это такая их сумма, которая обеспечивает одновременное пребывание производственных фондов во всех своих натуральных формах и на всех стадиях хозяйственной деятельности.
Проблема выпуска продукции с наименьшими затратами производственных фондов — проблема снижения себестоимости промышленной продукции. Показателями, отражающими снижение себестоимости продукции, являются:
-
уровень рентабельности одного оборота производственных фондов (отношение прибыли к себестоимости);
-
затраты на один рубль товарной или реализованной товарной продукции и
-
прибыль на один рубль продукции.
Проблема выпуска и реализации определенной массы продукции с меньшим количеством закрепленных (авансированных) производственных фондов (или, что то же самое, выпуска наибольшего количества продукции с использованием определенной массы авансированных фондов) — вполне самостоятельная проблема экономики предприятий. Показателем, отражающим выпуск продукции с меньшим количеством фондов, является общая фондоотдача производственных фондов, или их оборачиваемость. Его исчисление можно производить либо по стоимости реализованной продукции, либо по себестоимости реализованной продукции. Обратным этому показателю является показатель общей фондоемкости продукции (коэффициент закрепления производственных фондов).
Воспроизводство и оборачиваемость основных производственных фондов — фактор, влияющий на уровень рентабельности и финансовое состояние предприятий. Для предприятий важно, сколько собственных средств вложено в основные фонды. В современных условиях увеличивается маневренность предприятий в отношении создания и использования средств труда, повышается роль кредита в формировании основных средств. Денежные средства от реализации ненужных средств труда пополняют фонд развития производства.
Таблица 2 ВЛИЯНИЕ ХОЗЯЙСТВЕННЫХ ОПЕРАЦИЙ С ОСНОВНЫМИ СРЕДСТВАМИ НА ФИНАНСОВОЕ СОСТОЯНИЕ И РЕЗУЛЬТАТЫ ДЕЯТЕЛЬНОСТИ ПРЕДПРИЯТИЯ
| Содержание хозяйственной операции | Влияние на имущественное состояние и финансовые результаты деятельности предприятия |
| ПОСТУПЛЕНИЕ ОСНОВНЫХ СРЕДСТВ | |
| Получено безвозмездно от физических лиц | Увеличивается размер собственного капитала предприятия за счет роста фондов специального назначения (за вычетом расходов по доставке). Это ведет к росту устойчивости финансового положения. С другой стороны, это ведет к повышению удельного веса амортизационных отчислений и расходов на ремонт в себестоимости продукции, что при низкой фондоотдаче безвозмездно полученных основных средств может привести к уменьшению прибыли и рентабельности |
| Получено безвозмездно от юридических лиц | Увеличиваются внереализационные доходы предприятия на величину первоначальной или остаточной стоимости объектов. Одновременно на сумму износа увеличиваются внереализационные расходы (убытки). На сумму расходов по доставке уменьшаются спецфонды, либо чистая прибыль, либо нераспределенная прибыль прошлых лет. В целом на сумму поступивших основных средств (за вычетом расходов по доставке) увеличивается балансовая прибыль. |
| Приобретение основных средств за плату | Увеличиваются внеоборотные активы предприятия, изменяется структура капитала предприятия. В целом замедляется оборот капитала, сокращаются размеры наиболее ликвидных активов, ухудшается платежеспособность. На величину расходов по доставке и монтажу объектов уменьшается чистая прибыль или фонд накопления. Оборотные средства увеличиваются на сумму уплаченного НДС (списываются на уменьшение задолженности бюджету по НДС на реализованную продукцию в течение 6 мес.). По приобретенным транспортным средствам, помимо НДС, уплачивается налог на приобретение транспортных. Издержки производства увеличиваются на сумму налога с владельцев транспортных средств. |
| Долгосрочная аренда основных средств | Увеличивается сумма внеоборотных активов и сумма задолженности арендодателям. Периодически уменьшается денежная наличность на сумму арендной платы и % за аренду. На сумму % уменьшается чистая прибыль или фонд накопления. |
| Текущая аренда основных средств | Издержки арендатора увеличиваются на сумму арендной платы, а также на сумму расходов по капитальному ремонту (если это оговорено условиями договора аренды). |
| ВЫБЫТИЕ ОСНОВНЫХ СРЕДСТВ | |
| Безвозмездная передача основных средств | На величину потерь от безвозмездной передачи основных средств (их остаточная стоимость плюс расходы по выбытию, плюс НДС) уменьшается чистая прибыль или фонд накопления, или нераспределенная прибыль прошлых лет. Уменьшается сумма основных средств. |
| Внесение вклада в уставный капитал дочернего предприятия | Вклад по цене соглашения выше остаточной ведет к росту внереализационных доходов предприятия. В противном случае убытки относят на уменьшение чистой прибыли или фонда накопления. |
| Продажа основных средств | Формируется финансовый результат (прибыль, убыток) от прочей реализации, который увеличивает (уменьшает) балансовую прибыль предприятия. Уменьшается размер основных средств, повышается ликвидность баланса, ускоряется оборот всего капитала. Оптимальным вариантом продаж для налогообложения прибыли является реализация основных средств по рыночной стоимости. Но оценка данной операции должна в первую очередь производиться с точки зрения производственной потребности предприятия в реализуемых объектах основных средств, возможности их замещения более производительными. |
| Ликвидация основных средств | Финансовый результат выявляется по каждому ликвидируемому объекту. Собственные источники предприятия уменьшаются на сумму недовнесенного в бюджет НДС и на сумму недоамортизации ликвидируемого объекта. |
Методика анализа эффективности вложений предприятия в основные средства, их эксплуатации и воспроизводства должна учитывать ряд принципиальных положений:
-
функциональная полезность основных средств сохраняется в течение ряда лет, поэтому расходы по их приобретению и эксплуатации распределены во времени;
-
момент физической замены (обновления) основных средств не совпадает с моментом их стоимостного замещения, в результате чего могут возникнуть потери и убытки, занижающие финансовые результаты деятельности предприятия;
-
эффективность использования основных средств оценивается по-разному в зависимости от их вида, принадлежности, характера участия в производственном процессе, а также назначения. Поскольку основные средства обслуживают не только производственную сферу деятельности предприятия, но и социально-бытовую, культурную, природно-экологическую и другие сферы, постольку эффективность их использования определяется не только экономическими, но и социальными, экологическими и другими факторами.
Основные средства и долгосрочные инвестиции в основные средства многопланово и разносторонне влияют на финансовые результаты деятельности предприятия. Характер этого влияния показан в таблице 1.
















