175354 (626277), страница 2
Текст из файла (страница 2)
Загальні збори може прийняти рішення використовувати частину прибутку у формі грошових коштів на виплату дивідендів, а іншу частину - на розширення та оновлення виробництва, фінансові інвестиції, придбання нерухомості, створення та поповнення фондів товариства, соціальні програми і т.п. Чинним законодавством не встановлено зобов'язання акціонерного товариства щорічно нараховувати дивіденди. Рішенням загальних зборів акціонерів весь прибуток може бути спрямована на розвиток виробництва даного товариства, без виплати дивідендів. Крім того, чинним законодавством не передбачено чіткої форми виплати дивідендів, тобто акціонери можуть отримувати дивіденди не у грошовій формі, а, наприклад, продукцією.
Відносини у сфері виплати дивідендів регулюються Господарським і Цивільним кодексами України, Законами України «Про господарські товариства», «Про цінні папери та фондовий ринок». Поняття «дивіденд» визначено чинним законодавством у Законі України «Про оподаткування прибутку підприємств».
Види дивідендної політики Звернемо нашу увагу на дивідендну політику компанії. В даному контексті відразу постає питання: а чи потрібно фірмі визначати наперед та дотримуватися визначеної дивідендної політики взагалі? Відповідь однозначна — так. Справа в тому, що акціонери (власники) фірми демонструють різноманітні очікування стосовно майбутніх дивідендів. Правління, котре безпосередньо формує дивідендне рішення, приймає на себе фактично ризик невдоволення частини акціонерів існуючою дивідендною політикою. Проте відомо, що «друзі приходять та відходять, а ворогів збільшується». Отже, компанія без попередньо визначеної дивідендної політики нагромаджує антипатію невдоволених акціонерів, у той час, як чітка дивідендна політика (нехай навіть політика повної невиплати дивідендів) зберігає число акціонерів компанії. Це вигідно правлінню, яке, як відомо, теж обирається акціонерами.
Досить відомим інструментом дивідендної політики, до якого вдаються підприємства європейських країн та США, є подрібнення акцій та викуп акціонерним товариством акцій власної емісії. Механізм подрібнення акцій у рамках дивідендної політики застосовується за високого ринкового курсу акцій та високого рівня капіталізації. За рішенням загальних зборів акціонерів AT може бути проведене подрібнення акцій (спліт): кожна з випущених товариством акцій замінюється на кілька акцій меншого номіналу. Величина статутного капіталу при цьому не змінюється. Однак, як і у випадку зі збільшенням статутного капіталу, досягається зменшення ринкової ціни акції. Провівши подрібнення акцій, наприклад у співвідношенні 1: 3, емітент може викупити у власника певну кількість акцій та анулювати їх, досягши при цьому зменшення загальної номінальної вартості акцій, які є в обігу, з одночасним зростанням їх ринкової ціни. Грошові компенсації за викуп акцій можна трактувати як дивідендні платежі, що до того ж не підлягатимуть оподаткуванню.
Резерв дивідендів. Підприємства здебільшого прагнуть забезпечити стабільний рівень дивідендних виплат, що позитивно впливає на стабілізацію курсу їх корпоративних прав. З цією метою в роки з високим обсягом чистого прибутку останній повністю не розподіляється, а спрямовується на формування резервів, ут. ч. прихованих. У роки з недостатнім рівнем прибутковості підприємство може спрямовувати на виплату дивідендів частину раніше сформованих резервів. Зазначені резерви також використовуються для забезпечення дивідендних виплат за привілейованими акціями.
Враховуючи фактори впливу на дивідендну політику і теоретичні концепції у цій галузі, в практиці використовуються такі основні підходи (методи) нарахування та виплати дивідендів:
• залишковий метод і стратегія припинення дивідендних виплат;
• метод стабільних дивідендів;
• метод гнучкої дивідендної політики;
• метод стійкого приросту дивідендів;
• метод стабільної та бонусної частини.
Загальний огляд методів нарахування дивідендів, їх переваги та недоліки наведено у табл. 1.
Таблиця 1
Методи нарахування дивідендів
| Методи | Переваги | Недоліки |
| 1. Залишковий метод, припинення дивідендних виплат | • забезпечення високих темпів росту підприємства • платоспроможність • фінансова незалежність | • нестабільність дивідендів • відтік дрібних інвесторів |
| 2. Метод стабільних дивідендів | • збільшення довіри до підприємства • стабілізація котировок акцій | • слабкий зв'язок з фінансовими результатами • мінімізація самофінансування |
| 3. Метод гнучкої дивідендної політики | • зв'язок з фінансовими результатами | • нестабільність розмірів дивідендів |
| 4. Метод стійкого приросту дивідендів | • забезпечення зростання ринкового курсу акцій • привабливість для інвесторів при додатковій емісії | • відсутність гнучкості • постійне зростання фінансової напруги |
| 5. Метод стабільної та бонусної частин | • регулярність виплати мінімальної частини • залежність від фінансових результатів | • нестабільність розмірів дивідендів |
Залишковий метод. Метод ґрунтується на теоретичних висновках М. Міллера та Ф. Модільяні, згідно з яким за джерела фінансування підприємства насамперед слід використовувати його прибуток. На дивіденди повинна спрямовуватися частина чистого прибутку, що залишилася у підприємства після здійснення всіх необхідних реінвестицій. До переваг методу належать забезпечення високих темпів розвитку підприємства. Головним недоліком є нестабільність дивідендів та відтік у інвесторів, орієнтованих на споживання, зокрема дрібних інвесторів. У рамках цього методу використовують і так звану стратегію припинення дивідендних виплат. При цьому широко застосовується не грошова форма виплати дивідендів (Gratisaktien).
Метод стабільних дивідендів. Зміст методу зводиться до того, що ставка дивідендів та їх абсолютна сума на одну акцію тривалий час залишаються незмінними або коливаються в незначних, заздалегідь визначених межах. Сума дивідендів при цьому не прив'язується до фактичних фінансових результатів за звітний період. Доцільність такого підходу обґрунтовується тим, що стабільні дивіденди відповідають інтересам стратегічних інвесторів, які вкладають кошти в корпоративні права підприємства на тривалий період, і навпаки, обмежують арбітражні можливості біржових спекулянтів, оскільки курс корпоративних прав за такої дивідендної політики матиме тенденцію до стабілізації або навіть поступового зростання. Для уникнення порушення фінансової рівноваги за використання цього методу підприємство повинне створювати резерв виплати дивідендів, який слід поповнювати у роки з високою прибутковістю і використовувати, коли фінансові результати є недостатніми.
Метод гнучкої дивідендної політики. На противагу до попереднього цей метод ґрунтується на принципі залежності розміру дивідендів від фінансових результатів у періоді, за який виплачуються дивіденди. Метод побудований на тезі про те, що на відміну від облігацій, корпоративні права є ризикованими вкладеннями і тому винагородою за ризик повинен бути відповідний дохід, який коливається залежно від рівня прибутковості підприємства. Використання цього методу не означає, що величина дивідендів буде дзеркальним відображенням фінансових результатів суб'єкта господарювання. Обсяг сплачуваних дивідендів можна регулювати також шляхом зміни співвідношення розподіленого та нерозподіленого прибутку. В цілому метод є ефективним для підприємств зі стабільними доходами. Метод стійкого приросту дивідендів. Метод ґрунтується на моделі виплати дивідендів М. Гордона і передбачає стабільне їх зростання, як правило, в твердо встановленому проценті приросту до розміру дивідендів у попередні роки. Аналогічно до методу стабільних дивідендів за цього методу обсяг дивідендів не залежить від прибутків підприємства у відповідному періоді. До переваг методу можна віднести відносне зростання ринкової вартості корпоративних прав, а отже, сприятливі можливості залучення коштів при додатковій емісії. Недоліком такої політики є відсутність гнучкості. Якщо використання методу не підкріплене відповідними фінансовими результатами та достатніми резервами, то це може призвести до порушення фінансової рівноваги та втрати підприємством ліквідності.
Метод стабільної та бонусної частин. Використовуючи цей метод, підприємство регулярно виплачує стабільні невисокі дивіденди плюс додаткові бонуси за наявності високих прибутків чи у разі святкування знаменних подій, ювілейних дат тощо. Така політика є ефективнішою, ніж у разі виплати стабільно високих дивідендів та їх зниження за незадовільних фінансових результатів.
Ефективність дивідендної політики оцінити надзвичайно складно. Очевидно, ефективною буде така політики, за якої забезпечується мінімізація принципал-агент-конфлікту між окремими власниками, власниками, кредиторами та менеджментом підприємства. Зрозуміло, що уникнути таких конфліктів можна за максимізації доходів власників (Shareholder Value) за відсутності обмежень з боку кредиторів. Як уже зазначалося, ці доходи можуть бути у формі підвищення курсової вартості та (або) дивідендів. Висновки щодо ефективності дивідендної політики можна зробити на основі аналізу показників прибутковості корпоративних прав, від значення яких залежать обидві складові доходів власників. До таких показників можна віднести:
1. Чистий прибуток, що припадає на одну просту акцію: розраховується діленням суми чистого прибутку, який належить власникам простих акцій, на кількість простих акцій.
2. Дивіденди на одну просту акцію: розраховується діленням суми оголошених дивідендів на кількість простих акцій, за якими сплачуються дивіденди.
3.Коефіцієнт цінності акцій: розраховується діленням ринкової ціни однієї акції на дивіденд на одну просту акцію.
4. Рентабельність акції — виражений у процентах показник, який є обернено пропорційним до коефіцієнта цінності акцій.
5. Коефіцієнт дивідендних виплат: відношення маси дивіденду до суми чистого прибутку.6. Відношення ринкового курсу до чистого прибутку на одну акцію {price earnings ratio, PER): характеризує взаємозв'язок між чистим прибутком підприємства та курсом його акцій і показує, скільки річних прибутків на одну акцію потрібно, щоб окупилися кошти, вкладені в акцію.
7. Відношення ринкового курсу акцій до показника Cash-flow на одну акцію: характеризує взаємозв'язки між ринковим курсом і чистим грошовим потоком підприємства.
В інформації про фінансово-господарську діяльність AT, що публікується емітентом у друкованих виданнях, наводяться окремі показники, які характеризують ефективність дивідендної політики, зокрема:
• частка чистого прибутку, спрямована на виплату дивідендів на привілейовані акції (тис. грн);
• чистий прибуток, що припадає на одну просту акцію (грн);
• дивіденди, нараховані на одну просту акцію (грн).
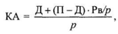
За певних обставин ефективною буде така дивідендна політика, за якої забезпечується зростання ринкової ціни корпоративних прав. У традиційному розумінні рішення власників щодо дивідендів чи реінвестування прибутку залежить від очікуваної рентабельності власного капіталу підприємства (Рв) та від ставки зовнішніх доходів (р) за альтернативних вкладень відповідного обсягу капіталу на ринку. Якщо на ринку є можливість вкласти капітал з вищою нормою дохідності, ніж у підприємство-емітент (за однакового рівня ризику), то доцільно приймати рішення щодо виплати дивідендів. Якщо ж навпаки, то найраціональнішою буде тезаврація прибутку. Отже, доти, доки Рв > р, з погляду прибутковості власникам доцільно реінвестувати весь чистий прибуток. У такому разі ринковий курс акцій зростатиме. Згідно з класичним підходом алгоритм розрахунку ринкового курсу корпоративних прав має такий вигляд:
де КА — ринковий курс корпоративних прав (акцій); П — чистий прибуток на одну акцію; Д — дивіденди на одну акцію.
Оцінюючи ефективність дивідендної політики, необхідно враховувати, що класична формула (курс акцій прямо пропорційний дивіденду й обернено пропорційний процентній ставці за альтернативними вкладеннями) застосовується на практиці далеко не в усіх випадках.
Отже, залежно від власних стратегічних цілей, акціонерна корпорація може застосовувати наступні види дивідендної політики.















