166598 (625053), страница 5
Текст из файла (страница 5)
2.4 Методика проведения эксперимента
В экспериментальной части курсовой работы была поставлена задача подобрать опытным путем хроматографическую колонку на основе химически модифицированного силикагеля для методики количественного определения эналаприла малеата, а также сравнить эффективность хроматографического разделения в зависимости от используемого сорбента.
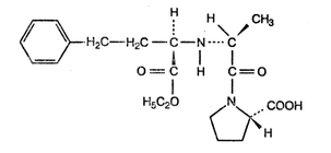
Структурная формула эналаприла приведена на рис. 2.5 [20].
Рисунок 2.5. Структурная формула эналаприла
Субстанция эналаприла малеата представляет собой белый кристаллический порошок, плохо растворимый в воде, растворимый в этаноле и метаноле. Эналаприла малеат является биологически активным веществом, применяемым в качестве лекарственного средства для лечения артериальных гипертензий и застойной сердечной недостаточности, а также в комплексной терапии инфаркта миокарда.
Оборудование:
-
весы аналитические электронные Mettler Toledo AG204;
-
ультразвуковой очиститель Elma T710DH;
-
жидкостной хроматограф Agilent 1100, соединенный с персональным компьютером.
Материалы:
-
колонка размером 4,6х250 мм, заполненная силикагелем цианосилильным для хроматографии [19], с размером частиц 5 мкм Waters RP-CN;
-
колонка размером 4,6х250 мм, заполненная силикагелем цианосилильным для хроматографии [19], с размером частиц 5 мкм Zorbax XDB-CN;
-
колонка размером 4,6х250 мм, заполненная силикагелем октадецилсилильным для хроматографии [19], с размером частиц 5 мкм Waters Symmetry C18;
-
колонка размером 4,6х250 мм, заполненная силикагелем октасилильным для хроматографии [19], с размером частиц 5 мкм Waters Symmetry C8;
-
колонка размером 4,6х250 мм, заполненная силикагелем октасилильным для хроматографии [19], с размером частиц 5 мкм Zorbax SB C8;
-
колонка размером 4,6х250 мм, заполненная силикагелем октадецилсилильным для хроматографии [19], с размером частиц 5 мкм Zorbax SB C18;
-
колонка размером 4,6х150 мм, заполненная циркония оксидом для хроматографии [19], с размером частиц 5 мкм Discovery ZR-РBD;
-
мерная колба вместимостью 25 мл;
-
микропипетка автоматическая 100–250 мкл.
-
Реактивы:
-
ацетонитрил для хроматографии CH3CN [19];
-
вода для хроматографии [19];
-
дикалия гидрофосфат K2HPO4 [19];
-
кислота фосфорная концентрированная H3PO4 [19];
-
субстанция эналаприла малеата C20H28N2O5·C4H4O4.
-
Методика [21]:
Испытуемый раствор. Близко 100 мг (точная навеска) субстанции эналаприла малеата помещают в мерную колбу вместимостью 25 мл, растворяют в 20 мл воды для хроматографии, доводят объем раствора водой для хроматографии до метки и перемешивают. 2,5 мл полученного раствора помещают в мерную колбу вместимостью 50 мл, доводят объем раствора подвижной фазой до метки и перемешивают. Срок годности раствора – 1 сутки.
Буферный раствор. 1,74 г. дикалия гидрофосфата растворяют в 800 мл воды, доводят рН до значения 2,0±0,1 [19] кислотой фосфорной, доводят объем водой для хроматографии до 1000,0 мл и перемешивают.
Хроматографируют 10 мкл раствора сравнения на жидкостном хроматографе с УФ-детектором при таких условиях:
-
подвижная фаза – буферный раствор – ацетонитрил для хроматографии (75:25), дегазированная на ультразвуковом очистителе;
-
скорость подвижной фазы 1,5 мл/мин;
-
детектирование при длине волны 215 нм;
-
температура колонки 60оС.
Хроматографическая система считается пригодной, если:
-
число теоретических тарелок, рассчитанное по пику эналаприла, не менее 6000;
-
коэффициент симметрии пика эналаприла не более 1,7.
2.5 Анализ полученных результатов
В ходе эксперимента для оценки удерживающей способности химически модифицированных силикагелей на примере вещества эналаприла малеата были использованы колонки на основе цианосилильного силикагеля (Waters RP-CN 4,6х250 мм, Zorbax XDB-CN 4,6х250 мм), а также колонки на основе октадецилсилильного (Waters Symmetry C18 4,6х250 мм, Zorbax SB C18 4,6х250 мм) и октасилильного (Waters Symmetry C8 4,6х250 мм, Zorbax SB C8 4,6х250 мм) силикагелей. Апробированные колонки имеют одинаковую геометрию (высоту и длину колонки, размер частиц сорбента), но различаются «привитыми» фазами. Также в конце эксперимента для оценки зависимости удерживающей способности от природы самого сорбента была апробирована колонка на основе оксида циркония (IV). Ввиду дороговизны колонок на основе оксида циркония (IV) использовалась колонка размером 4,6х150 мм (Discovery ZR-РBD 4,6х150 мм).
Полученные данные, приведенные в табл. 2, показывают существенные различия в удерживании эналаприла малеата в зависимости от «привитой фазы».
На силикагелях, модифицированных группами С18 и С8 времена удерживания эналаприла малеата достаточно велики для его полного разделения, однако эффективность колонок не соответствует поставленным требованиям (число теоретических тарелок менее 6000, коэффициент симметрии пика более 1,7).
Времена удерживания в цианосилильной колонке Waters RP-CN 4,6х250 мм, а также в колонке на основе оксида циркония (IV) Discovery ZR-RBD 4,6х150 мм малы и сопоставимы со временем выхода неудерживаемого компонента. Кроме того, эти колонки отличаются наименьшим числом теоретических тарелок, что указывает на низкую эффективность разделения.
Таким образом, для методики количественного определения эналаприла малеата оптимальной хроматографической колонкой, отвечающей поставленным требованиям (п. 2.4), при данных условиях хроматографирования является колонка размером 4,6х250 мм, заполненная силикагелем цианосилильным для хроматографии [19], с размером частиц 5 мкм Zorbax XDB-CN.
Таблица 2. Экспериментальные данные для вещества эналаприла малеата
| Колонка | Время удерживания | Коэффициент симметрии пика | Число теоретических колонок |
| Waters RP-CN 4,6х250 мм, 5 мкм | 3.812 | – | 3504 |
| Zorbax XDB-CN 4,6х250 мм, 5 мкм | 6.228 | 1.518 | 6772 |
| Waters Symmetry C18 4,6х250 мм, 5 мкм | 7.618 | 2.280 | 5254 |
| Waters Symmetry C8 4,6х250 мм, 5 мкм | 9.382 | 2.314 | 6779 |
| Zorbax SB C8 4,6х250 мм, 5 мкм | 8.483 | 1.987 | 5035 |
| Zorbax SB C18 4,6х250 мм, 5 мкм | 7.724 | 2.313 | 4284 |
| Discovery ZR-РBD 4,6х150 мм, 5 мкм | 1.969 | 1.395 | 1343 |
Выводы
В курсовой работе рассмотрены важнейшие области применения силикагеля в промышленности, технике и науке, теоретическое обоснование зависимости адсорбционных свойств силикагеля от способа его получения и дальнейшей обработки, а также применение силикагелей в аналитической высокоэффективной жидкостной хроматографии.
На основании проведенных исследований можно сделать следующие выводы:
-
адсорбционная способность силикагелей зависит от пористости структуры: чем меньше размер частиц силикагеля, тем лучше его адсорбционные свойства;
-
важнейшим преимуществом силикагеля по сравнению с другими пористыми материалами является возможность изменения его структуры в процессе формирования;
-
придание силикагелю специфичности в отношении тех или иных веществ путем химического модифицирования возможно благодаря наличию силанольных и силоксановых групп на его поверхности, что значительно расширяет область его применения;
-
одним из наиболее перспективных применений силикагеля является применение его в колонках для ВЭЖХ в качестве неподвижной фазы, ставшее возможным вследствие получения на основании современных технологий силикагелей с размерами частиц 3.5, 5, 7 или 20 мкм;
-
неподвижные фазы на основе силикагеля могут существенно отличаться друг от друга: способом получения исходного силикагеля; формой частиц; содержанием примесей в силикагеле; размерами и распределением размеров частиц; размерами пор и распределением пор по размерам; заместителями у атома кремния, расположенными у поверхности силикагеля в «прививке»; плотностью «прививки» модификатора; дополнительной обработкой фазы;
-
эффективность хроматографической колонки, а также такие хроматографические параметры, как время удерживания, коэффициент симметрии пика, число теоретических тарелок и высота теоретической тарелки, а, следовательно, и воспроизводимость результатов анализов, определяются свойствами используемых сорбентов;
-
оптимальный выбор хроматографической колонки зависит от химической природы разделяемых веществ и условий хроматографирования.
Решения разнообразных аналитических задач в ВЭЖХ основывается на знании строения сорбентов, их свойств, области их применения и путей оптимизации методик анализа.
Необходимость оптимизации методик возникает при проведении большого количества серийных анализов, например, в лабораториях по контролю качества лекарственных препаратов. Оптимизированная методика разделения позволяет сократить время каждого анализа, а значит сократить расход растворителей и повысить общую производительность жидкостного хроматографа в течение рабочего дня. При этом на хроматограмме должны быть хорошо разрешены не только пики анализируемых веществ, но и пики возможных примесей в них. Для оптимизации методик разделения важнейшим фактором является правильный подбор сорбента.
В экспериментальной части работы опытным путем проведен подбор хроматографической колонки на основе химически модифицированного силикагеля с оптимальными адсорбционными свойствами для количественного определения лекарственного вещества эналаприла малеата методом ВЭЖХ. В качестве наиболее эффективной колонки была выбрана колонка размером 4,6х250 мм, заполненная силикагелем цианосилильным для хроматографии [19], с размером частиц 5 мкм Zorbax XDB-CN.
Список литературы
-
Дубинин М.М. Физико-химические основы сорбционной техники, 2-е изд. ОНТИ, 1935.
-
Алексеевский Е.В. Общий курс химии защиты, ч. I. ОНТИ Химтеорет., Л., 1935.
-
Никитин С.Н. Силикагель и его применение в черной металлургии. Металлургиздат, М., 1941.
-
Неймарк И.Е., Шейнфайн Р.Ю. Силикагель, его получение, свойства и применение. – Киев: Наукова думка, 1973. – 200 с., ил.
-
Фрейдлин Л. X. Успехи химии, 1954, 23, 581.
-
Дзисько В.А. Рациональные основы приготовления некоторых окисных катализаторов. Доклад по опубликованным работам, Новосибирск, 1965.
-
Каталитические свойства веществ. Под редакцией В.А. Ройтера. «Наукова думка», К., 1968.
-
Беркман С., Морелл Д., Эглофф Г. Катализ в неорганической и органической химии, книга вторая. Гостоптехиздат, М. Л., 1949.
-
Окатов А.Б. – ЖПХ, 1929, 2, 21; Коллоидная кремнекислота и ее адсорбционные свойства, Л., Изд-во Военно-технической Академии РККА, 1928.
-
Берестнева З.Я., Корецкая T.A., Kapгин В.А. – Коллоидн. журн., 1949, 11, 369.
-
Берестнева З.Я., Корецкая Г.А., Каргин В.А. – Коллоидн. журн., 1950, 12, 338.
-
Киселев А.В., Яшин Я.И. – В кн.: Газовая хроматография. Изд-во Дзержинского филиала ОКБА, 1966, 131.
-
Основы аналитической химии. В 2 кн. Кн.1. Общие вопросы. Методы разделения: Учебник для вузов/Ю.А. Золотов, Е.Н. Дорохова, В.И. Фадеева и др. Под ред. Ю.А. Золотова. 3-е изд., перераб. и доп. – М.: Высш. шк., 2004. – 361 с.: ил.
-
Цвет М.С. // Труды Варшавского общества естествоиспытателей, отд. биологии, 1903, т. 4, с. 20–32. 2 Snyder L К Kirkland J.J. Introduction to Modern Liquid Chromatography.2-nd edition. J. Wiley, N.Y., 1979. 863 p.
-
Сорбенты для высокоэффективной жидкостной хроматографии ZORBAX™. Руководство для пользователей. – Киев, 2001.
-
Высокоэффективная жидкостная хроматография в биохимии: Пер. с англ.. / Под ред. А. Хеншен и др. – М.: Мир, 1988 688 с., ил.
-
Стыскин Е.Л., Ициксон Л.Б., Брауде Е.В. «Практическая высокоэффективная жидкостная хроматография». – М.: Химия, 1986, 288 с.
-
Киселев А.В., Яшин Я.И. Адсорбционная газовая и жидкостная хроматография. – М.: Химия, 1979, 288 с.
-
Машковский М.Д. Лекарственные средства. 15-е изд., перераб., испр. и доп. – М.: Новая волна, 2006, с. 438–439.
















