166386 (624999), страница 2
Текст из файла (страница 2)
2) длительный эффект последействия;
3) высокая скорость пост-полимеризации.
Механизм радиационной полимеризации ТФЭ еще более сложный, чем механизм полимеризации при химическом инициировании, так как на скорость процесса оказывают влияние продукты радиолиза [1]. При повышении температуры от 70 до 90 °С скорость падает (энергия активации равна 78,5 кДж/моль), что объясняется действием ингибиторов, образующихся в результате радиационно-химических превращений.
Низкомолекулярный ПТФЭ можно получить путем γ-облучения порошка суспензионного или эмульсионного ПТФЭ и последующего его измельчения. Доза излучения 5 Мрад, средний размер частиц после измельчения 1—3 мкм. Этот способ представляет большой интерес для переработки отходов ПТФЭ.
1.1.3 Фотополимеризация
Фотополимеризация ТФЭ представляет интерес в связи с возможностью получения тончайших пленок для электроизоляции деталей микроэлектронных установок. Такие пленки получают при температуре 0—200 °С и давлении 1,33— 101 кПа, а в ряде случаев — менее 0,4 кПа, путем облучения УФ-излучением с длиной волны 180—240 нм. Температура плавления получаемого полимера 330°С.
1.1.4 Суспензионная полимеризация
Полимеризацию тетрафторэтилена обычно осуществляют в водной среде, без применения эмульгаторов. Проведение суспензионной полимеризации в воде позволяет достаточно эффективно отводить выделяющуюся при полимеризации теплоту.
В связи с тем, что вода не участвует в реакциях передачи цепи при радикальной полимеризации виниловых мономеров, осуществление полимеризации в воде позволяет, применяя чистые мономер и другие компоненты, получать ПТФЭ с высокой молекулярной массой (до 107). Поэтому именно этот вид полимеризации тетрафторэтилена будет далее подробно рассмотрен.
В таблице 1.1 приведена норма загрузки компонентов (в массовых частях) [9, 114].
В некоторых случаях для снижения температуры полимеризации вместе с персульфатом аммония используется бисульфит натрия и соли двухвалентного железа.
Таблица 1.1
Норма загрузки реагентов суспензионной полимеризации тетрафторэтилена
| Компонент | масс.ч |
| Тетрафторэтилен | 30 |
| Персульфат аммония | 0,2 |
| Вода дистиллированная | 100 |
Используют тетрафторэтилен, содержащий 0,05–0,4 кг триэтиламина на литр газообразного тетрафторэтилена [8]. Для обеспечения безопасности при полимеризации ТФЭ содержание кислорода должно быть меньше 0,002% (об.).
Суспензионный ПТФЭ из-за высокой вязкости расплава перерабатывается специальными методами, поэтому стремятся получить полимер с максимальной молекулярной массой (больше 107). Такая особенность позволяет в определенных пределах варьировать условия полимеризации (температуру, давление), а не придерживаться строго определенных параметров.
Полимер при суспензионной полимеризации получается в виде рыхлых гранул диаметром от 1 до 6 мм. Гранулы имеют пористость до 80% и из-за несмачиваемости полимера в основном плавают на поверхности воды. Для получения пригодных к переработке порошков гранулы измельчают в воде и сушат. Обычные марки ПТФЭ представляют собой порошки с размером частиц 50—500 мкм, насыпной плотностью 0,2—0,8 г/см3 и удельной поверхностью 2—4 м2/г. Производство электроизоляционной пленки, изготовление тонких листов и получение других прецизионных изделий требуют применения более тонких по дисперсности порошков. Такие порошки позволяют получать изделия с высокими физико-механическими свойствами, малой усадкой, минимальной пористостью, размерной стабильностью и гладкой поверхностью. Они незаменимы для приготовления наполненных композиций ПТФЭ с графитом, стеклом, коксом и другими наполнителями. Порошки с размером частиц 10—50 мкм получают измельчением обычного порошка на струйных мельницах. Удельная поверхность таких порошков доходит до 5 м2/г.
Указанные марки ПТФЭ представляют собой легко комкующиеся порошки, они не обладают сыпучестью и не могут быть использованы для автоматических методов переработки. Для придания сыпучести порошкам ПТФЭ разработаны различные способы гранулирования. Гранулы можно получить при интенсивном механическом перемешивании порошка в воде, в галогенсодержащих органических средах (С2С14, СНС13, ССl4 и др.) или в эмульсии воды с органическими жидкостями (бензин, гексан, октан и др.). Гранулирование осуществляется и при сухом перемешивании. Известны способы получения порошка с хорошей сыпучестью путем добавления трифтортрихлорэтана в воду при полимеризации ТФЭ. Сыпучие марки ПТФЭ могут быть получены как из чистого политетрафторэтилена, так и из его композиций [1].
Органические растворители при получении высокомолекулярного ПТФЭ, как правило, не используются, так как, во-первых, они имеют высокую стоимость, а во-вторых, в их присутствии снижается молекулярная масса ПТФЭ из-за развития реакции передачи цепи на растворитель.
1.2 Кинетическая модель и механизм полимеризации
Изучение кинетики и механизма суспензионной полимеризации тетрафторэтилена в воде представляет собой очень сложную задачу. Независимо от условий полимеризации уже на начальной стадии роста макрорадикала образуется твердая фаза полимера, и на протяжении всего процесса полимеризация носит ярко выраженный гетерогенный характер.
Инициирование полимеризации осуществляется в водном растворе, где в результате взаимодействия радикалов инициатора с растворенным тетрафторэтиленом начинается рост молекулы полимера. Далее происходит агрегация молекул с образованием нерастворимых частиц полимера, которые в дальнейшем и становятся центрами полимеризации. Образующиеся частицы имеют рыхлую структуру и из-за несмачиваемости политетрафторэтилена водой всплывают на поверхность. Их поры заполнены мономером, и полимеризация в дальнейшем протекает непосредственно в газовой фазе с резко возрастающей скоростью. Первая гомогенная стадия полимеризации непродолжительная и длится секунды или доли секунды.
При использовании в качестве инициатора персульфата аммония механизм этой реакции можно представить в виде следующих стадий:
-
Образование из исходного персульфата радикалов, инициирующих полимеризацию:
-
Инициирование:
-
Рост цепи:
-
Обрыв цепи, который возможен по двум направлениям:
а) Столкновение растущего макрорадикала с радикалом инициатора:
б) Рекомбинация двух макрорадикалов:
Высокая прочность связи
в политетрафторэтилене (около 460,5 кДж/моль) и еще более высокая прочность этой связи в тетрафторэтилене (485,7 кДж/моль), а также высокая чистота применяемых при полимеризации мономера и среды, позволяют почти полностью исключить как передачу цепи, так и обрыв цепи за счет диспропорционирования.
В связи с нерастворимостью ПТФЭ и растущих макрорадикалов в воде, обрыв цепи в результате рекомбинации радикалов также мало вероятен, но, в принципе, возможен.
Таким образом, при минимальном количестве инициатора можно получать полимер с рекордно большой молекулярной массой (107 и более).
Скорость полимеризации убывает в следующем ряду фторолефинов:
CF2=CF2 > CF2=CHF > CF2=CH2 > CFH=CH2 > CF2=CFC1 > СF3СF=СF2
Очень высокую скорость полимеризации ТФЭ объясняют сильным уменьшением электронной плотности π-связи вследствие наличия в ТФЭ четырех расположенных симметрично отрицательных атомов фтора.
Наиболее детально изучена кинетика полимеризации ТФЭ в воде при давлении ниже атмосферного. Определены константы элементарных актов роста и обрыва цепи, а также выведено уравнение для общей скорости полимеризации под действием персульфата аммония при 40—70 °С и давлении до 101 кПа (760 мм рт. ст.).
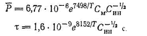
Зависимость скорости от продолжительности полимеризации характеризуется небольшим нестационарным участком, после чего она остается постоянной до значительной степени превращения мономера. На стационарном участке во всем изученном интервале температур сохраняется линейная зависимость скорости от концентрации ТФЭ. Зависимость скорости полимеризации от концентрации инициатора носит сложный характер (рис. 1). При невысокой концентрации инициатора (до максимума на кривых) наблюдается линейная зависимость v от Син. Для этих концентраций инициатора получены выражения для общей скорости полимеризации и констант роста и обрыва цепи, в л/(моль·с):
Рассчитаны средняя степень полимеризации и время жизни макрорадикалов:
Предложена также модель гетерогенной полимеризации, основанной на предположении, что обрыв цепи осуществляется за счет рекомбинации радикалов, активные концы которых сближаются за счет присоединения звеньев мономера. В режиме пост-полимеризации кинетика может быть описана с помощью одной константы роста цепи. Однако экспериментальную проверку выведенных уравнений нельзя считать завершенной, поскольку полученные значения константы роста цепи имеют большой разброс. Энергия активации роста цепи при гетерогенной полимеризации ТФЭ близка к 37— 12 кДж/моль (9—3 ккал/моль).
Полимеризация ТФЭ в воде при давлении 0,1 МПа (10 кгс/см2) и выше под действием персульфата аммония изучена недостаточно.
Рис.1. Зависимость скорости полимеризации ТФЭ от концентрации инициатора
1 – 60 °С, См = 4·10-4 моль/л;
2 – 40 °С, См = 4·10-4 моль/л;
3 – 60 °С, См = 2·10-4 моль/л;
Найдено, что в области низких концентраций инициатора (около 2·10-3 моль/л) порядок реакции по мономеру равен 3, а при высоких — изменяется от 1 до 3.
Общее кинетическое уравнения для выражения скорости реакции полимеризации ТФЭ имеет вид:
где
- концентрация мономера;
- концентрация макрорадикалов;
В случае стационарного течения полимеризации:
- скорость роста полимерной цепи.
В случае стационарного течения полимеризации:
или















