164174 (624656), страница 3
Текст из файла (страница 3)
R=1.3-0.9=0.4 млн. руб.
Далее находим число групп в группировке по формуле Стерджесса:
n=1+3.322lnN, где N – это число единиц совокупности (в нашем случае N=30):
n=1+3.322ln30=1+3.322*1.477=5 групп
Затем определяем величину интервала: i=R/n:
i=0.4/5=0.08 млн. руб.
Определим интервалы и число групп в них:
| 0.9 – 0.98 | 3 |
| 0.98 – 1.06 | 7 |
| 1.06 – 1.14 | 11 |
| 1.14 – 1.22 | 5 |
| 1.22 – и более | 4 |
1.4. Построим интервальный ряд распределения предприятий по эффективности использования основных производственных фондов (таблица 1).
Таблица 1. Группировка предприятий по эффективности использования основных производственных фондов.
| Группы предприятий по эффективности использования основных производственных фондов, млн. руб. | Число предприятий в группе |
| 0.9 – 0.98 | 3 |
| 0.98 – 1.06 | 7 |
| 1.06 – 1.14 | 11 |
| 1.14 – 1.22 | 5 |
| 1.22 – и более | 4 |
Интервальный ряд распределения показал, что наибольшее количество предприятий имеют эффективность использования основных производственных фондов от 1.06 до 1.14 млн. руб.
2. Постройте графики полученного ряда распределения. Графически определите значения моды и медианы. По данным таблицы 1 строим гистограмму распределения предприятий по эффективности использования основных производственных фондов (рис.1).
Рис. 1. Гистограмма распределения предприятий по эффективности использования основных производственных фондов.
Далее, соединяя середины верхних оснований столбцов, получаем полигон распределения.
Теперь графически необходимо определить значения моды и медианы. Мода – это наиболее часто встречающаяся варианта совокупности. На графике она будет выглядеть так (рис.2.):
Рис. 2. Мода
Медиана – это варианта, делящая ряд пополам. Для её графического изображения построим кумуляту и рассчитаем кумулятивно – накопленные частоты в таблице. (таблица 2)
Таблица 2. Кумулятивно - накопленные частоты использования основных производственных фондов.
| Группы предприятий по эффективности использования основных производственных фондов, млн. руб. | Число предприятий в группе | Кумулятивно – накопленные частоты |
| 0.9 – 0.98 | 3 | 3 |
| 0.98 – 1.06 | 7 | 10 |
| 1.06 – 1.14 | 11 | 21 |
| 1.14 – 1.22 | 5 | 26 |
| 1.22 – и более | 4 | 30 |
Рис.3. Кумулятор распределения предприятий по эффективности использования основных производственных фондов
Модальным будет являться третий интервал, так как его кумулятивная частота равна 21 (3+7+11), что превышает половину суммы всех частот (30/2=15). (Рис. 3.)
Вывод: медиана = 1.07 млн. руб. показывает, что половина предприятий имеет эффективность использования основных производственных фондов 1.07 млн. руб. Мода показывает, что наибольшее часто встречаются в совокупности предприятия с эффективностью использования основных производственных фондов 1.09-1.14 млн. руб.
3. Рассчитайте характеристики интервального ряда распределения: среднюю арифметическую, среднее квадратическое отклонение, коэффициент вариации.
По данным интервального ряда составим расчетную таблицу 3.
Таблица 3. Расчётная таблица
| Группы предприятий по эффективности использования основных производственных фондов, млн. руб. | Число предприятий в группе | Середина интервала Xi |
|
|
| 0.9 – 0.98 | 3 | 0.94 | 0.0256 | 0.0768 |
| 0.98 – 1.06 | 7 | 1.02 | 0.0064 | 0.0448 |
| 1.06 – 1.14 | 11 | 1.1 | 0 | 0 |
| 1.14 – 1.22 | 5 | 1.18 | 0.0256 | 0.032 |
| 1.22 – и более | 4 | 1.26 | 0.0064 | 0.1024 |
3. 1. Находим середины интервалов Xi:
1) (0.9+0.98)/2=0.94; 2) (1.06+1.14)/2=1.1; 4) (1.14+1.22)/2=1.18; 5
)(1.22+1.3)/2=1.26
3. 2. Так как у нас имеются сгруппированные данные, представленные в виде интервального ряда распределения, то для нахождения средней арифметической и среднего квадратического отклонения будем использовать формулы для взвешенной средней:
где ∑fi – это общая численность единиц совокупности; ∑Xi * fi – это сумма произведений величины признаков на их частоты.
С
ледовательно,
Xар. взв. =(0.94*3+1.02*7+1.1*11+1.18*5+1.26*4)/30=1.1млн. руб.
Д
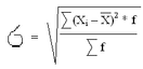
ля вычисления среднего квадратического отклонения необходимо вычислить некоторые составляющие формулы: (Xi – X)2 и (Xi – X)2 * f. (таблица 3).
1) (0.94-1.1)2 = 0.0256; 2) (1.02-1.1)2 = 0.0064; 3) (1.1-1.1)2 = 0; 4) (1.18-1.1)2 = 0.0064; 5) (1.16-1.1)2 = 0.0256.
1) 0.0256*3 = 0.0768; 2) 0.0064*7 = 0.0448; 3) 0*11 = 0;4) 0.0064*5 = 0.032; 5) 0.0256*4 = 0.1024.
Подставляем найденные значения в исходную формулу среднего квадратического отклонения, получаем:
Теперь найдём коэффициент вариации:
Вывод: среднее значение эффективности использования основных производственных фондов предприятий в интервальном ряду по выборочной совокупности составляет 1.1 млн. руб. Значение эффективности использования основных производственных фондов отклоняется в среднем от этой средней величины на
0.094 млн. руб. Таким образом, среднее значение эффективности использования основных производственных фондов является типичным для данной совокупности предприятий, а сама совокупность – однородной по данному показателю, так как V < 33%.
4. Вычислите среднюю арифметическую по исходным данным, сравните её с аналогичным показателем, рассчитанным в пункте 3 для интервального ряда распределения. Объясните причину их расхождения.
где n – это число единиц совокупности, ∑X – сумма значений вариант.
Значение данной величины < значения средней арифметической взвешенной. Такие результаты в расчётах возможны в случае, если в интервальном ряду при расчёте средней взвешенной значение середины интервала Xi не совпадает с равномерным распределением этого интервального признака внутри группы, поэтому возникает расхождение.
Задание 2
По исходным данным:
1. Установите наличие и характер связи между признаками – выпуск продукции и эффективность использования основных производственных фондов, образовав пять групп с равными интервалами по обоим признакам, методами:
а) аналитической группировки,
б) корреляционной таблицы.
а) а.1. Построим аналитическую группировку по признаку - эффективность использования основных производственных фондов, (таблица 4)
Таблица 4. Аналитическая группировка по признаку - эффективность использования основных производственных фондов.
| Группы предприятий по эффективности использования основных производственных фондов, млн. руб. | Число предприятий в группе | Эффективность использования основных производственных фондов, млн. руб. | Выпуск продукции, млн. руб. | |||
| всего | в среднем в группе | всего | в среднем в группе | |||
| 0.9 - 0.98 | 3 | 2.8 | 2.8/3=0.933 | 56 | 56/3=18.667 | |
| 0.98 - 1.06 | 7 | 7.11 | 7.11/7=1.016 | 225.083 | 225.083/7=32.155 | |
| 1.06 - 1.14 | 11 | 11.99 | 11.99/11=1.09 | 474.945 | 474.945/11=43.177 | |
| 1.14 - 1.22 | 5 | 5.85 | 5.85/5=1.17 | 280.672 | 280.672/5=56.134 | |
| 1.22 - 1.3 | 4 | 5.06 | 5.06/4=1.265 | 283.84 | 283.84/4=70.96 | |
| Итого: | 30 | 32.81 | 5.474 | 1320.54 | 221.093 | |
а.2. Построим аналитическую группировку по признаку - выпуск продукции, (таблица 5):
1. ранжируем ряд распределения предприятий по признаку – выпуск продукции по возрастанию.
| № предприятия | Выпуск продукции | Ранг | № предприятия | Выпуск продукции | Ранг |
| 1 | 36.45 | 10 | 16 | 36.936 | 11 |
| 2 | 23.4 | 3 | 17 | 53.392 | 22 |
| 3 | 46.540 | 19 | 18 | 41.0 | 14 |
| 4 | 59.752 | 26 | 19 | 55.680 | 24 |
| 5 | 41.415 | 15 | 20 | 18.2 | 2 |
| 6 | 26.86 | 4 | 21 | 31.8 | 7 |
| 7 | 79.2 | 30 | 22 | 39.204 | 12 |
| 8 | 54.720 | 23 | 23 | 57.128 | 25 |
| 9 | 40.424 | 13 | 24 | 28.44 | 5 |
| 10 | 30.21 | 6 | 25 | 43.344 | 18 |
| 11 | 42.418 | 17 | 26 | 70.720 | 29 |
| 12 | 64.575 | 27 | 27 | 41.832 | 16 |
| 13 | 51.612 | 21 | 28 | 69.345 | 28 |
| 14 | 35.42 | 8 | 29 | 35.903 | 9 |
| 15 | 14.4 | 1 | 30 | 50.220 | 20 |
2. Находим R=Xmax-Xmin =79.2-14.4=64.8 млн. руб.; n=1+3.322lnN= 1+3.322ln30=1+3.322*1.477=5 групп; i=R/n=64.8/5=12.96 млн. руб.
Определим интервалы и число групп в них:
| 14.4 – 27.36 | 4 |
| 27.36 – 40.32 | 8 |
| 40.32 – 53.28 | 9 |
| 53.28 – 66.24 | 6 |
| 66.24 – и более | 3 |
Таблица 5. Аналитическая группировка по признаку - выпуск продукции.
| Группы предприятий по выпуску продукции, млн. руб. | Число предприятий в группе | Выпуск продукции, млн. руб. | Эффективность использования основных производственных фондов, млн. руб. | ||
| всего | в среднем в группе | всего | в среднем в группе | ||
| 14.4 - 27.36 | 4 | 82.86 | 82.86/4=20.715 | 3.78 | 3.78/4=0.945 |
| 27.36 - 40.32 | 8 | 274.363 | 274.363/8=34.295 | 8.25 | 8.25/8=1.031 |
| 40.32 - 53.28 | 9 | 398.805 | 398.805/9=44.312 | 9.87 | 9.87/9=1.097 |
| 53.28 - 66.24 | 6 | 345.247 | 345.247/6=57.541 | 7.08 | 7.08/6=1.18 |
| 66.24 - и более | 3 | 219.265 | 219.265/3=73.088 | 3.83 | 3.83/3=1.277 |
| Итого: | 30 | 1320.54 | 229.951 | 32.81 | 5.53 |
В аналитической группировке с ростом эффективности использования основных производственных фондов наблюдается увеличение выпуска продукции, то есть между двумя признаками существует прямая связь. И, наоборот, с ростом выпуска продукции увеличивается эффективность использования основных производственных фондов.














