162178 (623784), страница 3
Текст из файла (страница 3)
[5]
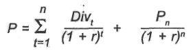
где Р - цена акции,
Divt-дивиденд, который будет выплачен в периоде t,
r - ставка дисконтирования (доходность), которая соответствует уровню риска инвестирования в акции данного акционерного общества,
Рn - цена акции в конце периода n, когда инвестор планирует продать ее.
Б
олее удобно определять курсовую стоимость акции по следующей формуле:
[5]
где Div1 - дивиденд будущего года;
g - темп прироста дивиденда.
Например, Div, = 210 на акцию, g = 5%, r = 25%. Требуется определить курсовую стоимость акции. Согласно формуле она равна:
[5]
Доходность операции с акцией, если покупка и продажа акции происходят в рамках одного года, можно определить по формуле:
где r - число дней с момента покупки до продажи акции,
Ps - цена продажи акции. Если за прошедший период времени дивиденд на акцию не выплачивался, то он исключается из формулы.
Облигация - это срочная долговая ценная бумага, которая удостоверяет отношение займа между ее владельцем и эмитентом. Облигации могут выпускать государство в лице общегосударственных и местных органов власти, акционерные общества, частные предприятия. Наиболее важное отличие облигации от акции состоит в том, что она представляет собой долговое обязательство эмитента, т.е. предоставленный ему кредит, оформленный в виде ценной бумаги. Все платежи по облигации эмитент должен осуществлять в первую очередь по сравнению с акциями и в обязательном порядке. Платежи обеспечиваются имуществом эмитента.
Облигация является срочной бумагой, т.е. эмитируется на определенный период времени, и по его истечении должна выкупаться. Как правило, эмитент выкупает ее по номиналу. Облигации могут выпускаться с условием досрочного отзыва или погашения.
Минимальный срок, на который может выпускаться облигация, не ограничен. В отношении государственных ценных бумаг предусматривается, что они не могут выпускаться на срок более 30 лет. По времени обращения они подразделяются на краткосрочные (до 1 года), среднесрочные (от 1 года до 5 лет) и долгосрочные (от 5 до 30 лет).
Облигации могут быть именными и на предъявителя.
Существуют различные виды облигаций. Классическая облигация представляет собой ценную бумагу, по которой выплачивается фиксированный доход. Доход по облигации называют процентом, или купоном. Саму облигацию именуют купонной, или твердопроцентной бумагой. Поскольку для рыночной экономики характерна инфляция, то твердопроцентная бумага не всегда отвечает интересам инвесторов. Поэтому появились облигации с плавающим (переменным) купоном. Величина купона у них меняется в зависимости от изменения показателя, к которому "привязан" купон. Например, это может быть индекс потребительских цен, поскольку он отражает уровень инфляции, или индекс цен какого-либо товара и т.п.
В условиях инфляции обесценению подвергается и номинал бумаги. Поэтому существуют индексируемые облигации. У них плавающим является не только купон, но и номинал.
Существуют облигации бескупонные. В качестве синонимов используются термины "облигация с нулевым купоном" или "чистая дисконтная облигация". Бескупонная облигация - это ценная бумага, которая не имеет купонов. Доход инвестора возникает за счет разницы между ценой погашения облигации (номиналом) и ценой ее приобретения.
Следующий вид облигации - это конвертируемая облигация. В соответствии с условиями эмиссии ее можно обменять на акции или другие облигации. Чаще всего, это обыкновенные акции АО, выпустившего облигации. Смысл приобретения конвертируемой в обыкновенные акции облигации состоит в том, чтобы, с одной стороны, гарантировать получение дохода, приносимого облигацией в случае не очень успешной работы АО, а, с другой стороны, сохранить возможность увеличить доход, конвертировав облигацию в акцию, если по ней стали выплачиваться высокие дивиденды.
Облигация имеет номинал. Как общее правило, при погашении бумаги инвестору выплачивается сумма, равная номиналу.
Если облигация не является бескупонной, то доход по ней задается в виде купона. Купон представляет собой определенный процент. Например, номинал облигации 1 млн., купон 20%. Чтобы узнать величину купона в деньгах, необходимо купонный процент умножить на номинал. Так, например, 20% от номинала составит величину купона, равную 200 тыс.
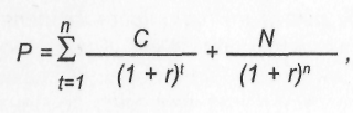
Как общее правило, значение купона объявляется в расчете на год, однако выплачиваться он может и чаще - раз в полгода, квартал. Если в нашем примере купон составляет 200 тыс. за год, то в случае его выплаты два раза в год инвестор будет получать по 100 тыс. каждые полгода; если купон выплачивается ежеквартально, то сумма каждого платежа составит 50 тыс. Курсовая стоимость купонной облигации определяется по формуле
[5]
где Р - цена облигации,
С - купон,
N - номинал,
n - число лет до погашения облигации,
r - доходность до погашения облигации.
Например, N = 1 млн., купон - 20%, доходность до погашения - 15%, до погашения остается три года. Тогда цена облигации равна:
[5]
Ориентировочная доходность купонной облигации определяется по формуле:
[5]
где r - доходность до погашения,
N - номинал облигации,
Р - цена облигации,
n - число лет до погашения, С - купон.
Например, N = 1000 руб., Р = 850, n - 4 года, купон равен 15%.
Тогда доходность облигации составит:
[5]
В зависимости от ситуации на рынке купонная облигация может продаваться по цене как ниже, так и выше номинала. Разность между номиналом облигации и ценой, если она ниже номинала, называется скидкой (дисконтом), или дезажио. Например, номинал облигации 1 млн. руб., цена 960 тыс. В этом случае скидка равна 40 тыс.
Разность между ценой облигации, если она выше номинала, и номиналом называется премией, или ажио. Например, цена облигации 1020 тыс., тогда премия равна 20 тыс.
Котировки облигации принято давать в процентах. При этом номинал бумаги принимается за 100%. Чтобы узнать по котировке стоимость облигации в рублях, следует умножить котировку в процентах на номинал облигации. Например, номинал облигации равен 1 тыс., цена - 96%. Это означает, что она стоит 960. [4]
Изменение цены облигации измеряют в пунктах. Один пункт равен 1%. Например, цена бумаги увеличилась с 90% до 95%. Это означает, что она выросла на 5 пунктов.
Доход по облигации с нулевым купоном представляет собой разницу между номиналом и ценой приобретения бумаги. Доход по купонной облигации - это чаще всего сумма двух слагаемых: купонных платежей и величины скидки, или купонных платежей, и величины премии. В последнем случае премия уменьшает доход инвестора. Например, вкладчик купил облигацию с погашением через год номиналом 1 млн. руб. и купоном 20% за 960 тыс. В конце года ему выплатят 200 тыс. по купону. Так как облигация погашается по номиналу, то он выигрывает еще 40 тыс. за счет разности между номиналом и уплаченной ценой. Таким образом, его доход составит 240 тыс. [4]
Предположим, что в нашем примере инвестор купил облигацию не со скидкой, а с премией в 20 тыс. т.е. по цене 1020 тыс. Поскольку в конце года облигация погашается по номиналу, то он теряет сумму премии и его доход с учетом выплаты по купону составит: 200 тыс. - 20 тыс. = 180 тыс. В зависимости от состояния рынка цена купонной облигации может быть выше или ниже номинала. Однако к моменту ее погашения она обязательно должна равняться номиналу, так как бумага погашается по номиналу. [4]
Современный отечественный рынок облигаций - это, главным образом, рынок государственных облигаций. Государственные облигации можно разделить на облигации рыночных и нерыночных займов. Облигации рыночных займов свободно обращаются на вторичном рынке. Облигации нерыночных займов не могут обращаться на вторичном рынке.
Еврооблигация - это облигация, выпущенная эмитентом в валюте другой страны. Чаще всего облигации выпускаются в долларах США эмитентами не из США. Данный рынок возник для того, чтобы обойти законодательные препятствия страны, в валюте которой выпущена бумага. Мировая облигация - это облигация, которая одновременно выпускается в нескольких странах. Эмиссия такой бумаги требует взаимодействия между клиринговыми системами данных стран, чтобы облигация легко могла пересекать границы.
Вексель - это долговое обязательство, которое дает его владельцу безусловное право требовать уплаты обозначенной в нем суммы денег от лица, обязанного по векселю. В первую очередь, вексель - это инструмент кредита, его также можно использовать в качестве расчетного средства. С помощью данного документа могут оплачиваться поставки товаров, предоставление услуг (коммерческий кредит), оформляться денежные обязательства. Векселя, которые возникают вследствие предоставления коммерческого кредита, называются коммерческими. Векселя, оформляющие денежные обязательства называются финансовыми.
Коммерческий вексель возникает в связи с тем, что у покупателя продукции в момент поставки ее продавцом отсутствуют необходимые денежные средства, и поэтому сделка оформляется с помощью векселя. Покупатель выписывает продавцу вексель, в соответствии с которым он берет на себя обязательство уплатить ему определенную сумму денег по истечении определенного периода времени. Такая операция фактически является кредитованием покупателя, так как ему предоставляется отсрочка платежа. В связи с этим в вексельной сумме находит отражение процент за предоставленный кредит. Для покупателя вексель удобен тем, что он позволяет отодвинуть сроки платежа. Привлекательность векселя для продавца состоит в том, что он может сразу получить определенную сумму денег с помощью учета (продажи) его у другого лица, обычно банка. Банк предъявит вексель к погашению покупателю при наступлении срока платежа. Какую часть вексельной суммы получит продавец при учете векселя и пожелает ли банк учесть вексель, зависит от кредитного рейтинга векселедателя.
Банковский сертификат - это ценная бумага, которая свидетельствует о размещении денег в банке, и удостоверяет право инвестора (бенефициара) на получение суммы номинала бумаги и начисленных по ней процентов. Различают сберегательный и депозитный сертификаты. Депозитный сертификат - это ценная бумага, предназначенная для юридических лиц. Сберегательный сертификат - это ценная бумага, предназначенная для физических лиц.
2. Технический и фундаментальный анализ фондового рынка
Одним из подходов к принятию решений на фондовом рынке является технический анализ. Он возник в еще в XIX веке. В тот период инвесторам практически была недоступна информация о результатах развития отраслей промышленности, отчеты о финансовом состоянии предприятий и т.п. Поэтому объектом изучения, на основе которого можно было строить прогнозы, являлось положение на самом рынке.
Технический анализ занимается изучением состояния фондового рынка. В его основе лежит теоретическое положение о том, что все внешние силы, влияющие на рынок, в конечном итоге проявляются в двух показателях - объемах торговли и уровне цен финансовых активов. Поэтому аналитик, занимающийся техническим анализом, не принимает во внимание воздействующие на рынок внешние силы, а изучает динамику его показателей. Другая теоретическая посылка состоит в том, что прошлые состояния рынка периодически повторяются. В связи с этим задача инвестора состоит в том, чтобы на основе изучения прошлой динамики рынка определить, какой она будет в следующий момент. Конъюнктура рынка зависит от взаимодействия спроса и предложения. Технический анализ призван определить моменты их несоответствия, чтобы ответить на вопрос, когда следует купить или продать ценную бумагу. Технический аналитик обычно пытается предсказать краткосрочные движения рынка.
Фундаментальный анализ - это анализ факторов, влияющих на стоимость ценной бумаги. Он призван ответить на вопрос, какую ценную бумагу следует купить или продать, а рассмотренный выше технический анализ - когда это следует сделать. В идеале фундаментальный анализ предполагает рассмотрение всех значимых экономических, политических и иных факторов, которые могут повлиять на курсовую стоимость ценной бумаги.
















