160671 (623193), страница 4
Текст из файла (страница 4)
– річна ставка інфляції (у вигляді десяткового дробу);
– кількість років;
– коефіцієнт коригування майбутніх сум грошових
потоків.
Необхідність приведення також і сум інвестованого у майбутньому капіталу до теперішньої вартості пояснюється тим, що у більшості випадків інвестування здійснюється не одно-моментно, а протягом певного періоду (кількох років). Тому всі наступні після першого року інвестовані суми треба також приводити до їхньої теперішньої вартості за допомогою відповідних дисконтних ставок. Це необхідно для можливості порівняння величин вкладень капіталу з грошовими потоками, які інвестор отримає у майбутньому.
5. Диференційований вибір дисконтної ставки.
Ставки для дисконтування грошових потоків від реалізації різних проектів добираються диференційовано, з урахуванням таких факторів, як очікуваний темп інфляції, премії за ризик та ймовірність низького рівня платоспроможності, тривалість періоду інвестування тощо.
Виходячи з наведених принципів, обчислюють основні визначальні характеристики інвестиційних проектів. До таких характеристик належать: теперішня вартість, індекс прибутковості, термін окупності, внутрішня ставка дохідності.
Чиста теперішня вартість характеризує загальну абсолютну величину ефекту від реалізації інвестицій. Вона обчислюється як різниця між теперішньою вартістю майбутніх грошових потоків, отриманих протягом періоду експлуатації об'єкта інвестування, та сумою початкових інвестицій:
ЧТВ = ТВ-ПІ, (2.7)
де ЧТВ – чиста теперішня вартість проекту, грн.; ТВ – теперішня вартість грошового потоку, грн.; ПІ – початкові інвестиції, грн.
Якщо чиста теперішня вартість проекту перевищує нуль, то проект має бути схвалений як прибутковий, якщо ж вона має від'ємне значення або дорівнює нулю – проект слід відхилити, оскільки його реалізація завдасть збитків або не принесе підприємству додаткового доходу на вкладений капітал.
Інша характеристика інвестиційного проекту – індекс прибутковості – у цілому є дуже близькою до показника чистої теперішньої вартості. Індекс прибутковості порівнює теперішню вартість майбутніх грошових потоків з початковими інвестиціями:
(2.8)
Проект, який має індекс прибутковості, більший за одиницю, схвалюється як прибутковий, а менший від одиниці – відхиляється.
Показник період окупності інвестицій дає змогу визначити кількість років, за які будуть відшкодовані початкові інвестиції. Період окупності визначається як відношення початкових інвестицій до середньорічної величини дисконтованих грошових потоків:
де
– період окупності, роки; П І – початкові інвестиції, грн.;
– середньорічна величина дисконтованих грошових потоків, грн.
Середньорічну величину дисконтованих грошових потоків можна визначити так:
де ТВ – теперішня вартість проекту, грн.;
Т – кількість років експлуатації об'єкта інвестування, протягом яких очікується надходження грошових потоків.
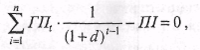
Внутрішня ставка доходу характеризує рівень прибутковості здійснених інвестицій. Внутрішня ставка доходу дорівнює дисконтній ставці, за якої чиста теперішня вартість проекту дорівнює нулю. Це може бути записано так:
де
– грошові потоки за t-й рік, гри.;
d – дисконтна ставка (внутрішня ставка доходу) (у вигляді десяткового дробу); t – період, роки; П І – початкові інвестиції, грн.
Для схвалення рішення про прийнятність проекту внутрішню ставку доходу порівнюють з необхідною ставкою дохідності діяльності підприємства, яку визначають, виходячи з вартості залучення капіталу та ступеня ризику проекту. Якщо значення внутрішньої ставки доходу буде вищим за необхідну ставку, то проект схвалюють як прибутковий.
3. Ефективність залучення інвестицій в україну: інноваційно-інвестиційні системи
Центр економічних досліджень Японії опублікував прогноз розвитку світової економіки на період до 2010 року. За його даними, суттєво збільшиться обсяг прямих інвестицій у світову економіку (з $184 млрд. до $15 трлн.), однак внаслідок глобалізації і тенденції до об'єднання капіталу кількість світових інвесторів буде обмеженою.
Незважаючи на те, що для більшості вітчизняних підприємств основним джерелом інвестицій є їх власні кошти, Україна може взяти участь у змаганнях за залучення світового інвестиційного капіталу.
За умов глобалізації та розвитку відкритої економіки світовий капітал втрачає національні ознаки і цілком може мати українське походження. Завданням на сьогодні є зацікавити будь-який капіталі у подальшому розвитку саме в Україні. Тому оцінка методів заохочення і розробка інструментів утілення стратегічних задумів є пріоритетним напрямом розвитку економічної теорії та практики.
З 2004 року очікується щорічний приріст прямих іноземних інвестицій в Україну на рівні $1,3–1,5 млрд., забезпечення зростання інвестиційної складової імпорту, збереження високих темпів приросту обсягів експорту товарів та послуг на рівні 10–12%.
Відомо, що, незважаючи на ефективність прямих іноземних інвестицій у промисловість України (промислові підприємства з іноземними інвестиціями працюють ефективніше, ніж у цілому підприємства галузі), іноземний капітал не зацікавлений у розвиткові підприємств із високою наукоємністю і не бажає надавати Україні справді сучасні високі технології.
Нині, коли наша держава формує власну інноваційну політику, постають питання формування інноваційної та інвестиційної привабливості вітчизняної економіки і створення умов, які змусять працювати іноземний капітал в інтересах України.
В Україні є кваліфікована, освічена робоча сила, спроможна виконувати складні наукоємні роботи. Водночас виробничі ресурси зношені на 50%. Але курс держави на впровадження інноваційної політики стимулює розвиток інноваційних систем і технологій. Наявні природні ресурси вимагають оцінки і розробки нових інноваційних програм їх використання.
Таким чином, основними факторами економічного зростання України повинні бути визнані робоча сила і використання наявних природних і техногенних ресурсів.
Аналітичні дослідження підтверджують переважання інвестицій в Україну відповідно до форми власності підприємств – об'єктів інвестування, доходять висновку про домінування в Україні такої форми залучення іноземного капіталу, як спільні підприємства. Але жодного дослідження не проведено з метою систематизації стратегічних засад визначення іноземним інвестором привабливості об'єкта інвестування.
Метою нашої роботи є визначення послідовності кроків інвесторів при прийнятті рішень і на основі цього формування переліку заходів, спрямованих на поєднання інтересів України і світового капіталу.
У роботі використано такі методи попередньої обробки даних, як визначення початкової ситуації, вибір основних вхідних факторів, оцінка і систематизація вихідних параметрів. Застосування методів статистичного аналізу дозволило провести групування даних і оцінити їх кореляцію.
У 2003–2004 роках іноземні інвестори активізували свою діяльність: приріст іноземного капіталу у 2003 році становив $1,2 млрд., або 21,7% від початку року.
У першому кварталі 2004 року прямі іноземні інвестиції в Україні сягнули $282,3 млн. Сумарний їх обсяг на 1 квітня 2004 року становив $6946,5 млн., або $146 на одного мешканця.
Аналіз інвестиційних потоків України, за даними Держкомстату (таблиці 3.1 і 3.2), дозволяє зробити висновки про перерозподіл коштів, інвестованих в Україну, на користь третіх держав.
Таблиця 3.1. Прямі інвестиції зарубіжних країн в економіку України за перше півріччя 2004 року
| Держава | Обсяг інвестицій, тис. $ | |
| на OLOJ.04 | на 01.07.04 | |
| США | 1074174,66 | 1085859,37 |
| Кіпр | 886054,00 | 1077032,72 |
| Великобританія | 698680,12 | 741251,84 |
| Німеччина | 441404,27 | 535626,47 |
| Нідерланди | 459206,21 | 508678,08 |
| Росія | 385922,87 | 410583,77 |
| Віргінські острови (Великобританія) | 367396,20 | 363120,69 |
| Швейцарія | 318548,90 | 342526,23 |
Таблиця 3.2. Прямі інвестиції з України за перше півріччя 2004 року
| Обсяг інвестицій, тис. $ | ||
| на 01.01.04 | На 0 1.07.04 | |
| Росія | 87392,48 | 88573,45 |
| Панама | 18949,00 | 18949,00 |
| В'єтнам | 15824,41 | 15875,69 |
| Іспанія | 13834,85 | 13834,85 |
| США | 5400,49 | 5700,49 |
| Гонконг | 5400.00 | 5400,00 |
| Швейцарія | 4241,45 | 4221,00 |
| Грузія | 2242,22 | 2187,70 |
| Кіпр | 1889,99 | 1889,99 |
| Греція | 1569,80 | 1569,80 |
| Естонія | 1100,00 | 1100,00 |
Так, інвестований США $1 млрд. повернувся інвесторам у вигляді готової продукції на суму $5,5 млн. А основним ринком українських інвестицій стали Росія, Панама та ін.
Така політика свідчить про пошук об'єктами інвестування власних ринків збуту, тобто про намагання забезпечити власні інтереси.
Зовнішньоторговельні операції з товарами Україна здійснювала з партнерами зі 181 країною світу. Найбільші обсяги експортних поставок здійснювалися: до Російської Федерації–16,5%, Німеччини – 9,6%, Туреччини – 5,4%, Італії та Китаю – по 4,6%, США – 3,6%, Литви – 3,2%, Польщі – 2,9%. Серед регіонів України найбільші обсяги експорту товарів припали на Донецьку обл., Київ, Дніпропетровську, Запорізьку, Луганську, Полтавську та Одеську області, а найбільше імпортувалося товарів у Київ, Дніпропетровську, Донецьку, Запорізьку, Одеську, Київську та Харківську області.
Аналіз причин інвестиційної активності цих регіонів призвів до зіставлення нормативів їх платіжних витрат зі схемою вільних економічних зон (ВЕЗ) і територій пріоритетного розвитку (ТПР) нашої держави. В Україні на 1.11.2001 було зареєстровано 11 ВЕЗ і 9 ТПР. Загальна територія, на яку розповсюджувався режим ВЕЗ і ХПР, – 6360 тис. га (10,5% території України). У роботіі задіяно 12 областей, 41 район, 58 міст. Ці зони та території задекларували розвиток майже всіх напрямів народного господарства України: сільського господарства, мисливства та лісового господарства; рибного господарства; добувної промисловості; обробної промисловості; виробництва електроенергії, газу та води; будівництва; оптової і роздрібної торгівлі; торгівлі транспортними засобами; послуг з ремонту; готелів та ресторанів; транспорту; операцій із нерухомістю, здавання під найм та послуги юридичним особам; охорони здоров'я та соціальної допомоги; колективних, громадських та особистих послуг. Але детальний аналіз цих напрямів свідчить про інтерес саме до вичерпних ресурсів: видобування енергетичних матеріалів, неенергетичних матеріалів, руд кольорових металів, харчової промисловості та переробки сільськогосподарських продуктів, _ текстильної промисловості та пошиття одягу, виробництва шкіри та шкіряного взуття, виробництва деревини та виробів з деревини, целюлозно-паперової промисловості, видавничої справи, виробництва коксу, продуктів нафтопереробки та ядерного палива, хімічного виробництва, виробництва гумових та пластмасових виробів, виробництва мінеральних добрив, металургії та обробки металу, виробництва машин та устаткування, виробництва електричного та електронного устаткування, виробництва транспортного устаткування. У таблиці 3.3 наведено рейтингову оцінку ВЕЗ і ТПР України за інвестиційною привабливістю.
Таблиця 3.3. Рейтингова оцінка інвестиційної привабливості ВЕЗ і ТПР в Україні
| ВЕЗ Рейтингова оцінка | ТПР | Рейтингова оцінка | |
| «Азов» (Маріуполь) 3,3 | В Автономній республіці Крим | 5,7 | |
| «Донецьк» 4,3 | У Волинській області | 5,2 | |
| Закарпаття» 8,6 Інтерпорт’’Ковель» Волинська обл.) 7,1 Курортополіс «Трускавець» 2,8 (Львівська обл.) | У Донецькій області У Закарпатській області У Житомирській області | 4,8 8,6 10 | |
| «Миколаїв» (Миколаївська обл.) 6,7 | У Луганській області | 8,1 | |
| «Порто-франко» (Одеса) 1,4 | У Чернігівській області | 9,5 | |
| Порт «Крим» (АР Крим) 6,2 | У Харкові | 1,9 | |
| «Рені (Одеська обл.) 0,5 | У Шостці: (Сумська обл.) | 9,5 | |
| -Сиваш» (АР Крим) – | |||
| «Славутич» (Київська обл.) 1 | |||
| «Дворів» (Львівська обл.) 2.8 | |||
Отже, Україна є державою поглинання інвестиційного капіталу.















