160671 (623193), страница 3
Текст из файла (страница 3)
Nср
= 50 000 – 46 000 = 4 000 од.
•
Розраховують абсолютну величину необхідної додаткової виробничої потужності підприємства
Nабс, використовуючи для цього спеціальний коефіцієнт перерахунку середньорічного її приросту в абсолютний, який дорівнює 0,5 (за середніми даними тривалого періоду):
Nабс = 4 000: 0,5 = 8 000 од.
• На підставі питомих капітальних витрат на одиницю приросту виробничої потужності (150 тис. грош. од.) визначають загальну суму необхідних капітальних вкладень
на розрахунковий період:
= 150 000 х 8 000 = 1 200 000 000 грош. од.
Розрахований таким укрупненим (приблизним) методом обсяг капітальних вкладень згодом (з появою необхідної інформації) треба уточнити за допомогою застосування другого методу – прямих обчислень за даними кошторисної вартості всієї сукупності заходів, передбачених програмою (планом) технічного переозброєння, реконструкції або розширення діючого підприємства.
Третій можливий варіант економічної ситуації на ринку й підприємстві зумовлює вже не просто розширене відтворення основних фондів, а потребує докорінної перебудови техніко-технологічної бази виробництва. За цим варіантом розрахунки необхідного обсягу капітальних вкладень здійснюють, головне, за схемою другого варіанта. Проте при цьому треба додатково враховувати значні капітальні витрати, зв'язані з маркетинговими дослідженнями і проектуванням нових виробів, які мають за своїми техніко-економічними характеристиками повністю задовольняти вимоги покупців. За таких умов підприємству слід бути готовим також і до необхідної диверсифікації виробництва, яка може зумовити мобілізацію зазначених інвестиційних ресурсів.
Для визначення необхідного обсягу капітальних вкладень використовують кілька методів.
Перший метод визначення необхідного обсягу капітальних вкладень базується на здійсненні попередніх приблизних розрахунків у такій послідовності:
-
обчислення необхідної середньорічної величини виробничої потужності підприємства:
де
– необхідна (розрахункова) середньорічна величина виробничої потужності підприємства, кількість продукції (у натуральних вимірниках);
– виявлений ринковий попит на продукцію підприємства (у натуральних вимірниках);
– коефіцієнт використання потужностей підприємства;
-
визначення різниці між необхідними та існуючими обсягами виробничих потужностей:
де
– фактичний середньорічний обсяг виробничих
потужностей (у натуральних вимірниках); розрахунок абсолютної величини необхідного додаткового введення в дію виробничих потужностей
Для цього середньорічну виробничу потужність за допомогою коефіцієнта
переводять в абсолютну:
(2.3)
-
визначення загальної суми необхідних вкладень капіталу:
де
– капітальні витрати на одиницю приросту виробничої потужності, грн.;
– абсолютна величина необхідного додаткового введення в дію виробничих потужностей у натуральних вимірниках.
Другий метод визначення потреби у капітальних вкладеннях передбачає здійснення прямих розрахунків за даними кошторису технічного переозброєння (реконструкції або розширення) підприємства.
На ринку має місце різке скорочення попиту на продукцію підприємства через втрату її конкурентоспроможності. У такому разі підприємству треба здійснити не просто розширене відтворення основних фондів, а докорінно перебудувати свою техніко-технологічну базу виробництва. Така перебудова може бути досягнута при модернізації існуючого виробництва або організації виробництва нової продукції.
Необхідний обсяг капітальних вкладень обчислюють в основному за розглянутою вище схемою при другому варіанті ринкової ситуації. Однак при цьому треба додатково враховувати значні капітальні витрати, пов'язані з проведенням маркетингових досліджень і проектуванням нових виробів, які мають задовольняти вимоги покупців.
Нарівні з правильним визначенням необхідних обсягів капіталовкладень на певний розрахунковий період дуже важливим є визначення оптимальної структури джерел їх фінансування, що здійснюється на другому етапі планування інвестицій.
2.3 Визначення джерел фінансування виробничих інвестицій
Фінансування капітальних вкладень здійснюється за рахунок як власних, так і залучених коштів (дивись дод. А)
До власних джерел фінансування капітальних вкладень підприємства належать: внески засновників підприємства; акумульовані амортизаційні відрахування; кошти створених на підприємстві фінансових резервів та фондів; кошти, отримані від реалізації непотрібного майна; доходи, отримані від продажу придбаних раніше на фінансовому ринку цінних паперів; доходи, отримані від здавання майна в оренду, тощо.
До залучених джерел фінансування капітальних вкладень підприємства належать: кошти, отримані ним від розміщення на фінансовому ринку власних цінних паперів (акції, облігації), довгострокові кредити банків; інвестиції зарубіжних партнерів у створення спільних підприємств. З огляду на можливість ризику втрати підприємством фінансової самостійності необхідно, щоб структура джерел фінансування інвестиційної діяльності забезпечувала фінансову незалежність підприємства.
Користування зовнішніми джерелами довгострокового фінансування потребує певних витрат. Так, випуск і продаж цінних паперів підприємства пов'язані з витратами на їх випуск та оплату послуг фінансових посередників за їх розміщення на фінансовому ринку. В подальшому – виплату за ними дивідендів акціонерам та відсотків власникам облігацій.
Залучення позик пов'язане з необхідністю повернення основних сум боргу та з виплатою відсотків за користування кредитом.
Для державних підприємств джерелами фінансування капітальних вкладень можуть бути також кошти державного та місцевого бюджетів, державних позабюджетних фондів, благодійних фондів.
Формування структури джерел фінансування капітальних вкладень залежить від дії багатьох факторів, таких як: чинна система оподаткування підприємств; темпи зростання обсягів реалізації продукції підприємства, їхня стабільність; структура активів підприємства; стан ринку капіталів; кредитна політика Національного банку країни тощо.
Вибір оптимальної структури джерел фінансування капітальних вкладень має дуже важливе значення, оскільки дає змогу підприємству мінімізувати ризик втрати своєї платіжної спроможності й уникнути банкрутства.
2.4 Оцінка ефективності капітальних вкладень підприємства
Методи оцінки ефективності капітальних вкладень, що використовувались за умов планової економіки, не можуть застосовуватись в умовах ринкових відносин, оскільки мають низку недоліків, серед яких найсуттєвішими є такі: 1) ці методи не враховують впливу фактора часу на вартість грошей у різні часові періоди; 2) вони не враховують існуючі в ринковій системі господарювання підприємницький ризик та інфляцію; 3) проведення оцінки окупності інвестицій передбачало врахування тільки величини отриманого прибутку від здійснених капітальних вкладень і зовсім не приділялась увага потоку амортизаційних відрахувань, що значно змінювало результати розрахунків; 4) розрахунки ефективності капіталовкладень базувались на мінімальних приведених витратах, а не на розмірі отриманого прибутку.
В умовах ринкової економіки такі підходи є неприйнятними. З появою великої кількості недержавних та змішаних підприємств, розвитком фондового та кредитного ринків більшість підприємств самостійно формують свої фінансові ресурси і приділяють увагу, передусім, зростанню прибутку, як важливого джерела забезпечення життєздатності та підвищення конкурентоспроможності на ринку. Саме прибуток, а не витрати, є інтегрованим (узагальнюючим) показником, який враховує не тільки скорочення поточних витрат підприємства, а й його ділову активність, ефективність функціонування.
Економічне обґрунтування доцільності капітальних вкладень здійснюється на основі дослідження відповідних інвестиційних проектів.
Сучасна практика оцінки ефективності реальних інвестицій використовує певні базові принципи та методичні підходи.
До основних базових принципів оцінки ефективності капіталовкладень належать такі:
1. Оцінка ефективності проектів інвестування капіталу має здійснюватись на основі зіставлення обсягу інвестованих коштів, з одного боку, та сум і термінів повернення інвестованого капіталу, з іншого.
2. При визначенні необхідного обсягу інвестиційних витрат необхідно враховувати як основні, так і супутні витрати капіталу.
Це пояснюється тим, що під час інвестування досить часто підприємство, крім основних затрат, передбачених проектом, несе і супутні витрати, які були спричинені реалізацією цього проекту. Тому необхідним є також і їх врахування в процесі оцінки ефективності здійснення капіталовкладень.
3. Повернення інвестованого капіталу оцінюється на основі показника грошового потоку від інвестицій.
Під грошовим потоком від інвестицій розуміють грошові кошти, що включають отримані внаслідок здійснення інвестицій чистий прибуток та суму амортизаційних відрахувань:
де ГП – грошовий потік, грн.;
П – річний прибуток, отриманий в результаті реалізації інвестицій, грн.;
АВ – річна сума амортизаційних відрахувань, грн.
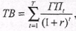
4. Приведення до теперішньої вартості майбутніх грошових потоків від інвестицій.
Оскільки грошові кошти під впливом фактора часу знецінюються, вартість нинішніх грошей (тобто їхня купівельна спроможність) вища за вартість грошей, що будуть отримані в майбутньому. Такий вплив часу на вартість грошей враховують шляхом дисконтування майбутніх грошових коштів. Дисконтування передбачає коригування майбутніх потоків грошей на коефіцієнт, який відповідає певній дисконтній ставці, що враховує ризик та непевність, пов'язані з фактором часу. В умовах очікування сталого річного темпу інфляції застосовують постійну річну ставку дисконту, і теперішню вартість отриманих у майбутньому грошових потоків обчислюють за формулою:
де ТВ – теперішня вартість майбутніх грошових потоків від інвестиційного проекту, грн.;
– грошовий потік, очікуваний у t-му році від реалізації проекту, грн.;















