151618 (621839), страница 4
Текст из файла (страница 4)
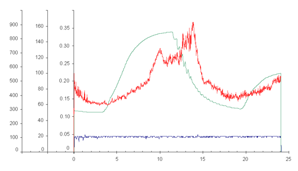
Испытания в режиме изменения температуры планировалось произвести в диапазоне температур от +50 до +290 оС, однако фактически удалось достичь не более 190 оС (Рис. Х), что связано с особенностями нагревательного модуля машины трения.
Рис. Х. Диаграмма испытания масла И-20А в режиме изменения температуры
Как выяснилось в следующем эксперименте, максимальный температурный градиент составляет 20 градусов в минуту, тогда как при таком диапазоне температур необходимо 40 градусов. При этом в камере наблюдалось значительное испарение масла, что в дальнейшем было бы причиной заедания в узле трения. Поэтому решено понизить верхний порог температуры до 150 оС.
В результате оценки физико-химических и трибологических свойств масла И-20А с антифрикционными добавками было принято решение приготовить смазочные составы: И-20А+5% графита, И-20А+7,5% графита,
И-20А+5% графита+10% ПАВ, И-20А+7,5% графита+10% ПАВ, И-20А+5% дисульфида молибдена, И-20А+7,5% дисульфида молибдена, И-20А+5% дисульфида молибдена+10% ПАВ, И-20А+7,5% дисульфида молибдена+10% ПАВ. Смазки без ПАВ готовили при комнатной температуре (с ПАВ при 50 оС) с постоянным перемешиванием. После приготовления смазка выдерживалась при комнатной температуре в течение 5 дней и проверялась на наличие расслаивания, в связи с присутствием в ПАВ воды. Каждую смазку испытали в трех режимах, построили диаграммы испытаний.
Чистое индустриальное И-20А оказалось неспособно выдержать высокие нагрузки (Рис. 1 приложения). При этом время приработки составило 10 минут, после чего наблюдался постепенный рост коэффициента трения связанного с выдавливанием масла из узла трения. Лишь после снятия нагрузки стабилизировался коэффициент трения, что говорит о нормальной работе при нагрузках не более 50 Н. При работе в режиме изменения частоты система оказалось более стабильной: амплитуда колебаний не превышала установленные значения более чем на 20%, а время приработки составило 9 минут. При этом нужно отметить, что коэффициент трения на отдельных участках эксперимента был выше, чем при нагрузке. Испытание по температуре масло И-20А не выдержало, эксперимент закончился без стабилизации значений коэффициента трения. В данном случае, решающую роль сыграло испарение масла в течение всего эксперимента, что привело к возрастанию коэффициента трения на всех участках с повышением температуры.
Состав И-20А+5% графит прошел успешно испытания в режимах изменения нагрузки и частоты, при этом участок приработки снизился до 7 и 4 минут соответственно. В режиме изменения частоты коэффициент трения оказался ниже, чем в режиме изменения нагрузки. Однако в режиме изменения частоты при отрезке с частотами от 200 до 227 Гц наблюдался прямопропорциональный рост коэффициента трения, что говорит о достигнутом максимуме по частоте для данной смазки. Испытания по температуре данный состав не прошел, система оказалась очень чувствительна к малейшему повышению температуры сопровождающимся ростом коэффициента трения, как следствие не стабильностью на всех участках работы.
Состав И-20А+7,5% графит успешно прошел испытания в режиме изменения частоты, с характерными особенностями для состава Состав И-20А+5% графит. Однако стабилизированный коэффициент трения был несколько выше, чем в предыдущем эксперименте. В режиме изменения нагрузки нестабильность наблюдалась на всех этапах эксперимента, хотя небольшая стабилизации наступала в районе пиковых нагрузок и при итоговой нагрузке. Испытания с изменением температуры сохранили картину для Состава И-20А+5% графит, качественного изменения не наступило.
Для состава И-20А+5%+10% ПАВ в режиме изменения нагрузки качественная картина диаграмм не изменилась, при этом итоговый коэффициент трения снизился в 1,25 раза для обоих случаев. В режиме изменения частоты кривая коэффициента трения получилась более плавная, что свидетельствует о стабилизации величины. Для режима изменения температуры получилась другая качественная картина: коэффициент трения не снижается с увеличением температуры, при этом происходит его снижение при температурах более 140 оС. Количественно итоговый коэффициент трения снизился в 1,6 раза.
В режиме испытания изменения нагрузки состав И-20А+7,5%+10% ПАВ показал себя с наилучшей стороны: время приработки составило 9 мин, на остальных участках коэффициент трения плавно изменялся согласно режиму и итоговое значение снижено по отношению к базовому маслу в 1,6 раз. В режиме работы с изменением частоты и с изменением температуры качественная картина не изменилась. Однако коэффициент трения снижен при температурном режиме по отношению к составу И-20А+5%+10% ПАВ в 1,5 раза, в отличие от режима с изменением частоты, где картина не изменилась.
Для разных режимов были построены общие диаграммы изменения коэффициента трения во времени (Рис. х-х)
Рис. Х Общая диаграмма изменения коэффициента трения в режиме изменения нагрузки для графитовых смазок
Рис. Х Общая диаграмма изменения коэффициента трения в режиме изменения частоты для графитовых смазок
Рис. Х Общая диаграмма изменения коэффициента трения в режиме изменения частоты для графитовых смазок
Антифрикционные добавки на основе графита и дисульфида молибдена представляют собой вещества способные модифицировать поверхность, а именно приближать ее к изотропному состоянию [1,3-7], при котором сила трения не зависит от направления перемещения другой поверхности[24].
В ИПМ Уро РАН мы провели трибологические испытания для оценки свойства этих веществ образовывать защитное покрытие на двух типах поверхностей: анизотропной с помощью двухкоординатной машины трения и условно изотропной, при работе на многофункциональной машине трения модели SRV. Из анализа полученных кривых (См. рис. 5-7) на машине SRV видно, что при нагрузке в 50 Н, с установленным ходом 1 мм, температурой 50оС, при частотах вращения 5 Гц, 50 Гц коэффициент трения для узла, содержащего смазочный материал с модификатором трения, убывает при увеличении концентрации дисульфида молибдена до 7,5 %, после начинает расти сила трения. Для графита при 5 Гц коэффициент трения значительно снижается при повышении концентрации добавки до 5,0%, однако при дальнейшем увеличении концентрации коэффициент трения резко увеличивается. Такое поведение графита можно связать с твердостью частиц, которая в 1,25-1,5 раза выше, чем у MoS2 и их размером, которые в 3 раза больше[25]. Для графита при 50 Гц коэффициент трения снижается при повышении концентрации добавки до 10,0%, что можно объяснить лучшей активацией частиц при более активном перемещении стального шарика, следовательно, большей энергией передаваемой частицам.
Антифрикционные добавки не выдержали испытания при частоте 500 Гц, резкие скачки трения связаны с образованием задиров и схватываний, поэтому их использование в таких условиях без дополнительного введения растворимых антифрикционных присадок не возможно.
На двух координатной машине трения мы провели два типа испытаний:
первый был направлен на получение сравнительных характеристик путем проведения испытание смазочных материалов в режиме хода по прямой траектории, второй для оценки разброса коэффициента трения в условиях анизотропии поверхности в режиме хода по круговой траектории. В результате первого эксперимента (См. рис. 9) кривая зависимости коэффи-циента трения от концентрации добавки для дисульфида молибдена аналогична кривым, полученным на машине трения SRV и полученным авторами [3]. Более того эти кривые соответствуют кривой изменения поверхностного натяжения системы, полученной в ходе предвдущей работы [25], что еще раз подтверждает взаимосвязь величин. В ходе второго эксперимента были получены анизотропы трения (см. рис 11-17 в приложении), которые обладают одинаковой формой и одинаковыми направлениями максимумов и минимумов силы трения, что говорит о качестве проделанного эксперимента. Проведя изучение анизотроп, были построены кривые зависимости минимальных и максимальных значений коэффициента трения от условий проведения опыта. кривая минимальных значений соответствует полученным кривым на условно изотропных поверхностях, что дает возможность предположить о движении индентора вдоль направления обработки. Кривая максимальных значений показывает снижение коэффициента трения при увеличении добавки дисульфида молибдена вплоть до 10%, что не соответствует предыдущим полученным данным. Это связано с тем, что нагрузка в этом участке минимальна, поэтому существует возможность для снижения коэффициента трения.
На основании проделанных трибологических испытаний можно утверждать, что оптимальная концентрация исследуемых антифрикционных добавок лежит в диапазоне от 5 до 8%. Установлено, что снижение коэффициента трения происходит в 1,75-2 раза по отношению к маслу
И-20А.
Приложение
Рис. Х. Диаграмма испытания масла И-20А в режиме изменения нагрузки.
Рис. Х. Диаграмма испытания масла И-20А в режиме изменения частоты.
Рис. Х. Диаграмма испытания масла И-20А в режиме изменения температуры.
Рис. Х. Диаграмма испытания состава И-20А + 5% графит в режиме изменения нагрузки.
Рис. Х. Диаграмма испытания состава И-20А + 5% графит в режиме изменения частоты.
Рис. Х. Диаграмма испытания состава И-20А + 5% графит в режиме изменения температуры.
Рис. Х. Диаграмма испытания состава И-20А + 7,5% графит в режиме изменения нагрузки.
Рис. Х. Диаграмма испытания состава И-20А + 7,5% графит в режиме изменения частоты.
Рис. Х. Диаграмма испытания состава И-20А + 7,5% графит в режиме изменения температуры.
Рис. Х. Диаграмма испытания состава И-20А + 5% графит + ПАВ в режиме изменения нагрузки.
Рис. Х. Диаграмма испытания состава И-20А + 5% графит + ПАВ в режиме изменения частоты.
Рис. Х. Диаграмма испытания состава И-20А + 5% графит + ПАВ в режиме изменения температуры.
Рис. Х. Диаграмма испытания состава И-20А + 7,5% MoS2+ ПАВ в режиме изменения нагрузки.
Рис. Х. Диаграмма испытания состава И-20А + 7,5% графит + ПАВ в режиме изменения нагрузки.
Рис. Х. Диаграмма испытания состава И-20А + 7,5% графит + ПАВ в режиме изменения частоты.
Рис. Х. Диаграмма испытания состава И-20А + 7,5% графит + ПАВ в режиме изменения температуры.















