151609 (621835), страница 2
Текст из файла (страница 2)
При необхідності в електрохімічному нанесенні також використовують суфрактанти. Наприклад, при використанні шаблонів, отриманих з РММА/PS діблокових кополімерів, метанол використовується як суфрактант для сприяння заповненню пор, що дає змогу досягти значень фактору заповнення —100%. Можливим застосовувати метод електронанесення при змінному струмі в шаблонах з анодованого алюмінію без видалення бар'єрного шару шляхом використання випрямляючих властивостей оксидного бар'єру. В процесі електрохімічного нанесення з використанням змінного струму, хоча прикладена напруга є синусоїдального та симетричною, струм є більшим впродовж катодних напівциклів, що робить нанесення домінуючим над очищенням, яке відбувається в наступних анодних напівциклах. Оскільки на дефектних місцях не відбувається випрямлення, швидкості процесів нанесення та очищення є рівними і матеріал не наноситься. Таким чином усуваються труднощі, пов’язані з наявністю тріщин. У такий спосіб в пори анодного шблону окису алюмінію були нанесені метали Со, Fe і напівпровідник CdS без видалення бар’єрного шару. На відміну від нанодротів, синтезованих методом інжекції, нанодроти, виготовлені електрохімічне, звичайно є полікристалічними, без переважних кристалічних орієнтацій, як спостерігалося у рентгенівських дослідженнях. Але існують деякі виключення. Наприклад, полікристалічні нанодроти CdS, виготовлені із застосуванням методу електрохімічного нанесення у шаблонах з анодного алюмінію, можливо мають переважну орієнтацію росту вздовж осі-с. Також виготовлялися нанодроти напівпровідників II-VI, включаючи CdS,CdSe,CdTe, шляхом електрохімічного нанесення при постійному струмі в шаблонах з анодного алюмінію у безводному електроліті. Більше того, монокристалічні нанодроти РЬ можуть формуватися імпульсним електронанесенням. Використання імпульсних струмів вважається кращим для вирощування кристалічних дротів, тому що металеві іони у розчині можуть регенеруватися у проміжку між електричними імпульсами, і таким чином, для кожного імпульсу нанесення можна досягти однорідних умов. Імпульсним електронанесенням були виготовлені також монокристалічні нанодроти Ag.
Рис. 1.3. а - СЕМ зображення зборки нанодротів Ві2Те3 в поперечному перерізі, що показує високий фактор заповнення пор; b - СЕМ зображення нанокомпозитної зборки нанодротів Ві2Те3 вздовж осі дроту.
Рис. 1.4.'' а - ПЕМ зображення одиничного Со(10нм)/Сu(10нм) багатошарового нанодроту; b - вибрана область зразка при великому збільшенні.
Однією з переваг методу електрохімічного нанесення є можливість виготовлення багатошарових структур в нанодротах Шляхом зміни катодних потенціалів в електроліті, що містить два різних типи іонів, можна контрольовано наносити різні металеві шари. У такий спосіб були синтезовані багатошарові нанодроти Со/Си. Рис. 1.4 показує ПЕМ зображення одиничного нанодроту Со/Си приблизно 40 нм у діаметрі. Світлими смугами зображені області, збагачені Си. Цей метод електронанесення забезпечує низький по собівартості підхід до виготовлення багатошарових 1 - D наноструктур [5].
1.4 Нанесення з парової фази
Нанесення нанодротів з парової фази включає фізичне нанесення з пари (ФНП - PVD), хімічне осадження з парової фази (CVD) і метал-органічне осадження з парової фази (MOCVD). Як і електрохімічне нанесення, нанесенням з парової фази зазвичай можливо виготовляти нанодроти меншого діаметру (<20нм), ніж методами інжекції під тиском, оскільки вони не залежать від високого тиску і поверхневого натягу, потрібних для впровадження матеріалу в пори.
У методі фізичного парового нанесення матеріал спочатку нагрівається до утворення пара, яка потім вводиться у пори шаблону й охолоджується до утворення твердого стану. З використанням спеціально сконструйованого обладнання майже монокристалічні нанодроти Ві були синтезовані в анодних алюмінієвих шаблонах з діаметрами пор ~7нм. Встановлено, що ці нанодроти Ві мають переважну орієнтацію росту кристалу вздовж осі дроту, аналогічно до нанодротів вісмуту, виготовлених інжекцією тиском. Змішані матеріали, які утворюються з двох реагуючих газів, були також виготовлені з використанням методу хімічного осадження з парової фази (CVD). Наприклад, монокристалічні нанодроти GaN були синтезовані в анодних алюмінієвих шаблонах шляхом газової реакції пари Ga2O з потоком аміаку. Інший підхід рідина/газ був використаний при виготовленні полікристалічних нанодротів GaAs та InAs в наноканальному склі. Тут наноканали заповнюються одним рідинним прекурсором (наприклад, Me3Ga або Et3In) через капілярний ефект, і нанодроти формуються у шаблоні через реакції між рідким прекурсором та іншим газовим реагентом (наприклад, AsH3) [9].
1.5 Синтез нанодротів з використанням шаблонів і в якості шаблонів
Нещодавно вуглецеві нанотрубки як важливий клас 1 — D наноструктур були виготовлені в порах анодних алюмінієвих шаблонів методом хімічного осадження з парової фази для формування високовпорядкованих структур двовимірних вуглецевих нанотрубок. Спочатку електрохімічне наносилася на дно пор невелика кількість металевого каталізатору (наприклад, Co). Потім шаблони поміщали у піч і нагрівали до ~ 700 — 800°С з потоком газу, що складався із суміші N2 та ацетилену {С2Н2) або етилену (С2Н4), Молекули гідрокарбону піролізуються, утворюючи нанотрубки в порах шаблону за допомогою металевих каталізаторів. Добре впорядковані структури нанотрубок викликали великий інтерес завдяки перспективі їх застосування, наприклад, в якості плоских панельних дисплеїв з холодним катодом. Цікавим також є використання цеолітових шаблонів з дуже вузькими порами (< 1 нм у діаметрі), що дозволяє вирощувати вуглецеві нанотрубки діаметрами 0.42 нм, оточені тільки 10 атомамим вуглецю.
Порожні серцевини вуглецевих нанотрубок також застосовувалися дня синтезу різноманітних нанодротів дуже матого діаметру. Такі нанодроти інтенсивно вивчалися методом високороздільної ПЕМ (електронною мікроскопією на пропускання), але їх фізичні властивості ще слабо вивчені [7].
1.6 Методика вирощування кремнієвий нанодротів
Безперервний прогрес в характеристиках різних електронних пристроїв – від персональних комп'ютерів до мобільних телефонів – в значній мірі обумовлений постійним зменшенням розмірів кремнієвих мікросхем. Для їх серійного виробництва добре відладжена 0.1-мікронна технологія. Але подальша мініатюризація електронних компонентів до масштабу 10нм вимагає заміни кристалів кремнію іншими фізичними об'єктами. Як такі зараз обговорюються, наприклад, вуглецеві нанотрубки, молекулярні перемикачі і кремнієві нанодроти. Про останніх і піде мова нижче.
Методика вирощування кремнієвих нанодротів полягає в наступному. На підкладку з кремнію наносять маленьку краплю рідкого металу (як правило, золото). Ця крапля так ефективно адсорбує Si з пари SiH4 або Si2H6, що стає пересиченою кремнієм, внаслідок чого з краплі росте довгий і круглий монокристалічний нанодріт Si, діаметр якого визначається розмірами краплі Au (див. рис. 1.5). До цих пір вважали, що якщо на підкладку нанести відразу декілька крапель Au, то одночасно вийде відповідна кількість нанопроводів Si.
Рис.1.5. Ілюстрація росту нанодроту Si з використанням капель Au в якості каталізатора.
Тому дана методика розглядалася як вельми перспективна для широкомасштабного виготовлення таких нанодротів з метою їх практичного використання в наноелектроніці. Проте проведені в IBM дослідження показали, що це не так [5].
За даними ІВМ процес зростання паралельних один одному нанопроводів Si на підкладці з Si (111) вивчений з використанням скануючого тунельного мікроскопа. Всупереч очікуванням, авторам не вдалося виростити відразу багато довгих однорідних по діаметру нанопроводів. Причина цього полягає в тому, що неминучі, нехай навіть і зовсім незначні відмінності в розмірах крапель Au приводять зрештою до того, що атоми Au дифундують з менших крапель на великі, внаслідок чого зростання нанопроводів, що залишилися без "золотого даху", припиняється (див. рис. 1.5). Цей ефект, званий ефектом Оствальда (лауреат Нобелівської премії по хімії в 1909 році) або, – жартома – "капіталістичним принципом", пояснюється зменшенням повної поверхневої енергії при дифузії Au з краплі на краплю. Науковці спостерігали і інші шкідливі наслідки дифузії Au, зокрема зміну діаметру кожного нанодроту уздовж його довжини [4].
Вихід з цієї ситуації запропонований пізніше вчним У. Джозеле: не потрібно гнатися за ідеальними умовами синтезу (надвисокий вакуум і так далі), як це робили вчені з ІВМ, а просто допустити присутність в атмосфері незначної кількості кисню. Це дозволить блокувати шляхи дифузії Au по поверхні підкладки. Тоді краплі Au виявляться незалежними один від одного, і вийде великий масив довгих однорідних нанопроводів Si. Таким чином, виявляється, що "дуже чисто" – це іноді навіть "занадто чисто".
1.7 Секрети ПРК-росту кремнієвих нанопроволок
Синтез напівпровідникових нанодротів по механізму пара-рідина-кристал (ПРК) є одним з основних способів отримання монокристалічних нановолосків, які потім використовуються для побудови різних пристроїв в рамках технологічного напряму "знизу-вгору" ("bottom-up"). У переважній більшості робіт процеси зростання нанодротів і дослідження синтезованого продукту рознесені у просторі та часі, що істотно обмежує можливість отримання надійної кількісної інформації про ПРК механізмі, а деякі важливі деталі можуть взагалі залишитися непоміченими. Тому винятковий інтерес представляють методики, що дозволяють вести спостереження за формуванням нанодротів безпосередньо в процесі їх зростання. Саме такий підхід був реалізований в недавніх роботах групи учених з дослідницького центру IBM (Yorktown Heights). Вивчали класичну систему Si-Au, а вирощування нанопроволок проводили в надвисоковакуумному електронному мікроскопі (Hitachi UHV H-9000), що просвічує, або в камері мікроскопа на повільних електронах (LEEM) шляхом експозиції підкладки Si(111) з двома моношарами золота в суміші дисилан (20%) -гелій (80%) при тиску 5х10-4Торр і температурі 600оС [7].
Спостереження в LEEM показали, що нагріваючи плівки Au до 600оС приводить до утворення ансамблю різнорозмірних нанокрапель, а поверхня між краплями володіє надструктурою, характерною для грані Si(111) з одним моношаром золота. Опинилося далі, що при даній температурі атоми Au швидко мігрують по такій поверхні з малих крапель в більші і цей процес (так зване "оствальдовское дозрівання") відбувається за 2-3 хвилини. Аналогічну надструктуру спостерігали і на поверхні підкладки між нанодротами, що ростуть. Тому резонно припустити, що і бічна поверхня нанодротів покрита приблизно одним моношаром Au. Але якщо це так, то у міру зростання дротів розмір краплі на її вершині повинен зменшуватися, оскільки атоми витрачаються на "золочення" бічної поверхні. При цьому діаметр дроту безперервно убуватиме аж до повного припинення зростання, коли витратилося все золото з краплі. Ясно також, що чим менше діаметр початкової краплі, тим раніше це відбудеться. Вказаний ефект виразно спостерігався в експериментах американських фізиків. Що виросли дроту були не циліндровими, а конусоподібними, причому найтонші (у підстави) конуси мали меншу висоту і краплі на їх вершинах відсутні. Таким чином, скільки завгодно довгий нанодріт з краплі даного розміру виростити неможливо.
Рис. 1.6. Фотографія нанодроту кремнію з золотою шапочкою
Але найчудовіший ефект полягає в тому, що атоми золота здатні мігрувати з малих крапель в більші не тільки по плоскій поверхні підкладки (до зростання), але і з вершини одного нанодроту на вершину іншого (розташованою поряд) безпосередньо при зростанні! Результатом такого перетікання є формування пари нанопроволок з протилежною конусністю (рис.1.6, масштабні штрихи - 1мкм). Експерименти insitu в електронному мікроскопі дозволили детально досліджувати кінетику процесу - три знімки на рис. 3 показують зменшення розміру краплі "В" при одночасному збільшенні краплі "А" на сусідньому нанодроті (цифри – час зростання в секундах, масштабний штрих – 50нм). При цьому було встановлено, що швидкість аксіального росту конусовидного нанодроту не залежить від розміру краплі (не рахуючи останньої ділянки швидкого скруглення). Автори пов'язують це з тим, що в їх експериментах лімітуючою стадією є необоротне розкладання молекули дисилану на поверхні рідкої евтектичної краплі [8].
Рис. 1.7. Знімки електронного мікроскопа нанодротів в процесі росту
Отже, епітаксіальне ПРК-ріст кремнієвих нанодротів в дуже чистих умовах натрапляє на фундаментальні обмеження, обумовлені високою міграційною здатністю атомів Au. Разом з тим відомо, що при звичайній газофазній епітаксії дроту ростуть циліндровими, а золото на їх бічних поверхнях відсутнє. Мабуть, навіть невеликі кількостей кисню в ростовій атмосфері достатньо, щоб ефективно блокувати пересування атомів золота по поверхні. Виходить, що для успішного синтезу нанопроволок технологічна система повинна бути чистою, але не занадто [9].
1.8 Нанодроти триоксиду вольфраму
Надкритичні флюїди володіють рядом цікавих особливостей. Вони відмінні розчинники, мають низьку в'язкість, високу теплоємність, високі швидкості перенесення і високий осмотичний тиск. Крім того, їх фізичні властивості можуть бути легко змінені за допомогою варіювання температури і тиску. Найчастіше як надкритичний флюїд застосовується CO2, який нетоксичний, безпечний і порівняно легко переходить в надкритичний стан.
Рис. 1.7. Нанодроти WO3 при різному збільшенні. Довжина мітки (a) 500 нм, (b) 200нм, (c) 50 нм, (d, e) 20 нм.
Японські дослідники об'єднали методи синтезу в плазмі і надкритичних розчинах в один і змогли отримати одновимірні нанодроти оксиду вольфраму, покриті аморфним вуглецем.
У осередок, де відбувається утворення надкритичного розчину, були поміщені вольфрамові електроди, до яких було прикладено високочастотну змінну напругу. При атмосферному тиску з вуглекислого газу утворювалася плазма, після чого в осередку створювався великий тиск і вводилася деяка кількість толуолу. Автори відзначають, що безпосередньо в надкритичному стані плазму отримати досить проблематично [12].
В процесі реакції утворилася чорна сажа, яка, як виявився при найближчому розгляді, складається з множини нанодротів довжиною в декілька мікрометрів. Більш того, було виділено 2 типи дротів – одні є простими дротами діаметром 20-30 нм, а інші є коаксіальними структурами з внутрішнім діаметром 10-20 нм і зовнішнім 20-30 нм. Останні складають близько 20% від загального числа дротів. У докритичному стані нанодроти не утворюються, і лише досягши тиску 20 МПа вони стають основним продуктом синтезу. У відсутність органічного розчинника (толуолу) формування дротів не відбувається [10].
За даними EDS (Energy Dispersive X-ray Spectroscopy) і ПЕМ, серцевина коаксіальних дротів складається з оксиду вольфраму, а оболонка утворена аморфним вуглецем. З даних рентгенівської дифракції було визначено, що серцевина сформована моноклінними кристалами WO3, і таку ж структуру мають і прості нанодроти.
Розділ 2. Кінетика формування нанодроту в процесі вакуумної конденсації металів на поверхню кристала
Одним з основних способів створення дискретних наноструктур є вакуумна конденсація з парової фази. Зокрема, формування нанопроволок металів на поверхні Si при вакуумній конденсації.
Зародження острівців при вакуумній конденсації може відбуватися як на бездефектних ділянках підкладки, так і на активних центрах. При декоруванні острівцями металів поверхні іонних кристалів виборче зародження відбувається на дефектах наступних типів: центрах фарбування, атомах домішок, вакансіях, поверхневих дефектах деформаційного походження (лінії ковзання, ступені скла) і дефектах зростання (ступені зростання, дефекти "шероховатих" поверхонь, виходи дислокацій). За допомогою методу декорування поверхні підкладки Бетге візуалізував моноатомні ступені на поверхні скла монокристала NaCl при вакуумній конденсації золота. На площині скла (100) кристала кам'яної солі декоруючі частинки Au маються в своєму розпорядженні рядами уздовж ступенів і у вигляді ізольованих частинок на гладких ділянках. Лінійна щільність зародків на ступенях скла на порядок більше, чим на решті частини підкладки, що може приводити до утворення суцільного нанодроту на ступенях раніше, ніж на бездефектній підкладці наступить поріг коалесценції. В цьому випадку нанодріт уздовж ступенів можна використовувати як провідник електричного струму [8].
Слід зазначити, що в острівних металевих плівках на діелектриці перенесення заряду від острівця до острівця здійснюється декількома механізмами, основними з яких є термоелектронна емісія і тунелювання (скачкова провідність), причому зазвичай переважає останній. Вірогідність тунелювання експоненціально збільшується із зменшенням міжострівного проміжку, тому острівні плівки стають провідними ще до настання коалесценції. Електропровідність острівкових плівок зареєстрована при характерній відстані між острівцями 100 Å.
Навколо поверхневих стоків утворюються зони захоплення, де із-за зниженої концентрації адатомів мала вірогідність утворення острівців. Із зростанням острівця число місць адсорбції, яке він займає, і площа зони його захоплення безперервно збільшуються. У справжній роботі розмір зони захоплення приймається рівним декільком міжатомною відстанню.
Дана модельна система є кристалічною підкладкою з діелектрика (для конкретних обчислень — іонний кристал), що містить ступені і активні центри зародження (вакансії в поверхневому шарі), на яку конденсуються металеві атоми з потоку R (cm-2 s-1). Конденсація вважається повною, вірогідність створення зародків на бездефектних ділянках підкладки приймається малою. У моделі не враховується розпад зародків на підкладці, тобто один атом металу на ступені або на активному центрі є стабільним зародком, якого далі називатимемо острівцем. Ступені і активні центри розглядаються як нескінченні стоки для дифундуючих до них адсорбированых атомів. Таким чином, на підкладці протікають два процеси, контролюючих кінетику зростання острівців на ступенях і активних центрах: притока атомів на підкладку за рахунок вакуумної конденсації і дифузійний відтік адатомов до ступенів і активних центрів зародження. Час формування нанодроту приймається рівним часу зростання острівців на ступені до фізичного зіткнення з сусідами. У цей момент на решті частини підкладки ступінь покриття такий, що коалесценція відсутня, і радіус острівця rp значно менше відстані між ними [13].
Для випадку повної конденсації рівняння дифузії адатомов до ступенів запишеться у вигляді
де c(x, t) — концентрация адатомов на підкладці; D — коефіцієнт поверхневої дифузії; Nd — поверхнева щільність дефектів на підкладці; N0 — щільність місць адсорбції; σ — число захоплення адатомів активним центром, яке визначається кількістю місць адсорбції, занятих куполоподібним острівцем, з врахуванням місць адсорбції в самій зоні захоплення.
Коефіцієнт дифузії визначається стандартним виразом
де Ed — енергія активації дифузії; η — ймовірність того, що нове місце адсорбції дифундуючого атома вільне. Так як число місць адсорбції значно превищує число атомів на підкладці, можна прийняти η = 1.
Початкові і кінцеві умови для рівняння (1) наступні: c(x, 0) = 0 (в початковий момент часу концентрація конденсованих атомів на підкладці рівна нулю); c(0, t) = c(L, t) = 0 (концентрація адатомів на ступенях рівна нулю протягом всього часу конденсації).
Розв’язок рівняння (2.1) має вигляд
де L — відстань між ступенями.
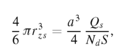
Час формування нанодроту tk розраховується шляхом прирівнювання об’єму напівсферичного зародкаа на ступені в момент, коли він торкнеться з сосідами, і сумарного об’єму атомів, які його формують,
Тут rz step — радіус зародка на ступені, a — період градки підкладки, Q — число атомів, досягнувших ступені, Nz step — гусина зародків на ступені, y — довжина ступені (в разрахунках y = 1).
Число атомів, що досягли ступеня, рівне кількості напилених атомів без урахування захоплених дефектами і вільних адатомов на підкладці
де S — площа підкладки, S = Ly.
З рівняння (2.4) з обліком (2.5) знаходимо час формування нанодроту з острівців півсферичної форми
Розмір зародка на підкладці rzs у момент tk знаходиться із співвідношення
де Qs — число атомів, продифундувавших до центрів зародження. Очевидно
Тому
Ступінь заповнення підкладки між ступенями Z визначається по формулі
У роботі використовуються наступні значення величин: Nd приймається рівній рівноважній густиніі вакансій (≈ 5 · 1010 cm-2 ); ν = 103 s-1; L = 2.5 · 10‑6cm). Величина σ визначається як середнє арифметичне між мінімальним значенням (≈50) і максимальним, яке оцінюється за середнім розміром острівця на момент часу tk [13].
Висновки
1. В дані роботі зроблено спробу в розумінні наносвіту і його законів. Було опрацьовано 13 літературних джерел на тему одержання нанодротів.
2. Розглянуто вісім методів синтезу нанодротів. Зроблено порівняльну характеристику цих методів. Найбільш широко використовується у промисловості VLS (пара-рідина-тверде тіло) метод. Перевагою даного методу є доступність сировини (кремнію) та простота конструкції установки вирощування. Недолікам є важка очистка матеріалів. Це можна обійти в методі синтезу за допомогою шаблонів. Але поряд з тим в даному методі важко конторолювати сам процес росту нанодротів. Це усувається у електрохімічному методі. Ріст нанодротів в даному методі є, як правило, контрольованим у напрямку нормалі до поверхні підкладки. Мінусом електрохімічного методу є невелика заповненість пор у шаблоні. Ще одним перспективним методом є нанесення з парової фази. Даним методом можна добувати високо чисні нанодроти і строго заданої форми. До мінусів можна віднести молу кількість речовин, які можуть бути використані у синтезі нанодротів.
3. Розглянуто фізичні основи нанодротів та перспективи їх використанню.
Список використаної літератури
-
Ли В.Н., Кондратьев А.И., Титов В.А.,. Игнатенко И.В., ХимухинС.Н Неразрушающий контроль состояния контактного провода // Известия вузов. Приборостроение. – 2007. – Т.50, № 9. – С. 61-64
-
Верхотуров А.Д., Ершова Т.Б., Бару Л.Л., Дворник М.И. Минералогическое материаловедение – основа получения функциональных материалов из минерального, техногенного и вторичного сырья. // Известия высших учебных заведений. Горный журнал. – 2008. – Т.12, №5. – С. 91-97.
-
Заводинский В. Г. Квантово-механическое исследование упругих свойств наночастиц и процессов их агломерации. // Российские нанотехнологии. – 2008. – Т.2, № 11-12. – С. 58-62.
-
Верхотуров А.Д., Шпилёв А.М., Коневцов Л.А. Современное неорганическое материаловедение. // Химическая технология. – 2008. – Т.19, № 7. – С.11-15.
-
Верхотуров А.Д., Шпилёв А.М., Коневцов Л.А. Методологические основы становления и развития материалогии и роль технологии комплексной переработки минерального сырья для получения материалов с заданными свойствами. // Горный информационно- аналитического бюллетень. – 2007. – Отдельный выпуск № ОВ16. – С. 212-228.
-
Handbook of Nanostructured Materials and Nanotechnology, v. 1 (Academic Press, San Diego – Tokio, (2000) pp.327-360.
-
Сторонський О.В., Міца В.М. Фізика і техологія нанообєктів. Курс лекцій. Частина 1. – Ужгород, Ужгородський національний університет, фізичний факультет, 2009 р.
-
Алешин А.Н. Квантові точки // ФТТ. - 49, 11.- 2007. – С.19 - 21.
-
Верхотуров А.Д., Ершова Т.Б., Бару Л.Л., Дворник М.И. Минералогическое материаловедение – основа получения функциональных материалов из минерального, техногенного и вторичного сырья. // Известия высших учебных заведение. Горный журнал. – 2008. – Т.34, №5. – С. 91-97.
-
Нанотехнологія в найближчому десятилітті, прогноз напряму досліджень. Під редакцією К.Роко, Р.С.Уїльямс і П.Алівісатос, переклад з англ. А.В.Хачояна, Р.А.Андрієвського, – М.: Мир, 2002,–234с.
-
Покропивний В.В., Поперенко Л.В. Фізика наноструктур, – К.,2008, – 220с.
-
Раков И.Г. Отримання нанодротів// Успіхи хімії. - 2007. - Т. 76. - № 1. - С. 3‑26.
-
Раков И.Г. Нанотрубки і фуллерены, – М.: Логос, 2006.















