151478 (621732), страница 2
Текст из файла (страница 2)
Аналогично можно выразить линейные токи через фазные токи генератора.
На рис. 10 представлена векторная диаграмма симметричной системы линейных и фазных токов. Ее анализ показывает, что при симметрии токов
. (5)
Помимо рассмотренных соединений «звезда - звезда» и «треугольник - треугольник» на практике также применяются схемы «звезда - треугольник» и «треугольник - звезда».
4. Активная и реактивная и полная мощности трехфазной симметричной системы
Активной мощностью трехфазной системы называется сумма активных мощностей всех фаз источника энергии, равная сумме активных мощностей всех фаз приемника.
В симметричной трехфазной системе, т.е. системе с симметричными генератором и приемником, при любой схеме их соединений для каждой фазы мощности источника энергии приемника одинаковые. В этом случае P=3Pф и для каждой из фаз справедлива формула активной мощности синусоидального тока:
где
- угол сдвига фаз между фазными напряжением и током.
В общем случае реактивной мощностью трехфазной системы называется сумма реактивной мощности всех фаз источника энергии, равная сумме реактивных мощностей всех фаз приемника. Реактивная мощность симметрична трехфазной системе по
или после замены действующих значений фазных тока и напряжения линейными.
Комплексной мощностью трехфазной системы называется сумма комплексных мощностей фаз источника энергии, равная сумме комплексных мощностей всех фаз приемника.
Полная мощность симметричной трехфазной системы
S = v3 Uл Iл .
5. Сравнение условий работы трехфазных цепей при различных соединениях фаз приемника
Схема соединения трехфазного приемника не зависит от схемы соединения трехфазного генератора. Соединение фаз приемника по схеме треугольник часто переключается на соединение по схеме звезда для изменения тока и мощности, например для уменьшения пусковых токов трехфазной двигателей, изменения температуры трехфазных электрических печей и т.д.
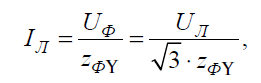
При соединенияя приемника по схеме звезда между действующими значениями фазных и линейных токов и напряжений справедливы соотношения
Iϕγ=Uϕγ/zϕ=Iлγ; Uϕγ = Uл/√3,
из которых следует, что
Iлγ= Uл/√3zϕ.
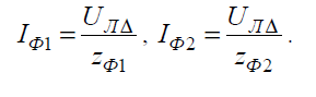
При соединение приемника по схеме треугольник между действующими значениями фазных и линейных токов и напряжений справедливы соотношения
IϕΔ=UϕΔ/ zϕ=IлΔ/√3; UϕΔ = Uл,
Из которых следует
IлΔ=√3Uл/zϕ.
6. Измерение активной мощности трехфазной системы
При симметричной нагрузке трехфазной системы для измерения мощности пользуются одним однофазным ваттметром, включенным по схеме, показанной на рис. 232 (а — для соединения звездой; б — для соединения треугольником). По последовательной обмотке ваттметра в этом случае протекает фазный ток, а параллельная обмотка включена на фазное напряжение. Поэтому ваттметр покажет мощность одной фазы. Для получения мощности трехфазной системы нужно показание однофазного ваттметра умножить на три.
При несимметричной нагрузке в четырехпроводиой сети трехфазного тока для измерения мощности применяется схема трех ваттметров (рис. 233). Каждый однофазный ваттметр измеряет мощность одной фазы. Для получения мощности трехфазной системы необходимо взять сумму показаний трех ваттметров.
При переменной нагрузке трудно получить одновременный отсчет показаний трех ваттметров.
Кроме того, три однофазных ваттметра занимают много места. Поэтому часто применяют один трехэлементный трехфазный ваттметр, представляющий собой соединение в одном приборе трех однофазных ваттметров. У трехэлементного электродинамического ваттметра три подвижные параллельные катушки насажены на одну ось, связанную со стрелкой, и общий момент, полученный в результате сложения механических усилий каждой катушки, будет пропорционален мощности, потребляемой в трехфазной сети. В других конструкциях подвижные катушки, расположенные в разных местах, связаны между собой гибкими лентами и передают суммарное усилие на ось со стрелкой.
Активную мощность трехфазной сети при равномерной нагрузке можно определить при помощи трех приборов: амперметра, вольтметра и фазометра — по формуле
где U и I — линейные напряжения,
— Угол сдвига между фазным напряжением и током.
Мощность трехпроводной трехфазной сети при любой нагрузке (равномерной или неравномерной) независимо от способа соединения потребителей (звездой или треугольником) может быть измерена по схеме двух ваттметров.
По первому закону Кирхгофа, сумма мгновенных значений токов всех трех фаз равна нулю:
Откуда
Мгновенная мощность трехфазной системы будет
где u с индексами — мгновенные значения фазных напряжений.
Подставляя в последнее выражение значение тока i2, получим
Полученное уравнение показывает, что один из ваттметров надо включить так, чтобы по его токовой катушке протекал ток первой фазы, а катушка напряжения находилась бы под разностью напряжений первой и второй фаз; другой ваттметр следует включить так, чтобы по его токовой катушке протекал ток третьей фазы, а катушка напряжения находилась бы под разностью напряжений третьей и второй фаз.
Сложив показания обоих ваттметров, получим мощность всех трех фаз.
На рис. 234, а — в показаны три варианта для схемы двух ваттметров.
На схемах видно, что последовательные обмотки ваттметров включают в любые два линейных провода сети. Начала параллельных обмоток каждого ваттметра подключаются к тому же проводу, в который включена последовательная обмотка ваттметра. Концы параллельных обмоток подключаются к третьему линейному проводу.
При симметричной активной нагрузке и соs = 1 показания ваттметров равны между собой. При соs , не равном единице, показания ваттметров не будут равны. При соs , равном 0,5, один из ваттметров покажет нуль. При соs меньшем 0,5, стрелка этого прибора начнет отклоняться влево. Чтобы получить показание прибора, необходимо переключить концы его последовательной или параллельной обмотки.
Для измерения активной мощности трехфазной системы по показаниям двух ваттметров нужно складывать их показания или вычитать из показания одного ваттметра показание другого ваттметра, которое было отрицательным. Схема измерения мощности двумя ваттметрами с помощью измерительных трансформаторов напряжения и тока дана на рис. 235.
Удобнее измерять мощность при помощи трехфазного ваттметра, в котором совмещены два прибора, включенные по схеме двух ваттметров и действующие на одну общую ось, с которой связана стрелка. В приборах электродинамической и ферродинамической системы две подвижные катушки, расположенные на одной оси или связанные гибкими лентами, вращают одну ось. В приборах индукционной системы два элемента вращают два диска, сидящие на одной оси, или два элемента действуют на один диск. Схема включения двухэлементного трехфазного ваттметра дана на рис. 236.
В сетях высокого напряжения трехфазный ваттметр включается при помощи измерительных трансформаторов напряжения и тока.
-
Симметричная трехфазная цепь с несколькими приемниками
Расчет трехфазной цепи в симметричном режиме сводится к расчету одной фазы и проводится аналогично расчету обычной цепи синусоидального тока.
Дано: - линейное напряжение; UЛ
ZЛ - сопротивление линии;
ZФ1 - фазное сопротивление нагрузки 1;
ZФ2 - фазное сопротивление нагрузки 2.
Последовательность расчета:
-
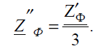
Сопротивление двух треугольников, соединенных параллельно, необходимо заменить эк-вивалентным треугольником с сопротивлением фаз:
2. Полученный эквивалентный треугольник следует заменить эквивалентной звездой с сопротивлением фаз:
-
Определяют фазные сопротивления эквивалентной звезды с учетом ZЛ:
-
Дальнейший расчет не требует применения комплексного метода. Достаточно определить действующее значение линейного тока
затем найти действующие значения фазного напряжения эквивалентной звезды приемника
и линейного напряжения приемника
Действующие значения фазных токов приемников определяются по закону Ома:
-
Несимметричный режим трехфазной цепи
Несимметричный режим в трехфазной системе имеет место, если нарушается хотя бы одно из условий симметрии фазных ЭДС источника —
и равенства сопротивлений фаз приемника ZA = ZB = ZC.
Рис. 1
При соединении фаз приемника звездой и наличии нейтрального провода (рис. 1) в общем случае несимметричного режима ток в нейтральном проводе I0 отличен от нуля и существует напряжение между нейтралями приемника и источника U0'0. В связи с этим расчет токов нельзя проводить изолированно по фазам, как в симметричном режиме.
Для расчета рассматриваемой цепи удобнее всего воспользоваться методом узловых напряжений, так как в схеме содержатся всего лишь два узла. Для единственного узлового напряжения имеем уравнение
из которого непосредственно находим напряжение между нейтральными точками:
Для токов в цепи найдем далее
и аналогично для
и
, а
. Отсюда следует, что токи во всех трех фазах несимметричной системы взаимозависимы, т. е. изменение сопротивления одной из фаз ведет к изменению тока и в остальных фазах, так как при этом изменяется напряжение U0'0.
Полученная формула относится также и к цепи с изолированной нейтралью, для перехода к которой следует положить лишь Y0 = 0. Фазные токи в этом случае определяют по тем же формулам, что и выше.
Значения тока в несимметричной нагрузке, соединенной треугольником, при заданных фазных ЭДС можно рассчитывать с помощью преобразования треугольника ZAB, ZBC, ZCA в звезду, сопротивления фаз которой выражаются формулами:















