151140 (621585), страница 5
Текст из файла (страница 5)
Рассмотрим сначала ионно-оптическую систему, предназначенную для формирования ионных пучков иэ ионов, которые образуются в контактных ионных источниках. В этом случае ионы поступают в ускоряющее пространство с фиксированной твердой поверхности и граничные условия записываются в виде соотношений, выражающих распределение потенциала, напряженности поля и плотности ионного тока по поверхностям источника и электродов.
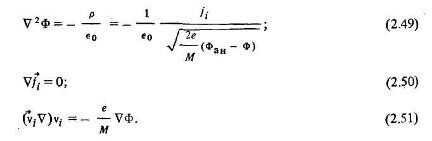
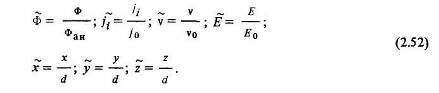
Введем масштабы величин, входящих в основные уравнения и в граничные условия. В качестве масштаба потенциала естественно принять потенциал анода Фан, в качестве линейного масштаба – ускоряющую длину а, в качестве масштаба скорости – скорость v0 = V-Фан приобретаемую ионами при прохождении разности потенциалов, равной масштабу потенциала. За масштаб плотности ионного тока примем среднюю плотность ионного тока /0 на анодной поверхности (поверхности ионного источника), за масштаб напряженности – среднюю напряженность электрического поля в ускоряющем пространстве Ео = Фан/У. Безразмерные переменные условимся отмечать значком ~:
Подставляя эти соотношения в исходные уравнения, и выполняя элементарные преобразования, получаем систему уравнений в безразмерных переменных:
уравнений в безразмерных переменных. При этом входящие в эти уравнения комплексы, составленные из определяющих величин, в подобных процессах имеют одинаковые численные значения и являются критериями подобия. В систему уравнений (2.53) входит лишь один безразмерный комплекс, который является критерием подобия ионных течений и обозначается буквой у:
Таким образом, в геометрически подобных ионно-оптических системах ионные течения будут подобными, если они характеризуются одинаковыми значениями критерия у и если граничные условия на поверхностях электродов могут быть представлены в виде тождественных безразмерных соотношений. В подобных ионных течениях геометрические характеристики ионных пучков (в частности, расходимость пучка) совпадают, а параметры течения (Ф, р,/7, v) в сходственных точках ускоряющего пространства определяются по соотношениям (2.52).
Выражение для критерия подобия у можно представить в более простом виде, если ввести в рассмотрение эквивалентный плоский диод. Так называется двухэлектродный плоский ускоритель, работающий в режиме ограничения тока пространственным зарядом, в котором ускоряющее напряжение и средняя плотность тока на анодной поверхности такие же, как в рассматриваемой ионно-оптической системе. Межэлектродное расстояние в эквивалентном плоском диоде обозначим сэ. Согласно закону Ленгмюра–Богуславского
Таким образом, критерий у равен умноженному на 4/9 квадрату отношения межэлектродных длин рассматриваемой ионно-оптической системы и эквивалентного плоского диода.
Когда ионные пучки формируются из ионов, поступающих в ускоряющую систему с поверхности плазмы, то для подобия ионных течений кроме перечисленных выше условий требуется, чтобы уравнение граничной поверхности плазмы в безразмерных переменных было одинаковым для разных ионных источников. При формировании ионных пучков из плазмы газоразрядных источников на граничной поверхности сФ/сх = О в силу квазинейтральности плазмы. Следовательно, здесь применимо уравнение Ленгмюра–Богуславского, которое в этом случае является соотношением между плотностью ионного тока, поступающего в ускоряющую систему, приложенной разностью потенциалов и толщиной слоя пространственного заряда между ускоряющим электродом и границей плазмы. Если, например, при заданном ускоряющем напряжении изменяется плотность тока, то это приводит к изменению размеров слоя пространственного заряда и формы граничной поверхности. Следовательно, форма граничной поверхности должна определяться критерием у. При более подробном анализе, который здесь не приводится, оказалось, что при фиксированном значении у форма граничной поверхности может изменяться в зависимости от режима работы газоразрядного ионного источника (концентрации ионов, электронной температуры и др.), Однако если ускоряющая разность потенциалов Фан значительно превращает электронную температуру Те:
то форма граничной поверхности плазмы не зависит от режима работы ионного источника и однозначно определяется величиной критерия подобия у.
Рассмотрим конструкцию ионно-оптической системы (см. рис. 2.3), с помощью которой возможно сформировать ионные пучки с большим током (на тяжелых рабочих веществах до 20 – 30 А, на водороде – до 100 А). Формирующий, ускоряющий и замедляющий электроды выполнены в виде плоской сетки из металлических прутков, закрепленных своими концами в соответствующей паре кварцевых державок. Прутки ускоряющего и замедляющего электродов крепятся на своих кварцевых державках с помощью металлических обойм. Обоймы размещены на кварцевых державках таким образом, что при разогреве они могут удлиняться, не вызывая механических напряжений, и обеспечивают электрический контакт прутков электрода с источником питания. Пазы в кварцевых державках для крепления прутков имеют определенный шаг. Концы кварцевых державок длиной 20 – 40 мм служат для крепления электродов и для высоковольтной изоляции. Крепление и юстировка формирующего электрода осуществляется посредством прижатия Державок винтами к передней крышке разрядной камеры и винтами – через пружины к поверхности юстировочной пластины. В этом случае прутки электрода имеют непосредственный контакт с разрядной камерой. Крепление и юстировка ускоряющего и замедляющего электродов осуществляются так же, как и формирующего, только концы их кварцевых державок прижимаются к крышке разрядной камеры через соответствующие вкладыши, обеспечивающие зазор между электродами. Так как нарезка пазов в кварцевых державках производится одновременно, то прижатие их винтами к котировочной пластине обеспечивает надежную юстировку электродов (совпадайте щелей).
Замедляющий и ускоряющий электроды выполнялись диаметром 2 мм, формирующий – из прутков диаметром 2; 1 и 0,5 мм с шагом 4 мм (соответственно изучались три варианта ионно-оптической системы). Прутки – диаметром 1 и 0,5 мм натягивались индивидуальными пружинами. Ускоряющая длина составляла 2 мм в первом варианте и 2,5 мм во втором и третьем вариантах ионно-оптической системы. Максимальная полезная длина прутков (под пучком) составляла 150 мм. Полезная длина кварцевых державок (ширина области под пучком) также была равной 150 мм. Следовательно, максимальная площадь поперечного сечения в исследованной системе составляла 225 см2.
Экспериментальное исследование характеристик описанной системы проводилось совместно с изученным ранее газоразрядным источником ионов, работавшим на висмуте. Температура электронов в источнике поддерживалась равной 2 – 3 В. В соответствии с теоретически полученной формулой (2.57) ускоряющее напряжение при экспериментах принималось равным 3 – 4,5 кВ.
Эксперименты показали, что оптимальное значение критерия подобия 70пт> при котором угол расходимости ионного пучка минимален, не зависит от ускоряющего напряжения (изученный диапазон от 4,5 до 14 кВ) и составляет при диаметре пучков формирующего электрода 2; 1; 0,5 мм соответственно около 0,16; 0,26 и 0,27.
Постоянное значение 7 опт указывает на справедливость изложенной выше теории подобия для случая формирования ионных пучков из плазмы при соблюдении условия (2.57). Зная 7Опт> можно определить оптимальное значение ускоряющего напряжения при заданных плотностях йодного тока и рассчитать оптимальные параметры геометрически подобных конструкций ускоряющей системы для любых рабочих веществ.
Другим параметром, характеризующим ионно-оптическую систему, является геометрическая прозрачность формирующего электрода
Как уже указывалось, в современных ионных источниках коэффициент использования массы достаточно высок (до 0,9 – 0,95), но все же некоторое количество атомов рабочего вещества поступает в ионно-оптическую систему с тепловыми скоростями. В результате в ионно-оптической системе могут протекать такие процессы, как рассеяние и перезарядка ионов на атомах, ионизация атомов ионами и др. В условиях ионных двигателей при относительных скоростях ионов и атомов 103 – 104 м/с наиболее вероятным процессом является резонансная перезарядка ускоренных ионов на нейтральных атомах. При перезарядке ускорений ион приобретает электрон и становится быстрым атомом, продолжающим движение со скоростью, равной скорости иона в момент перезарядки. Атом, потерявший электрон, становится вторичным ионом, начальная скорость которого равна тепловой скорости атома (около 103 м/с).
В трехэлектродной ионно-оптической системе большинство вторичных ионов не может преодолеть потенциальный барьер между ускоряющим и замедляющим электродами, ионы остаются в «потенциальной яме» и в конце концов попадают на ускоряющий электрод, который имеет наиболее низкий отрицательный потенциал. Величина потенциального барьера в замедляющем зазоре ионно-оптической системы определяется коэффициентом замедления ионного пучка
где Фк – абсолютная величина потенциала ускоряющего электрода; Фан – потенциал фокусирующего электрода; потенциал замедляющего электрода принимается равным нулю.
Энергия вторичных ионов в плоскости ускоряющего электрода может составлять несколько сотен электронвольт. Бомбардируя ускоряющий электрод, вторичные ионы вызывают его катодное распыление. Наряду с вторичными ионами ускоряющий электрод при плохой фокусировке ионного пучка может перехватывать и первичные ионы, обладающие энергией в несколько килоэлектронвольт и вызывающие особенно интенсивное распыление ускоряющего электрода.
Эксперименты проводились на многощелевой ионно-оптической системе. Формирующий, ускоряющий и замедляющий электроды были выполнены из вольфрамовых прутков диаметром 1 мм при шаге расположения прутков 3 мм. Ускоряющий и замедляющий зазоры составляли соответственно 2 и 1 мм. Ионно-оптическая система имела пять щелей шириной 2 мм и длиной 30 мм. Формирование ионных пучков осуществлялось из аргоновой плазмы. Измерялся ток на ускоряющий электрод для различных расходов аргона при постоянных токе пучка, ускоряющем и замедляющем напряжениях (т.е. при неизменной форме пучка и фокусировке). Постоянство тока пучка при изменении расхода обеспечивалось регулированием тока эмиссии катода газоразрядного источника ионов.
Вопросы нейтрализации объемного заряда ионных пучков
Для нормальной работы ионных двигателей в условиях космического пространства необходима нейтрализация объемного заряда и тока истекающих ионных пучков. Нейтрализация объемного заряда и тока требуется также и в плазменных двигателях с анодным слоем, которые рассматриваются в следующей главе. Эта задача решается с помощью специального нейтрализатора – источника электронов, который устанавливается на выходе из ускоряющей системы.
Система нейтрализации должна удовлетворять следующим основным требованиям.
-
Энергетическая цена электрона (отношение расходуемой мощности к выходному электронному току) должна быть минимальной.
-
Газовая эффективность источника электронов (отношение электронного тока к расходу рабочего вещества) должна быть возможно
более высокой. -
Схема электропитания нейтрализатора должна быть простой, вероятность безотказной работы и конструктивный ресурс не должны
быть ниже, чем у остальных элементов ЭР Д.
В ходе создания наземных прототипов ионных двигателей и плазменных двигателей с анодным слоем были исследованы различные виды нейтрализаторов: проволочные прямоканальные катоды, плазменные источники электронов и полые катоды.
В наибольшей степени этим требованиям отвечают плазменные нейтрализаторы и нейтрализаторы на основе полого катода. На рис. 2Л8 изображен газоразрядный плазменный нейтрализаторе Он состоит из эмитирующего элемента (катода) 1 в виде трубочки из гексаборида лантана с малым внутренним отверстием, стартового нагревателя 2, выполненного из вольфрамовой проволоки, тепловых экранов 3 и поджигающего электрода 4. Подача газообразного рабочего вещества осуществляется по трубчатому молибденовому токоподводу 5, обладающему малой теплопроводностью, После предварительного прогрева и срабатывания поджигающего электрода в газообразном рабочем веществе между катодом и ионным пучком загорается низковольтная дуга. Образующаяся плазма истекает из нейтрализатора, создавая так называемый «плазменный мост», охватывающий часть ионного пучка, по которому электроны беспрепятственно поступают в ионный пучок.
На рис» 2,19 изображена схема диафрагмированного газопроточного полого катода – нейтрализатора, обладающего наилучшими характеристиками по цене иона и газовой эффективности. Нейтрализатор может работать в авторежиме, т.е. без нагрева катода от постороннего источника















