151080 (621563), страница 2
Текст из файла (страница 2)
Можливість хаотичного руху здається на перший погляд несумісною із самим визначенням динамічної системи, заснованому на твердженні про можливості однозначного визначення кінцевого стану по вихідному. Якщо намагатися підійти до проблеми, взявши за відправну точку яку-небудь реальну фізичну систему, то питання здається зовсім непростим. Однак є інший шлях – звернутися до моделей, що представляють собою штучно сконструйовані іграшкові приклади, які свідомо являють собою динамічні системи, допускають детальний теоретичний аналіз й демонструють хаос.
Раніше ми розглядали приклади динамічних систем з хаотичною поведінкою, які сконструйовані штучно. Чи може виникати хаос у фізичних системах або їхніх реалістичних моделях, наприклад, при описі звичними для більшості фізиків диференціальними рівняннями. Класичною стала модель Лоренца.
В 1963 р. американський дослідник Едвард Лоренц, що займався проблемами прогнозування погоди, опублікував у журналі «Journal of Atmospheric Sciences» статтю «Детермінований неперіодичний потік». Ця робота була присвячена дослідженню модельної нелінійної системи трьох звичайних диференціальних рівнянь першого порядку, що виходила як результат певних наближень при аналізі задачі про конвекцію шару рідини, що підігрівається знизу. При чисельному розв’язку завдання на комп'ютері виявлялося встановлення в системі хаотичного режиму, що характеризувався складною, неперіодичною зміною динамічних змінних у часі. Проте, цей режим можна розглядати як стаціонарний, оскільки його статистичні характеристики, усереднені за досить великий інтервал часу, залишаються постійними. Цікаво, що система рівнянь Лоренца застосовується не тільки до завдання про конвекцію в шарі, але й до інших систем. До них відносяться одномодова модель лазера, конвекція в трубці, модель водяного колеса, дисипативний осцилятор з інерційним збудженням.
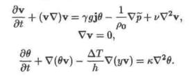
Розглянемо шар рідини глибиною h, що перебуває в полі сили тяжіння. Нехай на верхній межі підтримується постійна температура То, а на нижній межі То + ∆Т.
Через те що нагріта рідина легша за холодну, при досить великій різниці температур виникає конвекційний потік рідини, опис якого й становить предмет дослідження. У вихідній постановці задачі ми маємо справу з розподіленою системою – її стан характеризується полями розподілу швидкості v (x, y, z, t), густини (x, y, z, t) і температури Т ((x, y, z, t), що еволюціонують у часі. Зміна цих полів у часі описується системою рівнянь із частковими похідними
(3.1)
де
- векторний оператор Гамильтона (i, j, k - орти прямокутної системи координат), елемент g обумовлений присутністю сили ваги,
- поле тиску,
- коефіцієнт кінематичної в'язкості,
- коефіцієнт температуропровідності,
- коефіцієнт теплового розширення.
Ми хочемо тепер одержати наближений опис, у рамках якого можна було б працювати з скінченномірною динамічною системою. Які можна зробити припущення? По-перше, обмежимося двовимірним заданням. Будемо вважати систему відстані уздовж осі г, перпендикулярною до площини малюнка. Нехай всі змінні величини не залежать від
і
- компонента швидкості відсутня. По-друге, використаємо так назване наближення Бусинеска. Воно полягає в тому, що рідина вважається мало стиснутою й залежність густини від температури враховується в рівняннях тільки в одному місці, у правій частині рівняння для швидкості. Покладемо, що
(3.2)
де
- відхилення поля тисків від гідростатичного тиску
а
- відхилення температури від лінійного профілю, і використаємо в правій частині першого рівняння (3.1) наступне подання:
(3.3)
З огляду на те, що g = -jg , переписуємо рівняння у вигляді:
Корисно помітити, що
, оскільки в другому рівнянні (3.4)
. На верхній і нижній краї шару накладемо граничні умови, що виражають сталість температури й відсутність потоку рідини через границю:
(3.5)
Розпишемо векторні рівняння в координатах, позначаючи
x- і у-компоненти швидкості через u і
. Щоб записати співвідношення для компонентів швидкості, слід відмітити , що з умови нульової дивергенції
випливає, що U та V повинні виражатися через похідні від однієї й тієї ж функції
, яка називається функцією течії:
(3.6)
Функція течії має вигляд:
(3.7)
Тоді для компонентів швидкості маємо
(3.8)
Далі, можна підставити вираження (3.8) у рівняння (3.4) і, використовуючи співвідношення ортогональності для базисних функцій, одержати систему рівнянь.
(3.9)
Прирівнюючи коефіцієнти в лівій і правій частині, одержуємо:
(3.10)
Із другим рівнянням поступаємо аналогічно. Різниця, однак, у тім, що в лівій частині тепер присутні дві просторові моди – комбінації косинусів та синусів:
(3.11)
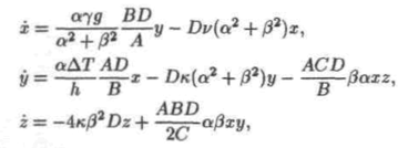
Отже, ми знайшли систему трьох звичайних диференціальних рівнянь для динамічних змінних X, Y, Z. Щоб з нею було зручно працювати, корисно привести рівняння до безрозмірного виду за допомогою деякої заміни змінних і параметрів. Підставимо в (3.10) - (3.11) X = Ах, Y = Ву, Z = Cz, t = Dτ, де А, В, C, D - деякі постійні коефіцієнти. Тоді отримуємо:
Спробуємо підібрати коефіцієнти так, щоб вид рівнянь максимально спростився.
(3.13)
Крім того введемо безрозмірні параметри:
(3.14)
Тоді рівняння (3.12) матимуть вигляд:
(3.15)
Це і є модель Лоренцо (3.15). Вона являє собою динамічну систему із тривимірним фазовим простором. Миттєвий стан визначається набором трьох змінних (х, y, z), а оператор еволюції визначений конкретним видом рівнянь (3.15). Змінна х характеризує швидкість обертання конвекційних валів, величини y и z відповідають за розподіл температури, відповідно, по горизонталі й по вертикалі. Параметр b визначається геометрією конвекційного осередку, а саме, відношенням її вертикального й горизонтального розмірів а. Параметр
є відношення коефіцієнта кінематичної в'язкості й коефіцієнта температуропровідності v/k. Його називають числом Прандтля. Комбінацію
називають числом Рєлея. У свій час Рєлей показав, що умові виникнення конвекційного ходу у вигляді валів відповідає певне критичне значення цього числа, а саме,
. З формули (3.10) видно, що параметр г являє собою відношення
.
Розділ 4. Фрактальні структури й розмірність дивних атракторів
Дисипативні динамічні системи володіють тією властивістю, що їх розв’язки при
притягуються до деякої підмножини міри нуль у фазовому просторі. Ця підмножина для випадку регулярної динаміки може бути або стійкою стаціонарною точкою, або стійким граничним циклом, або інваріантним тором. Всі ці підмножини є підмножинами фазового простору. Математичним вираженням хаотичних коливань дисипативних систем служить дивний атрактор, який уже не володіє гладкою структурою й достатньою безперервністю. Геометрична будова дивних атракторів більш складна. Вони володіють геометричною {масштабною) інваріантністю, або, як іноді говорять, скейлинговою структурою.
Щоб краще уявити собі, про що йде мова, розглянемо характерний приклад – атрактор Ено, що виникає в простій моделі, яка описується точковим відображенням Ено.
Ми вже знаємо, що дивні атракторы можуть з'являтися в системах диференціальних рівнянь, розмірність фазового простору яких більше або рівна трьом,
. Однак складні геометричні притягаючі множини, можуть виникати й у так званих точкових відображеннях – динамічних системах з дискретним часом. Використовуючи точкові відображення, можна описувати системи самої різної природи – від фізичної до біологічної. Відображення Ено – це оборотне двовимірне точкове відображення, яке в принципі можна розглядати як відображення Пуанкаре для деякої двомірної січної поверхні і трьохмірного потоку.
Розглянемо в п-мірному фазовому просторі динамічної системи деяку множину А. Покриємо дану множину п-мірними кубиками зі стороною а так, щоб ці кубики містили всі точки множини сили А. Нехай N – мінімальне число кубиків, необхідних для покриття А. Розглянемо межу
(4.1)
Величина
є метричною розмірністю й називається ємністю або фрактальною розмірністю (5). Зауважимо, що в літературі ємність іноді називають також хаусдорфовою або ентропійною розмірністю.
Для регулярних сил (наприклад, шматка тривимірного евклідового простору, поверхні або лінії) фрактальна розмірність дорівнює цілому числу (відповідно 3, 2, 1) і співпадає зі звичайною розмірністю. Дійсно, при малих а з (4.1) одержуємо:
(4.2)
Однак для нерегулярних сил, що володіють масштабно-інваріантною структурою, фрактальная розмірність має дробове значення.
Визначимо спочатку фрактальную розмірність множин, які ми розглянули раніше, множини середніх третин і килима Серпиньського.
З побудови сил середніх третин витікає, що вони
Рис. 4. Побудова множини Кантора. складаються із
розділених інтервалів довжиною
кожний. Справді, при к=0 N=1, a=1. Якщо к=1, то N=2, a=1/3, для к=2, N=4, a=1/9 і для k = m
і
(рис. 4).
Тут к означає число ітерацій побудови сил. Отже, використавши формулу (4.1), одержимо:
Визначимо тепер фрактальну розмірність килима Серпиньського. Маємо
К=1, N= 8=81 а=1/31
К=2, N= 8·8=82 а=1/32
К=3, N= 8·8·8=83 а=1/33
К=m, N= 8m а=1/3m
Таким чином, килим Серпиньского – це вже не лінія, розмірність якої дорівнює одиниці, але ще й не поверхня, оскільки розмірність поверхні дорівнює двом. Це щось проміжне лінією й двовимірною поверхнею. Самим несподіваним є те, що в природі дійсно існують об'єкти, що представляють собою аналог килима Серпиньського в тому розумінні, що їхня розмірність більше одиниці й менше двох. Найбільш відомі з них – це фрактальні агрегати колоїдних часток. Отже, канторова сила – це не чиста математична абстракція.
Як ми вже відзначали, дивні атрактори звичайно близькі по своїй структурі до канторових сил, тому варто очікувати, що розмірність дивного атрактора буде дробовою. Таким чином, значення розмірності можна використати як критерій відмінності простих атракторів від дивних. В основній роботі Рюеля й Такенса термін "дивний" атрактор був уведений авторами саме для того, щоб підкреслити, що такі атрактори не є гладкими множинами.















