151036 (621551), страница 2
Текст из файла (страница 2)
1.4 Выбор сглаживающего реактора
Требуемая суммарная индуктивность якорной цепи преобразователь – двигатель
(1.12)
Гн
В
действующее значение первой гармоники выпрямительного напряжения. При предельном угле регулирования α=900 для соответствующего значения числа пульсаций m=6 определяется по известному значению
, т.е.
минимальный ток нагрузки преобразователя, принимаемый равным 5% от
.
m- число пульсаций выпрямленного напряжения за период частоты напряжения сети.
- угловая частота первой гармоники напряжения сети при
Гц.
Необходимая индуктивность сглаживающего реактора
(1.13)
мГн
Индуктивность фазы трансформатора, приведенная к контуру двигателя
(1.14)
Гн
напряжение короткого замыкания трансформатора (
);
Если
в (1.14) получилась меньше или равна нулю, то применять реактор в схеме нет необходимости, т.к. сумма индуктивности
достаточна для обеспечения непрерывности тока двигателя.
Выбираем сглаживающий реактор [2]
По следующим данным:
мГн
А
Тип РТСТ-41-1,01
Р – реактор
Т – трёхфазный
С – сглаживающий
Т - токоограничивающий
В
А
мГн
мОм
Масса 23 кг
1.5 Описание работы схемы УВ
Схема приведена в конце курсового проекта. Приложение 1
На схеме:
- входной согласующий трансформатор ТV;
- автоматический выключатель QF;
- силовые предохранители FU;
- контактор КМ;
- блок силовых полупроводниковых приборов UZ;
- дроссель L;
- приборы индикации тока и напряжения на выходе устройства RS;
- органы контроля и управления устройства SB;
- блоки системы управления преобразователем U;
- блоки источника питания системы управления G;
- входные и выходные зажимы силовых цепей X1, Х2.
Трехфазное напряжение питания Uc=380 В промышленной частоты f=50 Гц, через входные клеммы подается на разъединитель, предназначенный для предотвращения подачи напряжения на установку при наладке, профилактических осмотрах с целью обеспечения видимого разрыва электрической цепи. При включении разъединителя напряжение подается на согласующий трансформатор (схема соединения звезда-звезда), осуществляющий гальваническое разделение и согласование напряжения сети с входным напряжением выпрямителя. При замыкании автоматического выключателя, установленного для защиты питающих сетей и цепей нагрузки от токов короткого замыкания и тепловой защиты от длительной перегрузки, напряжение через предохранители подается на входные клеммы силового контактора. Силовой контактор предназначен для автоматического и дистанционного включения установки на нагрузку и отключения вторичных цепей. При включении силового контактора и подачи управляющих выходных импульсов СИФУ на силовые полупроводниковые приборы за счет регулирования электрического угла открытия тиристоров происходит регулируемое преобразование энергии переменного тока в энергию постоянного тока.
Преобразователь выполнен по трехфазной, полностью управляемой тиристорной мостовой схеме, что позволяет при работе на электрическую машину постоянного тока получать как выпрямительный, так и инверторный режим работы или потреблять и отдавать энергию в сеть, обеспечить как двигательный, так и генераторный режим работы двигателя. Для сглаживания пульсаций выпрямленного тока в цепь нагрузки включен дроссель. Устройство позволяет регулировать напряжение в пределах 0 – Ud. Так как номинальное напряжение катушки контактора, цепей управления преобразователя и источников питания U=220 В, то для обеспечения такого уровня напряжения предусмотрен нулевой провод РЕ. Для сигнализации наличия напряжения включения и отключения преобразователя на нагрузку в схеме установки предусмотрены сигнальные индикаторы HL.
В состав трехфазного мостового тиристорного преобразователя (рис.7.1) входят две группы тиристоров – катодная VS1, VS3, VS5 и анодная VS2, VS4, VS6, трансформатор и система импульсно-фазового управления СИФУ. Система вырабатывает импульсы управления тиристорами с заданной фазой по отношению к напряжению сети. Тиристоры в каждой группе открываются с интервалом 2π/m (m=6). Углы открытия тиристоров в обеих группах отсчитываются от моментов естественного включения, соответствующих моменту равенства фазных или линейных ЭДС. Ток в преобразователе всегда протекает по двум тиристорам, принадлежащим к различным вентильным группам, и по двум обмоткам трансформатора.
Поэтому при открывании тиристора в фазе а импульсом, поступающим от СИФУ в момент Ue+α (где Ue – угол естественного включения неуправляемого преобразователя) необходимо также подать импульс управления на VS6 фазы в. ЭДС в цепи нагрузки е2d становится равной линейной ЭДС е2аb=ea– eb. В режиме непрерывного тока в момент открывания очередного тиристора ток еще продолжает протекать через ранее открытый тиристор. Время, в течение которого ток переходит с одного тиристора на другой, называется интервалом коммутации γ.
Необходимость одновременного открывания двух тиристоров, принадлежащих разным группам, требует наличия широких импульсов управления (λу > 60°) или сдвоенных узких импульсов, сдвинутых друг от друга на 60°. Выпрямленное напряжение ud описывается кривой линейного напряжения. Пульсации кривой соответствуют шестикратной частоте по отношению к частоте переменного тока (m=6). Длительность протекания тока в каждом тиристоре равна γ+2π/3. Среднее значение тока IVS=Id/3. При больших углах управления (α>90°) тиристор до подачи импульса управления должен выдерживать без преждевременного открытия максимальное значение прямого напряжения, а после его закрытия максимальное значение обратного напряжения и начальный скачок обратного напряжения.
Обратное напряжение определяется линейным напряжением, так как в непроводящую часть периода неработающие тиристоры присоединены к двум фазам трансформатора через работающие. Ток во вторичной обмотке трансформатора переменный и равен сумме токов тиристоров, присоединенных к данной фазе. Поток вынужденного намагничивания в магнитопроводе не возникает, поскольку по вторичным обмоткам, расположенным на разных стержнях, всегда протекают противоположные по направлению и равные по величине токи.
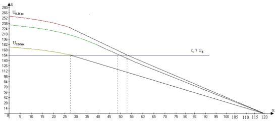
§1.6 Регулировочная характеристика выпрямителя. Расчет
и
В (1.15)
где
для трех фазной мостовой схемы и
для трех фазной нулевой схемы.
В
В
В
В
|
| 00 | 300 | 450 | 600 | 900 |
|
| 292,5 | 256,7 | 204,7 | 146,2 | 0 |
При уменьшении
, получается выпрямленное напряжение
(1.16)
В
В
В
В (1.17)
В
В
|
| 00 | 300 | 450 | 600 | 900 |
|
| 219,3 | 188,6 | 153,5 | 109,6 | 0 |
При повышении
, получается выпрямленное распределение
(1.18)
В
В
В (1.19)
В
В
|
| 00 | 300 | 450 | 600 | 900 |
|
| 321,7 | 276,6 | 225,1 | 160,8 | 0 |
0.7
=154 В
Регулировочная характеристика
Строим кривые мгновенных значений фазных U и U на выходе тиристорной группы при
Строим кривые мгновенных значений фазных U и U на выходе тиристорной группы при
Глава 2. Расчет двухзвенного преобразователя частоты для частотно-регулируемого электропривода перекачки жидкости
2.1 Описание электрической схемы электропривода
Схема приведена в конце курсового проекта. Приложение 2
Основные элементы, входящие в Функциональную электрическую схему асинхронного ЭП с ПЧ: UZ – неуправляемый выпрямитель; L0, Со – фильтр; RT – термистор, ограничивающий ток заряда конденсатора С0; R0 – разрядное сопротивление для конденсатора Со, FU1, FU2 – предохранители; R, С – цепь защиты (снаббер) от перенапряжений на ключах IGBT; RS – датчик тока для организации защиты (FA) от сквозных и недопустимых токов перегрузки через IGBT; VT – VD – интегрированный трехфазный инвертор на IGBT с обратным диодным мостом.













