150766 (621401)
Текст из файла
МОСКОВСКИЙ ГОСУДАРСТВЕННЫЙ УНИВЕРСИТЕТ ПУТЕЙ И СООБЩЕНИЯ
(МИИТ)
Кафедра: теплоэнергетика железнодорожного транспорта
Курсовая работа на тему:
РАСЧЕТ РАСПРЕДЕЛИТЕЛЬНЫХ СЕТЕЙ
ВЫПОЛНИЛ:
Студент гр. ТЭН-412
Драбкин П.Д.
Проверил
Конаков Ю.П.
Москва – 2008г.
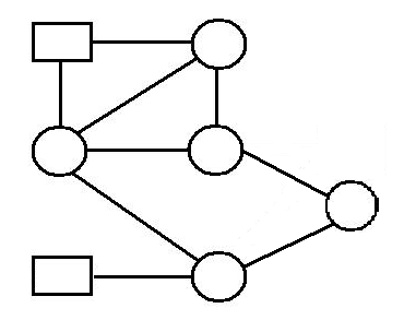
Данные курсового проекта
Схема системы:
Потребление энергоносителя.
| Потребитель | Расход в часы суток, куб. м/сек 0-6 6-12 12-18 18-24 | Геодезическая высота, м. | |||
| 1 | 0.02 | 0.08 | 0.05 | 0.03 | 3.5 |
| 2 | 0.01 | 0.13 | 0.09 | 0.03 | 5.0 |
| 3 | 0.04 | 0.10 | 0.12 | 0.05 | 1.5 |
| 4 | 0.02 | 0.04 | 0.05 | 0.01 | 4.0 |
| 5 | 0.02 | 0.07 | 0.07 | 0.03 | 5.5 |
| НС | 0.5 | ||||
| Б | 10.5 | ||||
| М3/С | 0.11 | 0.42 | 0.38 | 0.15 | |
Длины участков сети.
| Участок | Длина, м. | Участок | Длина, м. |
| НС-1 | 1000 | 2-4 | 1000 |
| НС-2 | 1150 | 4-Б | 1300 |
| 1-2 | 750 | 3-Б | 650 |
| 1-3 | 600 | 4-5 | 1000 |
| 3-2 | 650 |
Расчет системы водоснабжения
График нагрузки сети
Строится как сумма графиков потребления воды всеми потребителями. Режим максимального водопотребления соответствует часам максимальной нагрузки сети. В режиме максимального транзита нагрузка сети - минимальна.
Среднесуточная нагрузка системы определяется интегрированием графика нагрузки сети по времени:
Эта величина равна производительности насосной станции при условии, что в течение суток вода подается насосами равномерно:
Поток воды в водонапорную башню при минимальной нагрузке сети
(режим максимального транзита) равен:
В часы максимального водопотребления башня отдает воду в сеть в количестве:
Выбор диаметров труб для участков сети
Режим максимального транзита является определяющим для выбора диаметров. Вначале задается начальное потокораспределение, которое удовлетворяет первому закону Кирхгофа.
Далее по расходу
по таблице [1] выбираем значения диаметров на участках.
Дальнейший расчет выполняется с помощью программирования. Создается программа, которая вычисляет увязки по методу Лобачева-Кросса. В ней рассчитываются гидравлические характеристики, вычисляются невязки, определяющие меру несоответствия потоков в сети; исходя из этого выполняется контурная поправка для коррекции значений потоков воды на участке.
Данные после работы программы приведены в таблицах:
Qcmin
| Участок | Li | Di |
|
|
| НС-1 | 1000 | 450 | 0.185 | 4.497 |
| НС-2 | 1150 | 350 | 0.08 | 8.42 |
| 1-2 | 750 | 250 | 0.02 | 1.066 |
| 1-3 | 600 | 450 | 0.185 | 2.969 |
| 3-2 | 650 | 250 | 0.065 | 8.135 |
| 2-4 | 1000 | 300 | 0.115 | 6.585 |
| 4-Б | 1300 | 300 | 0.075 | 8.365 |
| 3-Б | 650 | 300 | 0.08 | 4.689 |
| 4-5 | 300 | 150 | 0.02 | 5.79 |
Qcmax
| Участок | Li | Di |
|
|
| НС-1 | 1000 | 450 | 0.164 | 3.57 |
| НС-2 | 1150 | 350 | 0.101 | 5.86 |
| 1-2 | 750 | 250 | 0.032 | 2.28 |
| 1-3 | 600 | 450 | 0.052 | 0.22 |
| 3-2 | 650 | 250 | 0.032 | 2.07 |
| 2-4 | 1000 | 300 | 0.035 | 1.41 |
| 4-Б | 1300 | 300 | 0.074 | 8.24 |
| 3-Б | 650 | 300 | 0.08 | 4.76 |
| 4-5 | 300 | 150 | 0.07 | 4.39 |
REM Драбкин П.Д.
CLS
n = 9: dhmin = .01
d(1) = 450
d(2) = 350
d(3) = 250
d(4) = 450
d(5) = 250
d(6) = 300
d(7) = 300
d(8) = 300
d(9) = 150
l(1) = 1000
l(2) = 1150
l(3) = 750
l(4) = 600
l(5) = 650
l(6) = 1000
l(7) = 1300
l(8) = 650
l(9) = 300
q(1) = .185
q(2) = .080
q(3) = .020
q(4) = .185
q(5) = .065
q(6) = .115
q(7) = .075
q(8) = .08
q(9) = .02
FOR i = 1 TO n
s(i) = .001735 * 1.1 * l(i) / ((d(i) / 1000) ^ 5.3)
NEXT i
10
dh1 = s(1) * q(1) * ABS(q(1)) - s(3) * q(3) * ABS(q(3)) - s(2) * q(2) * ABS(q(2))
dh2 = s(4) * q(4) * ABS(q(4)) + s(3) * q(3) * ABS(q(3)) + s(5) * q(5) * ABS(q(5))
dh3 = -s(7) * q(7) * ABS(q(7)) + s(8) * q(8) * ABS(q(8)) - s(6) * q(6) * ABS(q(6)) - s(5) * q(5) * ABS(q(5))
IF ABS(dh1) < dhmin AND ABS(dh2) < dhmin AND ABS(dh3) < dhmin THEN GOTO 100:
dq1 = .5 * dh1 / (s(1) * ABS(q(1)) + s(9) * ABS(q(9)) + s(2) * ABS(q(2)))
dq2 = .5 * dh2 / (s(2) * ABS(q(2)) + s(3) * ABS(q(3)) + s(8) * ABS(q(8)))
dq3 = .5 * dh3 / (s(4) * ABS(q(4)) + s(7) * ABS(q(7)) + s(8) * ABS(q(8)) + s(5) * ABS(q(5)))
q(1) = q(1) - dq1
q(3) = q(3) + dq1 - dg2
q(2) = q(2) + dq1
q(4) = q(4) - dq2
q(5) = q(5) - dq2+ dq3
q(6) = q(6) - dq3
q(7) = q(7) + dq3
q(8) = q(8) - dq3
GOTO 10
100 :
FOR i = 1 TO n
p(i) = s(i) * (q(i)) ^ 2
NEXT i
PRINT "Q=min"
PRINT "L(i)", "D(i)", " q(i)", "p(i)"
FOR i = 1 TO n
PRINT l(i), d(i), q(i), p(i)
NEXT i
PRINT "dh1="; dh1, "dh2="; dh2, "dh3="; dh3
q(1) = .185
q(2) = .08
q(3) = .055
q(4) = .05
q(5) = .02
q(6) = .025
q(7) = 0.85
q(8) = 0.07
20
dh1 = s(1) * q(1) * ABS(q(1)) + s(3) * q(3) * ABS(q(3)) + s(2) * q(2) * ABS(q(2))
dh2 = s(5) * q(5) * ABS(q(5)) - s(3) * q(3) * ABS(q(3)) - s(4) * q(4) * ABS(q(4))
dh3 = s(7) * q(7) * ABS(q(7)) - s(8) * q(8) * ABS(q(8)) + s(7) * q(7) * ABS(q(7)) + s(5) * q(5) * ABS(q(5))
IF ABS(dh1) < dhmin AND ABS(dh2) < dhmin AND ABS(dh3) < dhmin THEN GOTO 200
dq1 = .5 * dh1 / (s(1) * ABS(q(1)) + s(9) * ABS(q(9)) + s(2) * ABS(q(2)))
dq2 = .5 * dh2 / (s(2) * ABS(q(2)) + s(3) * ABS(q(3)) + s(8) * ABS(q(8)))
dq3 = .5 * dh3 / (s(4) * ABS(q(4)) + s(7) * ABS(q(7)) + s(8) * ABS(q(8)) + s(5) * ABS(q(5)))
q(1) = q(1) - dq1
q(2) = q(2) + dq1
q(3) = q(3) + dq2 - dg1
q(4) = q(4) - dq2
q(5) = q(5) + dq3-dq3
q(2) = q(2) + dq1
q(6) = q(6)+ dq3
q(7) = q(7) - dq3
q(8) = q(8) + dq3
GOTO 20
200
FOR i = 1 TO n
p(i) = s(i) * (q(i)) ^ 2
NEXT i
PRINT "Q=max"
PRINT "L(i)", "D(i)", " q(i)", "p(i)"
FOR i = 1 TO n
PRINT l(i), d(i), q(i), p(i)
NEXT i
PRINT "dh1="; dh1, "dh2="; dh2, "dh3="; dh3
END
Список литературы
-
Конаков Ю. П. Расчет распределительных сетей, Методические указания к курсовому проекту,МИИТ,М.,2000г.
Характеристики
Тип файла документ
Документы такого типа открываются такими программами, как Microsoft Office Word на компьютерах Windows, Apple Pages на компьютерах Mac, Open Office - бесплатная альтернатива на различных платформах, в том числе Linux. Наиболее простым и современным решением будут Google документы, так как открываются онлайн без скачивания прямо в браузере на любой платформе. Существуют российские качественные аналоги, например от Яндекса.
Будьте внимательны на мобильных устройствах, так как там используются упрощённый функционал даже в официальном приложении от Microsoft, поэтому для просмотра скачивайте PDF-версию. А если нужно редактировать файл, то используйте оригинальный файл.
Файлы такого типа обычно разбиты на страницы, а текст может быть форматированным (жирный, курсив, выбор шрифта, таблицы и т.п.), а также в него можно добавлять изображения. Формат идеально подходит для рефератов, докладов и РПЗ курсовых проектов, которые необходимо распечатать. Кстати перед печатью также сохраняйте файл в PDF, так как принтер может начудить со шрифтами.















