150723 (621357)
Текст из файла
Содержание
Введение
-
Разработка технологической схемы нагревателя и краткое описание работы его основных узлов
-
Расчёт мощности нагревателя и параметров электродов
-
Определение расчётной мощности и тока потребителя
-
Разработка схемы электроснабжения
-
Выбор проводников питающей сети
-
Выбор коммутационных и защитных аппаратов
-
Проверка выбранных аппаратов защиты на отключающую способность и срабатывание по однофазному току короткого замыкания на землю
-
Требования к автоматике управления ЭВН
-
Выбор системы регулирования мощности установки
-
Выбор элементов схемы управления, защиты, блокировки и сигнализации
-
Описание работы схемы управления
-
Программирование и настройка элементов схемы управления
-
Расчёт и выбор элементов схемы управления ЭВН
-
Расчёт местного освещения
-
Расчёт удельного расхода электроэнергии на единицу продукции
Заключение
Литература
Введение
Графики нагрузки энергосистемы в нашей стране имеют весьма большие ночные провалы. Заполнение ночных провалов графиков нагрузки даёт возможность включения в это время наряду с другими теплоаккумулирующими приборами установки теплоаккумулирующих ёмкостных электроводонагревателей с оплатой электроэнергии по льготному ночному тарифу, значительно более дешёвому чем дневной. Разбор же горячей воды потребителем может вестись в любое время суток. Именно по этим вышеперечисленным причинам ёмкостные нагреватели получили широкое распространение.
Аккумулирующий водонагреватель имеет сосуд с усиленной теплоизоляцией, обеспечивающий долгое хранение нагретой воды, и устройство для регулирования или ограничения температуры воды. Емкость его обычно зависит от дневной потребности в горячей воде с температурой около 85°С.
Закрытый водонагреватель функционирует под давлением воды в водопроводе. Расход воды регулируется одним или несколькими вентилями в системе слива. Это позволяет обслуживать одним прибором несколько точек разбора. Прибор присоединяется к водопроводной сети через специальную защитно-регулировочную арматуру. Рабочим бакам закрытых водонагревателей придают большую прочность, так как они постоянно находятся под полным давлением водопроводной сети , которое может достигнуть 6*105 Па, а в отдельных случаях и 10*105 Па; при нагреве к этому давлению добавляется давление от расширения воды. Подача холодной воды в рабочий бак из водопроводной сети идёт напрямую, а регулирование расхода горячей воды находится на линии слива, на ней устанавливается вентиль горячей воды. При сливе горячей воды в бак из водопровода поступает такое же количество холодной воды.
Водонагреватели снабжаются термоограничителями, уствака которого значительно выше чем у терморегулятора. Термоограничитель срабатывает только при аварии терморегулятора, отключая нагревательные элементы.
Для обеспечения безопасности эксплуатации закрытых электроводонагревателей применяют предохранительную аппаратуру, например, на линии подвода холодной воды из водопровода монтируется предохранительный клапан, который в случае недопустимого большого повышения давления в рабочем баке уменьшает избыточное давление, спуская излишек воды через специальную воронку в канализацию.
Рабочий бак нагревателя представляет собой цилиндрический резервуар с выпуклым (или вогнутым) днищем и крышкой. Толщину стенок бака определяют расчётом на прочность с учётом испытательного давления воды.
Для установки приборов напольного типа на пол предусматриваются три-четыре ножки или специальное цилиндрическое основание. Лучший материал для рабочего бака – нержавеющая сталь – прочный коррозионно-стойкий материал, но применение её ограничено из-за дефицитности и дороговизны. Защитные покрытия повышают срок службы бака из обычной углеродистой стали. Широкое применение получило горячее или гальваническое цинкование внутренней поверхности стального бака.
В ёмкостных электронагревателях применяют в основном открытые нагревательные элементы, выполненные из проволоки высокого сопротивления, уложенные в керамическое основание, и закрытые (ТЭН). Реже в крупных промышленных нагревателях применяют электродные нагревательные элементы в которых ток, проходя через воду помещённую между двумя пластинами, нагревает её. Для равномерного распределения температуры воды внутри бака нагревательный элемент размещают в нижней его части: чем ниже расположен нагревательный элемент, тем лучше.
Кожух электроводонагревателя – его внешняя оболочка. Он служит для защиты теплоизоляции, электромонтажа нагревателей и терморегуляторов, для крепления на стене или установки на полу, а так же для придания прибору внешнего вида, соответствующего требованиям технической эстетики.
Теплоизоляция – это один из важнейших узлов теплоаккумулирующих электроводонагревателей. Для теплоизоляции используется пространство между рабочим баком и кожухом. Днище, как правило, не теплоизолируется. В качестве теплоизоляционных материалов обычно применяют пробку, минеральную вату, стекловолокно, пенопласт.
Электроводонагреватели снабжают терморегулирующими устройствами, которые подразделяются на следующие типы:
- терморегуляторы , которые при достижении заданной температуры воды отключают, а в последствии включают прибор снова;
- термоограничители, которые при достижении водой заданной температуры отключают электроэнергию. Повторное включение должно осуществляться вручную.
- Предохранительные термоограничители препятствующие увеличению температуры воды, например, в случае отказа терморегулятора.
Потребность в предохранительных термоограничителях, устанавливаемых вместе с терморегуляторами, объясняется возможностью возникновения аварийных ситуаций в результате выхода из строя терморегулятора.
1 Разработка технологической схемы нагревателя и краткое описание
работы его основных узлов
Корпус рассчитываемого аккумулирующего нагревателя представляет собой вертикально расположенный цилиндрический сосуд с двумя полусферами с его торцов. Корпус выполнен из нержавеющей стали, и конструктивно состоит из трёх частей, снабжённых фланцами, и соединённых между собой болтовыми соединениями через резиновую уплотнительную прокладку, для исключения течи в соединениях. Такая конструкция корпуса позволяет легко разбирать и собирать нагреватель для его очистки и доступа к внутренним элементам с целью их замены или ремонта. Подвод холодной воды от централизованной системы водоснабжения осуществляется через двухдюймовый водопроводный вентиль, сетчатый фильтр и предохранительный клапан с нижней стороны бака нагревателя. Фильтр необходим для очистки воды с целью предотвращения загрязнения нагревателя и преждевременного выхода его из строя. Предохранительный клапан предназначен для отвода избыточного количества воды из рабочего бака при её нагреве и закрытом вентиле холодной воды. Отвод горячей воды из нагревателя осуществляется из верхней его части, так как в процессе нагрева тёплая вода поднимается кверху. На отводе горячей воды установлен водопроводный вентиль. В самую нижнюю точку корпуса вварен отвод с дюймовым вентилем для осушения ёмкости в случае ремонта или плановой очистки нагревателя. Все отводы до ближайшего вентиля или клапана выполнены из труб из нержавеющей стали и вварены в корпус нагревателя. Блок пластинчатых электродов выполнен из нержавеющей стали и расположен в нижней части корпуса, так как более холодная вода собирается внизу. Пластины электродов в разрезе представляют собой равносторонний треугольник соединяются в звезду с нулевым проводом и подвешены на четырёх токоведущих стержнях из нержавеющей стали диаметром 20 мм. Для большей механической прочности и исключения возможности возникновения короткого замыкания, вследствие незначительной деформации токоведущих стержней, пластины соединены между собой болтовым соединением через изолирующие эбонитовые втулки и шайбы. Токоведущие стержни выходят и верхней части бака нагревателя, располагаются друг относительно друга в вершинах равностороннего треугольника с центром расположенным на продольной оси бака, изолированы от корпуса резиновыми конусами и являются вводами для подключения силового кабеля. Использование резиновых конусов позволяет не только электрически изолировать стержни от основного корпуса, но и предотвратить течь воды наружу вдоль стержней. Для защиты нагревателя от «сухого» хода и отключения питания при уровне воды в баке ниже установленного в верхней части корпуса предусмотрен датчик электродного типа, изолированный таким же способом как и силовые токоведущие стержни. Если уровень воды в баке опустится ниже нижнего конца электрода, сопротивление между электродом и корпусом резко возрастёт и схема управления снимет питание с нагревателя и подаст соответствующую сигнализацию. Для измерения температуры воды на среднем уровне боковой поверхности корпуса расположен датчик температуры, сигнал с которого поступает на схему управления нагревателем. Измерительным органом датчика температуры является чувствительный терморезистор, изменяющий своё сопротивление пропорциональную температуре среды в которой он расположен, в данном случае воды. Для большей надёжности системы выше датчика температуры расположено термореле, измерительным органом которого является биметаллическая пластина. Реле отстроено на замыкание контактов при температуре превышающей 90°С. В целях электробезопасности корпус нагревателя заземляется. В нормальном режиме эксплуатации нагревателя вентили горячей и холодной воды должны быть открыты для беспрепятственного выталкивания горячей воды обратно в систему водоснабжения в случае если вентили у непосредственного потребителя закрыты, а вентиль осушения закрыт. Клапан избыточного давления является не рабочим а аварийным. Величина уставки давления срабатывания для клапана выбирается в зависимости от давления в системе водоснабжения на уровне установки нагревателя. Для снижения тепловых потерь снаружи корпус электронагревателя теплоизолирован.
2 Вычисление мощности и тока нагревателя и параметров электродов
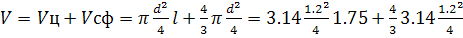
Вычисление объёма бака нагревателя.
В соответствии с исходными данными объём будет состоять из суммы объёмов цилиндра диаметром 1200мм и высотой 1750мм и сферы диаметром 1200мм:
=3.49 (м3)
Вычисление массы воды в нагревателе.
Плотность горячей воды равна γ = 990 кг/м3
Вычисление мощности нагревателя.
где:
C=4.2 кДж/кг°С – теплоёмкость воды;
tн=15 °С – начальная температура воды;
K=1.1 – коэффициент запаса;
η=0,75 – коэффициент полезного действия нагревателя;
τ=6 часов – время нагрева воды в нагревателе от начальной до конечной температур.
По условиям задания нагреватель обеспечивает нагрев воды в ночное время в целях экономии средств (в ночное время электроэнергия стоит дешевле) и выравнивания суточного графика нагрузки. Поэтому целесообразно выбрать время нагрева около 6-7 часов. В сокращении времени нагрева нет необходимости, так как это повлечёт за собой неоправданное увеличение мощности нагревательных элементов и потребляемого тока, а следовательно и увеличение стоимости всего силового оборудования (кабели, электрические коммутационные и защитные аппараты).
Выбор напряжения сети и вычисление линейного и фазного токов нагревателя.
Мощность рассчитываемого нагревателя составляет приблизительно 70кВт поэтому питаться он будет от трёхфазной сети переменного тока напряжением 380В. Использование сети для питания электроводонагревателя с напряжением выше 380В не допустимо из-за повышенной опасности поражения электрическим током, т.к. в нем тепло выделяется непосредственно в воду, которая сама является сопротивлением. Использование для питания электроводонагревателя сети с напряжением менее 220В не представляется возможным из-за больших токов.
Электроды нагревателя соединены по схеме звезда с нулевым проводом.
Вычисление фазного сопротивления.
Вычисление площади и линейных размеров электродов.
Расстояние λ между электродами примем равным 2см.
Удельное сопротивление хозяйственно-питьевой воды ρ=500 Ом*см.
Принимаем электроды квадратной формы со стороной
Для учёта снижения площади электрода при образовании накипи принимаем стороны электрода равными 24см.
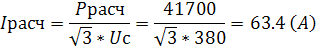
3 Определение расчётной мощности и тока потребителя
Коэффициент использования установленной мощности для промышленных электроводонагревательных установок равен 0.6, а коэффициент мощности равен 1, тогда расчётная мощность установки будет чисто активной и сотавит:
Расчётный ток нагревателя:
4 Разработка схемы электроснабжения
Рассчитываемый нагреватель по надёжности электроснабжения относится к потребителям второй категории. Силовое питание электроводонагревательной установки согласно требованиям к питанию электропотребителей второй категории необходимо осуществлять от двухтрансформаторной цеховой подстанции.
В данном случае были выбраны два трансформатора типа ТМЗ-630, мощностью S=630 кВА, напряжением U = 10/0,4 кВ. При полной загрузке подстанции в нормальном режиме работают два трансформатора с коэффициентом загрузки Кз=0,7. При аварийном выходе из строя одной секции подстанции (шин, выключателей, трансформатор) вторая принимает на себя всю нагрузку и работает с коэффициентом загрузки Кз=1,4 , что допустимо на некоторое время, за которое необходимо уменьшить нагрузку на подстанцию. Если пропадает питание со стороны одного кабеля 10 кВ включается автоматический выключатель резерва.
Характеристики
Тип файла документ
Документы такого типа открываются такими программами, как Microsoft Office Word на компьютерах Windows, Apple Pages на компьютерах Mac, Open Office - бесплатная альтернатива на различных платформах, в том числе Linux. Наиболее простым и современным решением будут Google документы, так как открываются онлайн без скачивания прямо в браузере на любой платформе. Существуют российские качественные аналоги, например от Яндекса.
Будьте внимательны на мобильных устройствах, так как там используются упрощённый функционал даже в официальном приложении от Microsoft, поэтому для просмотра скачивайте PDF-версию. А если нужно редактировать файл, то используйте оригинальный файл.
Файлы такого типа обычно разбиты на страницы, а текст может быть форматированным (жирный, курсив, выбор шрифта, таблицы и т.п.), а также в него можно добавлять изображения. Формат идеально подходит для рефератов, докладов и РПЗ курсовых проектов, которые необходимо распечатать. Кстати перед печатью также сохраняйте файл в PDF, так как принтер может начудить со шрифтами.















