150701 (621347)
Текст из файла
Содержание
1. Расчёт проводов ЛЭП на прочность
1.1 Постановка задачи и исходные данные
1.2 Определение характеристик провода
1.3 Определение расчётной нагрузки для каждого режима
1.4 Вычисление длины критических пролётов
1.5 Расчёт кривых провисания провода
2. Расчёт опоры ЛЭП
2.1 Постановка задачи и исходные данные
2.2 Расчёт ветровой нагрузки, действующей на опору
2.3 Определение усилий в стержнях фермы
2.4 Подбор безопасных размеров поперечного сечения стержней фермы
1. Расчёт проводов ЛЭП на прочность
1.1 Постановка задачи и исходные данные
Цель курсового проекта: Спроектировать линию электропередачи (ЛЭП) и рассчитать для неё опоры при заданном ветровом районе по гололёду.
Для заданной линии ЛЭП необходимо определить нагрузки, действующие на провод для трёх расчётных режимов, напряжения в проводе, стрелу провеса, величину наибольшего провисания и её координаты, первоначальную длину провеса.
Построить кривые провисания проводов.
При расчёте принято:
длина пролёта l = 300 м;
разность уровней точек подвеса h = 35 м;
марка провода по ГОСТ 839-59 - АС-400;
район по гололёду - IV;
район по ветру - VI;
температура, при которой подвешен провод Т0 = 0С;
среднегодовая температура TIII = 0С;
минимальная температура TI = - 40С;
коэффициент скоростного напора k = 1.
1.2 Определение характеристик провода
Площадь сечения провода F = 493,3 мм2.
Расчётный диаметр провода d = 29 мм.
Расчётный вес провода qп = 1,840 даН/м.
Модуль упругости материала Е = 8900 даН/мм2.
Коэффициент температурного линейного расширения
град -1.
1.3 Определение расчётной нагрузки для каждого режима
1.3.1 I режим - минимальной температуры (TI = - 40С; гололёд и ветер отсутствуют). Интенсивность нагрузки от собственного веса для провода марки АС-300 по ГОСТ 839-59
даН/м
Удельная нагрузка
1.3.2 II режим - максимальной нагрузки (TII = - 5С; гололёд и ветер)
Толщина стенки гололёда b = 20 мм (IV район).
Скоростной напор ветра
даН/м2 (I район; при наличии гололёда скоростной напор принимается равным 25% от нормативного qн).
Удельный вес льда провода
.
Интенсивность нагрузки от гололёда:
даН/м.
Интенсивность нагрузки от давления ветра:
даН/м
(Здесь с = 1,2 - аэродинамический коэффициент).
Суммарная интенсивность нагрузки:
даН/м.
Удельная нагрузка
1.3.3 III режим - среднегодовой температуры (TI = 0С; гололёд и ветер отсутствуют).
Как и для I режима:
даН/м;
.
Вычисленные нагрузки и допускаемые напряжения для трёх режимов сведены в таблицу.
| Расчётный режим | Допускаемые напряжения, даН/мм2 | Температура Т, С | Интенсивность нагрузки, даН/м | Удельная нагрузка, |
| I II III | 11,5 13,0 7,75 | 40 5 0 | 1,840 4,82 1,840 | 0,00372 0,00977 0,00372 |
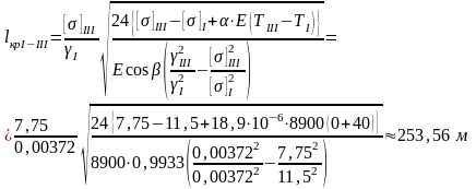
1.4 Вычисление длины критических пролётов
Длину критических пролётов вычисляем по формуле:
По этой формуле находим, принимая
0,9933
Полученное соотношение критических величин пролётов (
) соответствует случаю № 2, пролеты
и
в этом случае фиктивные, физического смысла не имеют и находятся на пересечении прямой III - III с продолжением кривых I - III и II - III (см. рис.1) Для пролетов L расчет. < L 2 кр. исходным является режим I, а при L расчет. > L 2 крит. режим II, где L расчет. - длина пролета, по которому ведется расчет (задана по условию).
Рисунок 1
1.5 Расчёт кривых провисания провода
1.5.1 Режим II. Горизонтальное натяжение нити:
даН.
Величина наибольшего провисания:
Абсцисса, определяющая положение низшей точки:
Из решения видно, что низшая точка кривой провисания лежит за пределами пролёта.
Стрела провисания
м
Конечная длина провода
Первоначальная длина провода
По выполненным расчётам строим кривую провисания провода
(рис.2).
Рис.2
1.5.2 Режим I
Для режима I используем уравнение состояния провода
где индекс m означает исходный режим, индекс n - исследуемый режим.
В нашем случае имеем:
или
После упрощения получим:
откуда
даН/мм2.
Дальнейший расчёт проводим аналогично расчёту режима II:
даН;
;
;
;
По полученным данным строим кривую провисания провода аналогично режиму I (см. рисунок 3).
Рис.3
1.5.2 Режим III
Для режима III имеем:
или
После упрощения получим:
откуда
даН/мм2.
даН;
;
;
;
По полученным данным строим кривую провисания провода аналогично режиму III (см. рисунок 4).
2. Расчёт опоры ЛЭП
2.1 Постановка задачи и исходные данные
Для расчётной схемы опоры ЛЭП необходимо:
определить интенсивность давления на ферму ветровой нагрузки (район по ветру I);
определить усилия в элементах плоской фермы;
подобрать из условия устойчивости безопасные размеры поперечного сечения отдельно для поясов и раскосов решётки в виде равнобокого уголка;
рассчитать опасный узел сварного и болтового соединений, выполнить эскизы этих узлов.
При расчёте принять:
допускаемые напряжения при растяжении и сжатии для прокатных профилей
даН/см2 (210 МПа);
допускаемые напряжения для сварных швов, болтов, заклёпок на срез
даН/см2 (130 МПа); на смятие
даН/см2 (340 МПа);
сосредоточенный момент
сосредоточенная сила Р = 1000 даН (0,01 МН);
параметр а = 2 м.
2.2 Расчёт ветровой нагрузки, действующей на опору
Определим величину расчётного скоростного напора:
даН/м2,
Где
даН/м2 –
скоростной напор ветра (VI район)
n = 1,3 - коэффициент перегрузки для высотных сооружений;
k =1 - поправочный коэффициент изменения скоростного напора, зависящий от высоты и типа местности (см. п.1.1).
Коэффициент лобового сопротивления для пространственной четырёхгранной фермы при направлении ветра на грань:
где
Сх = 1,4 - аэродинамический коэффициент для плоской фермы;
m = 0,3 - коэффициент увеличения давления ветра на подветренную грань, зависящий от типа решётки.
Площадь проекции опоры на плоскость, перпендикулярную направлению ветра (рисунок 3):
,
где
м2 - площадь проекции прямоугольной части;
м2 - площадь проекции трапециевидной части;
-угол наклона боковой стороны трапеции к ветру.
При этих значениях получим:
м2.
Вычисляем давление ветра на опору:
даН,
где
= 1,5 - коэффициент увеличения скоростного напора, учитывающий его динамичность и пульсацию;
поправочный коэффициент при действии ветра на ребро;
расчётная площадь проекции конструкции по наружному обмеру на плоскость, перпендикулярную направлению ветра; здесь
коэффициент заполнения плоской фермы.
Интенсивность ветровой нагрузки
даН/м.
Принимаем qw = 131 даН/м.
2.3 Определение усилий в стержнях фермы
2.3.1 Определение узловой нагрузки
Интенсивность распределённой нагрузки разносим по узлам фермы. Усилие, приходящееся на одну панель, определяем по формуле:
тогда
2.3.2 Вычисление реакций в опорах
Из условий равновесия:
Рис.5
Вычисление усилий в стержнях фермы
Для определения усилий в стержнях используем метод сечений и способ вырезания узлов.
рис.7
сечение I - I (рис.7)
Условия равновесия:
рис.8
рис.9
2) сечение 2 - 2 (рис.9)
Условия равновесия:
рис.10
Рис.11
3) сечение 3 - 3 (рис.11)
Условия равновесия:
Рис.12
сечение 4 - 4 (рис.15)
Рис.13
Условия равновесия:
Рис.14
рис.15
Сечение 5-5 (рис.18)
Рис.16
Условия равновесия:
Рис.17
Рис.18
Сечение 6-6 (рис. 20)
Условия равновесия:
Рис. 19
Рис. 20
Рис.21
сечение 7-7 (рис.24)
Рис.22
Рис.23
Условия равновесия:
По найденным значениям строим эпюры внутренних усилий в стержнях фермы (рис.25).
Рис.24
рис.25
2.4 Подбор безопасных размеров поперечного сечения стержней фермы
Наибольшее сжимающее усилие в поясе
даН.
Безопасные размеры поперечного сечения равнобокого уголка находим из условия прочности при растяжении:
Из условия устойчивости при сжатии имеем:
принимая 0 = 0,5 в первом приближении. Согласно ГОСТ 8509-57, по сортаменту выбираем равнобокий уголок 10010010, для которого F = 19,2 см2 и imin = 1,96 см. Вычисляем гибкость стержня, считая элементы пояса шарнирно закреплёнными по концам:
По справочной таблице для гибкости = 103,6, используя линейную интерполяцию, находим:
По сортаменту окончательно выбираем равнобокий уголок 10010010, для которого A = 19,2 см2 и imin = 1,98 см.
Аналогичным образом определяем необходимые размеры сечения для стержней решётки.
Из условия устойчивости при сжатии имеем:
принимая 0 = 0,5 в первом приближении.
Согласно ГОСТ 8509-93, по сортаменту выбираем равнобокий уголок 63634, для которого F = 4,96 см2 и imin = 1,25 см.
Вычисляем гибкость стержня, считая элементы пояса шарнирно закреплёнными по концам:
Гибкость очень велика, поэтому выбираем равнобокий уголок 80807, для которого F = 10,8 см2 и imin = 1,58 см.
Гибкость стержня
Окончательно принимаем для раскосов уголок 80807.
Характеристики
Тип файла документ
Документы такого типа открываются такими программами, как Microsoft Office Word на компьютерах Windows, Apple Pages на компьютерах Mac, Open Office - бесплатная альтернатива на различных платформах, в том числе Linux. Наиболее простым и современным решением будут Google документы, так как открываются онлайн без скачивания прямо в браузере на любой платформе. Существуют российские качественные аналоги, например от Яндекса.
Будьте внимательны на мобильных устройствах, так как там используются упрощённый функционал даже в официальном приложении от Microsoft, поэтому для просмотра скачивайте PDF-версию. А если нужно редактировать файл, то используйте оригинальный файл.
Файлы такого типа обычно разбиты на страницы, а текст может быть форматированным (жирный, курсив, выбор шрифта, таблицы и т.п.), а также в него можно добавлять изображения. Формат идеально подходит для рефератов, докладов и РПЗ курсовых проектов, которые необходимо распечатать. Кстати перед печатью также сохраняйте файл в PDF, так как принтер может начудить со шрифтами.
















