150324 (621254), страница 3
Текст из файла (страница 3)
Что касается зависимости диэлектрической проницаемости от агрегатного состояния вещества, то здесь нам интересны коллоиды и эмульсии. Эти состояния, в которых могут находиться магнитные жидкости, имеют много общих диэлектрических свойств. Диэлектрическое поведение водных коллоидных растворов определяется структурой коллоидных частиц. На величине диэлектрической проницаемости сказываются также физико-химические свойства коллоидов, такие, как анизотропия, образование мицелл. У гидрофильных коллоидов (желатин) часть молекул воды внедряется в мицеллы и не участвует в ориентационной поляризации. Вода, связанная в мицеллах в отличие от свободной имеет диэлектрическую проницаемость ε ≈ 2.
Для эмульсий, как и для коллоидов, простые уравнения смешения не применимы, так как результаты зависят от степени дисперсности дисперсной фазы.
Если в дисперсной среде, имеющей диэлектрическую проницаемость ε2, распределена нерастворимая фаза с проницаемостью ε1, то для получаемой при этом разности диэлектрических проницаемостей Δε=εэм–ε2 применимо уравнение
где v1 –объёмная доля дисперсной фазы. При постоянной величине v1 Δε растёт с увеличением степени диспергирования твёрдой фазы или степени эмульгирования жидкости.
Использование последней формулы для водных эмульсий показало, что эмульгированная вода даёт значительно меньшую величину Δε, чем растворённая. Этот эффект находит значительное техническое применение, например для определения содержания воды в трансформаторном масле.
2.3. Метод измерения диэлектрической проницаемости.
В современных методах определения величины диэлектрической проницаемости используется как постоянный ток, так и переменный ток в широком диапазоне частот.
Измерения методами переменного тока распространены боле широко. Это связано с тем, что они дают обширную информацию о структуре и свойствах диэлектрика, позволяют определять диэлектрическую проницаемость жидкостей и растворов электролитов, обладающих электропроводностью, и наконец, приборы – диэлектрометрические ячейки – в большинстве случаев являются компактными и более удобными для различных физико-химических исследований.
Мостовые методы по принципу работы делятся на две группы: 1) нерезонансные или простые мосты различного типа, которые используются главным образом при низких частотах и 2) резонансные мосты, условия равновесия которых зависят от частоты и которые могут применяться при высоких частотах . Резонансные мосты, как правило, имеют более высокую чувствительность по сравнению с нерезонансными мостами. Кроме того, мостовые методы измерения позволяют производить отдельный отсчёт активной и реактивной составляющих полного сопротивления.
Для измерения диэлектрической проницаемости могут быть использованы ёмкостные, индуктивные и контактные ячейки.
В данном эксперименте использовались контактные ячейки.
Достоинством таких ячеек является линейная зависимость между измеряемой ёмкостью С и диэлектрической проницаемостью ε исследуемой жидкости. Особенностью таких ячеек является поляризация электродов при низких частотах, которая является причиной погрешностей. Поскольку в настоящее время все методы измерения диэлектрической проницаемости основаны на сравнении ёмкости конденсатора, диэлектриком у которого является исследуемое вещество, обладающее, как правило, проводящими свойствами, то поляризация электродов, возникающая при низких частотах, также создаёт определённые погрешности при измерении ёмкости.
Основным условием использования контактной ячейки для измерения диэлектрической проницаемости является выбор достаточно высокой частоты, при которой поляризационное сопротивление и ёмкость равны нулю.
Вторым условием является необходимость устранения ёмкости двойного слоя СД. Это достигается применением электродов с достаточно развитой поверхностью (например, платинированием).
2.4. Диэлектрические характеристики магнитных жидкостей.
Диэлектрическая проницаемость ε большинства диэлектриков, характеризующая их поляризацию в электрическом поле, не зависит от напряжённости поля, но зависит от его частоты. Для магнитных жидкостей важным физическим параметром является концентрация твёрдой фазы, относительная диэлектрическая проницаемость которой выше, чем проницаемость жидких основ. Присутствие полярных молекул поверхностно-активного вещества в магнитной жидкости также влияет на её диэлектрическую проницаемость.
Р.Розенцвейг и Р.Кайзер (1969) определили относительную диэлектрическую проницаемость порошка из коллоидных частиц магнетита ε≈15 на частотах 400 Гц и 1 кГц. Н.И.Дюповкин и Д.В.Орлов (1983) исследовали магнетитовые магнитные жидкости на основе керосина, стабилизированные олеиновой кислотой, в диапазоне частот 102-7*104 Гц. При увеличении объёмной концентрации магнетита от 5 до 19.5% относительная диэлектрическая проницаемость монотонно возрастала от 3 до 9 на частоте 100 Гц. С увеличением частоты изменения электрического поля, создаваемого в межэлектродном пространстве ячейки с плоскопараллельными электродами, относительная диэлектрическая проницаемость плавно уменьшалась, причём наиболее резкий спад наблюдался в диапазоне частот 102-103 Гц. Измерения Г.М.Гордеева с соавторами (1983) относительной диэлектрической проницаемости близких по характеристикам магнитных жидкостей в диапазоне частот 105-107 Гц согласуются с данными Н.И.Дюповкина и Д.В.Орлова на верхней границе частот. Эта частотная зависимость диэлектрической проницаемости ε и тангенса угла диэлектрических потерь tg δ получена при комнатной температуре. Из полученных графиков видно, что относительная диэлектрическая проницаемость исследованных образцов практически постоянна в указанном диапазоне частот. Графики для керосина и олеиновой кислоты располагаются ниже значений ε для магнитных жидкостей.
Зависимость тангенса угла диэлектрических потерь от частоты электрического поля характеризуется резким падением в диапазоне частот 102-5*106 Гц, причём на частоте 105 Гц диэлектрические потери для магнитных жидкостей на порядок превышают tg δ для керосина. Одна из причин роста диэлектрических потерь с уменьшением частоты электрического поля может заключаться в джоулевых потерях, связанных с проводимостью магнитной жидкости.
Глава 3.
Экспериментальные исследования электрической проводимости и диэлектрической проницаемости магнитной жидкости.
В данной курсовой работе проводились исследования электрической проводимости и диэлектрической проницаемости магнитной жидкости. Все измерения проводились мостовым методом с помощью прибораЧЧЧЧЧЧЧ
Магнитная жидкость заливалась в измерительные ячейки двух видов. Одна из них имеет платиновые электроды, другая медные. Конструкции ячеек отличаются друг от друга, их схемы приведены на рисунке 1.
Рисунок 1. Схемы применяемых ячеек.
Ячейка с платинированными электродами, как уже отмечалось выше, имеет большую точность результатов измерений. Самым главным её недостатком является необходимость наличия большого объёма магнитной жидкости, что очень трудно осуществить при изучении концентрационных рядов, состоящих из большого количества концентраций. В эту ячейку помещался объём магнитной жидкости равный 50 мл. Исследуемая жидкость разводилась до концентрации φ=1%, имея начальную φ = 16%. С каждой концентрацией отдельно проводились измерения электрической проводимости и диэлектрической проницаемости.
Электроды каждой ячейки соединялись с выходами измерительного прибора на возможно короткое время, что делалось, как было описано выше, во избежание ненужных погрешностей измерений. Все эксперименты проводились при одинаковой температуре. После снятия показаний измерительного прибора для электрической проводимости и значение ёмкости для расчёта диэлектрической проницаемости, ячейка с магнитной жидкостью помещалась в перпендикулярное и параллельное магнитные поля, создаваемые кольцами Гельмгольца. Значения измеряемых величин снимались, когда напряжённость магнитного поля была максимальной. После снятия всех необходимых измерений, магнитная жидкость изымалась из ячейки, разводилась до нужной концентрации и использовалась вновь. Для повторного эксперимента изначально был приготовлен концентрационный ряд, который впоследствии можно использовать многократно.
Первое измерение проводилось в ячейке с платиновыми электродами. Результаты измерений приведены на графиках.
Рисунок 3. Концентрационная зависимость электрической проводимости.
Из графика видно, что концентрационная зависимость электрической проводимости имеет максимум, который приходится на концентрацию магнитной жидкости около 10%. Далее величина электропроводности плавно спадает с уменьшением концентрации.
Рисунок 4. Концентрационная зависимость диэлектрической проницаемости.
График зависимости диэлектрической проницаемости от концентрации магнитной жидкости подтверждает ранее полученные результаты [Ферт], в которых проницаемость вела себя подобным образом, т.е. при уменьшении концентрации величина ε уменьшается. Разница настоящих и ранее полученных измерений не велика, от неё график лишь сдвигается на определённое значение. Эта разница может быть объяснена разными температурами условий измерения.
Следующие графики получены при измерении этих же величин, но для более точного и многоуровневого концентрационного ряда. Здесь использовалась ячейка с медными электродами. Схема эксперимента такая же как и в случае с ячейкой, имеющую платиновые электроды.
Рисунок 5. Зависимость электропроводности от концентрации.
Как видно из рисунка, проводимость и в данном случае ведёт себя также, её величина начинает убывать с концентрации 10%. Этот максимум вызывает множество вопросов у исследователей. Некоторые объясняют его изменением подвижности ионов магнитной жидкости с изменением концентрации. Предполагается, что при больших концентрациях подвижность большая, следовательно, число ионов, участвующих в электропроводности велико. При разбавлении МЖ карасином проводимость, а значит, и подвижность увеличивается до определённого значения количества керосина в МЖ. Далее, начиная приблизительно с концентрации 10%, подвижность ионов падает, и проводимость соответственно уменьшается. Другая теория объясняет такое поведение проводимости увеличением степени электролитической диссоциации при увеличении дисперсной фазы в МЖ. Возможно, эти два механизма осуществляются одновременно, накладывая такой отпечаток на поведение графика.
Диэлектрическая проницаемость ведёт себя следующим образом.
Рисунок 6. Зависимость диэлектрической проницаемости от концентрации МЖ.
Следующие графики изображают зависимости измеряемых величин от изменения направления параллельного и перпендикулярного магнитных полей для различных концентраций.
Рисунок 7. Изменение проводимости в перпендикулярном магнитном поле.
Рисунок 8. Изменение проницаемости в перпендикулярном магнитном поле.
Рисунок 9. Относительное изменение проводимости в параллельном магнитном поле.
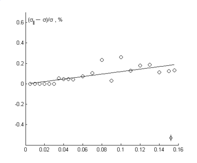
Рисунок 10. Изменение проницаемости в параллельном магнитном поле.
Список использованной литературы.
-
Вегера Ж.Г. Эффекты структурной организации коллоидных частиц и микрочастиц дисперсного немагнитного наполнителя в магнитной жидкости при её взаимодействии с электрическими и магнитными полями. Дис. канд. физ.-мат. наук. - Ставрополь, 2004.
-
Духин С.С. Электропроводность и электрокинетические свойства дисперсных систем. – Киев.: Наук. думка, 1975.
-
Лопатин Б.А. «Теоретические основы электрохимических методов анализа» М.: высшая школа, 1975г, 296 с.
-
Сивухин Д.В. Общий курс физики. Том 3- Электричество. Москва, 1977
-
Фертман В.Е., Гордеев Г.М., Матусевич Н.П., Ржевская С.П. Электрические свойства магнитных жидкостей. Свердловск: УНЦ АН СССР, 1983.















