150063 (621192), страница 3
Текст из файла (страница 3)
Расчет токов и напряжений
Определим реактивные сопротивления:
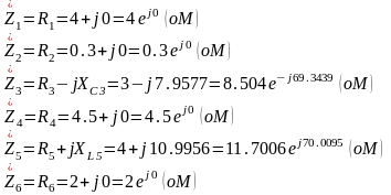
Комплексные сопротивления
Определим комплексное эквивалентное сопротивление схемы:
Рассчитаем токи в ветвях цепи:
Баланс активных и реактивных мощностей
Активная мощность:
Источник:
Потребитель:
Баланс:
Реактивная мощность:
Источник:
Потребитель:
Баланс:
Комплексная мощность
Источник:
Потребитель:
Баланс
Определим напряжения на элементах цепи
Таблица результатов
| № ветви | Ток Ii, А | Напряжение Ui, В | Активная мощность Pi, Вт | Реактивная мощность Qi, ВАр |
| 1 |
|
| 374,77 |
|
| 2 |
|
| 89,093 | 903,9749 |
| 3 |
|
| 62,2111 | -165,0196 |
| 4 |
|
| 654,82 |
|
| 5 |
|
| 388,555 | 1068,099 |
| 6 |
|
| 291,032 | ________ |
Соединение "звезда" с нейтральным проводом
Дано:
Фазное напряжение:
Комплексное фазное напряжение:
Комплексные сопротивления:
Токи в линейных проводах:
Токи в нейтральном проводе:
Проверим баланс мощностей:
Следовательно
Баланс мощностей сходится
Соединение "звезда" без нейтрального провода
Фазное напряжение:
Комплексное фазное напряжение:
Комплексные сопротивления:
Комплексные проводимости фазных нагрузок:
Токи в фазах приемника и линейных проводах рассчитываются по закону Ома:
Проверка:
Проверим баланс мощностей:
Следовательно:
Баланс мощностей сходится
Соединение "треугольник"
Примем комплексное напряжение в фазах:
Комплексные сопротивления нагрузок:
Комплексные фазные токи:
Комплексы линейных токов:
Проверим баланс мощностей:
Следовательно
Баланс мощностей сходится
Заключение
В первой части курсовой работы мы рассчитывали ток и его напряжение каждого участка методом контурных токов и, составив необходимое число уравнений методом непосредственного применения законов Кирхгофа и подставив в них полученные токи, проверили их выполнение. Затем мы рассчитали цепь методом двух узлов и методом наложения. Определив мощность, рассеиваемую в каждом резисторе и отдаваемую каждым источником, проверили баланс мощности.
Во второй части курсовой работы рассчитали токи во всех ветвях схемы методом свертывания и составили баланс активных и реактивных мощностей. Мощность при расчете их для всей цепи и для ветвей совпадают, то есть токи рассчитаны, верно.
В третьей части курсовой работы мы определили линейные и фазные токи не симметричной трехфазной цепи, приемники которого соединены по схеме "звезда" (с наличием нейтрального провода и с его обрывом) и "треугольник". Для всех трех схем определили полную, активную и реактивную мощность источника электроэнергии трехфазной цепи и приемника и проверили баланс мощностей. Для всех трех схем баланс мощности сошелся, то есть токи рассчитаны, верно.
Все значения по всем трем частям сошлись, значит, курсовая работа была выполнена правильно.














