144652 (620675), страница 2
Текст из файла (страница 2)
П2=П3+∆p2-3=23,228+0,772=24
ПНС=П5+∆pНС-5=23,953+9,183=33,136
ПБ=П1-∆pБ-1=5,004-0,001=5,003
ПБ=П2-∆pБ-2=24-19,017=4,983 ПБ≈4,993
ННС=ПНС-zНС=33,136-0,5=32,636
Н1=П1-z1=5,004-3,5=1,504
Н2=П2-z2=24-5=19
Н3=П3-z3=23,228-1,5=21,728
Н5=П5-z5=23,953-5,5=18,453
НБ=ПБ-zБ=4,993-10,5= -5,507
Минимальный свободный напор получился для потребителя 1
Принимаю П1=25м
П3=П1+∆p1-3=25+18,244=43,224
П2=П3+∆p2-3=43,224+0,772=43,996
П4=П3+∆p3-4=43,224+11,940=55,164
П5=П4-∆p4-5=55,164-0,047=55,117
ПНС=П5+∆pНС-5=55,117+9,183=64,3
ПБ=П1-∆pБ-1=25-0,001=24,999
ПБ=П2-∆pБ-2=43,996-19,017=24,979 ПБ≈24,989
ННС=ПНС-zНС=64,3-0,5=63,8
Н1=П1-z1=25-3,5=21,5
Н2=П2-z2=43,996-5=38,996
Н3=П3-z3=43,224-1,5=41,724
Н4=П4-z4=55,164-4=51,164
Н5=П5-z5=55,117-5,5=49,617
НБ=ПБ-zБ=24,989-10,5=14,489
Характеристики водопитателей
Рабочий объем водонапорной башни Vp находится с помощью графика нагрузки сети. Необходимо вычислить интеграл
Vp=ʃ(Qc(τ)-Qc)d τ=6*[(0,42-0,265)+(0,38-0,265)]=1,62 м3
Если диаметр бака башни и максимальный уровень его заполнения относятся как 2:1, то с учетом 10% запаса воды диаметр бака равен
DБ=1,46Vp1/3=1,46*1,61/3=1,715 м,
h0=,5*DБ=0,8575 м
где h0 – максимальный уровень заполнения бака водой,
DБ – диаметр бака
Vp – рабочий объем
H’НС=Нтр+(zA-zНС)+∑∆p’i=20+(3,5-,5)+89,434=112,434
H”НС=HБ+(zБ-zНС)+h0+∑∆p’’i=14,489+(10,5-0,5)+0,8575+36,907=62,2535
Где ∆p’ падения давления при Qc=max, ∆p’’ падения давления при Qc=min, а
HБ, H’НС – max ; H”НС – min
Итоговая таблица
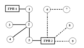
| Уч | D, м | L, м | q’, м3/с | q’’,м3/с | ∆p’, м вод ст | ∆p’’, м вод ст | ||
| 1 (НС-5) | 0,45 | 700 | 0,309 | 0,198 | 9,183 | 3,771 | ||
| 2 (5-2) | 0,45 | 900 | 0,301 | 0,194 | 11,215 | 4,671 | ||
| 3 (2-Б) | 0,35 | 1000 | 0,191 | 0,123 | 19,017 | 7,817 | ||
| 4 (2-1) | 0,25 | 800 | 0,088 | 0,056 | 19,015 | 7,817 | ||
| 5 (1-3) | 0,25 | 850 | 0,083 | 0,053 | 18,244 | 7,472 | ||
| 6 (3-4) | 0,175 | 700 | 0,029 | 0,019 | 11,940 | 4,995 | ||
| 7 (Б-1) | 0,3 | 650 | 0,001 | 0,000 | 0,001 | 0,000 | ||
| 8 (3-2) | 0,25 | 1200 | 0,014 | 0,010 | 0,772 | 0,344 | ||
| 9 (5-4) | 0,3 | 600 | 0,008 | 0,005 | 0,047 | 0,020 | ||
| ∑ | 89,434 | 36,907 | ||||||
Где ∆p’ и q’- падения давления и расход при Qc=max, а ∆p’’ и q” - падения давления и расход при Qc=min
| Газопровод среднего давления | ||||||||
| потребитель | Расход по часам суток, куб.м /час | |||||||
|
| 0-6 | 6-12 | 12-18 | 18-24 | ||||
| 1 | 150 | 550 | 400 | 200 | ||||
| 2 | 200 | 950 | 750 | 250 | ||||
| 3 | 150 | 400 | 800 | 100 | ||||
| 4 | 100 | 500 | 550 | 200 | ||||
| 5 | 250 | 850 | 850 | 150 | ||||
| 6 | 100 | 150 | 150 | 100 | ||||
| 7 | 100 | 200 | 250 | 100 | ||||
| 8 | 150 | 350 | 250 | 200 | ||||
| 9 | 200 | 100 | 200 | 100 | ||||
| сумма | 1400 | 4050 | 4200 | 1400 | ||||
| Газопровод низкого давления | ||||||||
| потребитель | Расход по часам суток, куб.м /час | |||||||
|
| 0-6 | 6-12 | 12-18 | 18-24 | ||||
| 6 | 100 | 150 | 150 | 100 | ||||
| 7 | 100 | 200 | 250 | 100 | ||||
| 8 | 150 | 350 | 250 | 200 | ||||
| 9 | 200 | 100 | 200 | 100 | ||||
| сумма | 550 | 800 | 850 | 500 | ||||
Диаметры труб участков сети выбираются с помощью номограммы, исходя из найденного оптимального pi , а также Li , и расхода газа Vi
| Участок | Длина, м | Расход, м3/ч | Удельные потери, Па/м | Диаметр стандартный, м | |
| 1 – ГРП1 | 900 | ||||
| 1 - 2 | 900 | ||||
| 2 - 3 | 1000 | ||||
| 2 - 4 | 550 | ||||
| 2 - 5 | 750 | ||||
| 5 – ГРП2 | 500 | ||||
| 6 – ГРП2 | 250 | ||||
| 6 - 7 | 400 | ||||
| 6 - 8 | 150 | ||||
| 9 – ГРП 2 | 250 | ||||
Испр_max
N=9
DIM flux(N), diam(N), length(N),s(N), press(N)
READ dHmin, a
DATA 0.001, 0.15
for i=1 to N
READ b
flux(i)=b
READ b
length(i)=b
READ b
diam(i)=b
NEXT i
DATA 0.309, 700, 0.450
DATA 0.293,900, 0.450
DATA 0.192,1000, 0.350
DATA 0.093, 800,0.250
DATA 0.077, 850,0.250
DATA 0.037, 700, 0.175
DATA 0, 650, 0.300
DATA 0, 1200, 0.250
DATA 0, 600, 0.300
for i=1 to N
s(i)=0.001735*(1+a)*length(i)/diam(i)^5.3
next i
[A]
dH1=s(3)*flux(3)*Abs(flux(3))-s(7)*flux(7)*Abs(flux(7))-s(4)*flux(4)*Abs(flux(4))
dH2=s(4)*flux(4)*Abs(flux(4))-s(5)*flux(5)*Abs(flux(5))-s(8)*flux(8)*Abs(flux(8))
dH3=s(2)*flux(2)*Abs(flux(2))+s(8)*flux(8)*Abs(flux(8))-s(6)*flux(6)*Abs(flux(6))-s(9)*flux(9)*Abs(flux(9))
if Abs(dH1) dq1=0.5*dH1/(s(4)*Abs(flux(4))+s(7)*Abs(flux(7))+s(3)*Abs(flux(3))) dq2=0.5*dH2/(s(4)*Abs(flux(4))+s(5)*Abs(flux(5))+s(8)*Abs(flux(8))) dq3=0.5*dH3/(s(8)*Abs(flux(8))+s(2)*Abs(flux(2))-s(9)*Abs(flux(9))+s(6)*Abs(flux(6))) flux(1)=flux(1) flux(2)=flux(2)-dq3 flux(3)=flux(3)-dq1 flux(4)=flux(4)+dq1-dq2 flux(5)=flux(5)+dq2 flux(6)=flux(6)+dq3 flux(7)=flux(7)+dq1 flux(8)=flux(8)+dq2-dq3 flux(9)=flux(9)-dq3 goto [A] [B] for i=1 to N press(i)=s(i)*flux(i)*Abs(flux(i)) next i for i=1 to N PRINT "i="; i; PRINT ";lenght="; length(i); PRINT ";diam="; diam(i); PRINT ";flux="; using ("#.###", flux(i)); PRINT ";press="; using ("##.###", press(i)) next i PRINT "dH1="; using ("#.#####", dH1) ;";dH2="; using ("##.#####",dH2); ";dH3="; using("#.#####", dH3) end Испр_min N=9 DIM flux(N), diam(N), length(N),s(N), press(N) READ dHmin, a DATA 0.001, 0.15 for i=1 to N READ b flux(i)=b READ b length(i)=b READ b diam(i)=b NEXT i DATA 0.198, 700, 0.450 DATA 0.189,900, 0.450 DATA 0.123,1000, 0.350 DATA 0.060, 800,0.250 DATA 0.049, 850,0.250 DATA 0.024, 700, 0.175 DATA 0, 650, 0.300 DATA 0, 1200, 0.250 DATA 0, 600, 0.300 for i=1 to N s(i)=0.001735*(1+a)*length(i)/diam(i)^5.3 next i [A] dH1=s(3)*flux(3)*Abs(flux(3))-s(7)*flux(7)*Abs(flux(7))-s(4)*flux(4)*Abs(flux(4)) dH2=s(4)*flux(4)*Abs(flux(4))-s(5)*flux(5)*Abs(flux(5))-s(8)*flux(8)*Abs(flux(8)) dH3=s(2)*flux(2)*Abs(flux(2))+s(8)*flux(8)*Abs(flux(8))-s(6)*flux(6)*Abs(flux(6))-s(9)*flux(9)*Abs(flux(9)) if Abs(dH1) dq1=0.5*dH1/(s(4)*Abs(flux(4))+s(7)*Abs(flux(7))+s(3)*Abs(flux(3))) dq2=0.5*dH2/(s(4)*Abs(flux(4))+s(5)*Abs(flux(5))+s(8)*Abs(flux(8))) dq3=0.5*dH3/(s(8)*Abs(flux(8))+s(2)*Abs(flux(2))-s(9)*Abs(flux(9))+s(6)*Abs(flux(6))) flux(1)=flux(1) flux(2)=flux(2)-dq3 flux(3)=flux(3)-dq1 flux(4)=flux(4)+dq1-dq2 flux(5)=flux(5)+dq2 flux(6)=flux(6)+dq3 flux(7)=flux(7)+dq1 flux(8)=flux(8)+dq2-dq3 flux(9)=flux(9)-dq3 goto [A] [B] for i=1 to N press(i)=s(i)*flux(i)*Abs(flux(i)) next i for i=1 to N PRINT "i="; i; PRINT ";lenght="; length(i); PRINT ";diam="; diam(i); PRINT ";flux="; using ("#.###", flux(i)); PRINT ";press="; using ("##.###", press(i)) next i PRINT "dH1="; using ("##.#####", dH1) ;";dH2="; using ("##.#####",dH2); ";dH3="; using("##.#####", dH3) end















