144421 (620573), страница 3
Текст из файла (страница 3)
Показатель теплоусвоения поверхности пола
принимается равным показателем теплоусвоения по поверхности 1 – го слоя
.
- тепловая инерция соответственно 1- го, 2 – го,…., (n+1) – конструкции пола, определяемая согласно 11.1.9 [9];
- термическое сопротивление,
, соответственно i – го и n – го слоев конструкции пола, определяемые по формуле (6) [9];
- расчетные коэффициенты теплоусвоения материала соответственно 1 – го, n – го (n+1) – го слоев конструкции пола,
, принимаемые по приложению Д [9];
- показатель теплоусвоения поверхности (i+1) – го слоя конструкции пола,
.
,
,
,
Следовательно, эта конструкция пола в отношении теплоусвоения не удовлетворяет нормативным требованиям, т.к. значение показателя теплоусвоения по поверхности пола по проекту превышает нормативный показатель теплоусвоения пола для жилых зданий. В таком случае следует взять другую конструкцию пола или изменить толщины некоторых его слоёв до удовлетворения требованиям
.
-
Выбираем конструкцию заполнения светового проема с сопротивлением теплопередачи
,
, не менее требуемого значения
Определяем требуемое сопротивление теплопередачи световых проёмов и входных наружных дверей в зависимости от назначения здания по таблице 4[8];
Принимаем по позиции 12 приложения Л [9]
- Двухкамерный стеклопакет в одинарном переплете из стекла с твердым селективным покрытием и заполненным аргоном.
Коэффициент теплопередачи через световые проёмы и входные наружные двери определяется по формуле:
Определение
из условия, что требуемое сопротивление теплопередаче дверей и дверей (без тамбура) квартир первых этажей и ворота, а также дверей квартир с не отапливаемыми лестничными клетками должно быть не менее
стен здания.
Принимаем двойные двери с тамбуром. Коэффициент теплопередачи таких дверей,
-
Определение приведенного сопротивления теплопередаче
Определение элементов, формирующих двумерные и трехмерные температурные поля для наружной стены одного из помещений здания:
-
наружный угол
-
стык с перегородкой
-
стык с перекрытием
-
оконные откосы.
- длина сопряжений наружной стены с наружным углом;
- с внутренней перегородкой
- с горизонтальными перекрытиями
- с окном (по периметру окна).
-
Определение приведенного сопротивления теплопередаче
,
, по наружному обмеру.
определяется по формуле:
где
- сопротивление теплопередачи ограждающих конструкций наружной стены,
.
- площадь поверхности ограждения по наружному и внутреннему обмеру ( за вычетом площади окна),
- фактор формы характерного элемента стены, определяемый по [1, с. 170, тавл. III; с. 169, рис III, 29, с. 153, рис. III. 13];
- протяженность участков конструкции наружной стены, сопряженных с наружным углом, стыками, оконными откосами, м;
- ширина участка поверхности наружной стены с двумерным температурным полем, равная двум калибрам (толщинам) наружной стены, м;
где
- коэффициент теплопроводности теплоизоляционного слоя конструкции наружной стены,
.
Ширина
в два калибра для оконных откосов равна:
где
- сопротивление теплопередаче части ограждения до изотермы
равно:
где
- расстояние от внутренней поверхности до оси расположения заполнения проёма, м, определяемая в соответствие с рисунком ниже;
- общая толщина ограждающей конструкции наружной стены, м, определяемая в соответствии с таблицей 2;
- расчетный коэффициент теплопроводности утеплителя,
.
Для оконных откосов
.
Результаты расчета приведенного сопротивления теплопередаче сложного ограждения
| Наименование элемента с двухмерным температурным полем |
|
|
|
|
|
| Наружный угол | 2,7 | 0,672 | 0,68 | -0,32 | -0,864 |
| Стык с внутренней перегородкой | 2,7 | 0,672 | 1,2 | 0,2 | 0,54 |
| Стык с полом первого этажа | 3,3 | 0,672 | 1 | 0 | 0 |
| Стык с межэтажным перекрытием | 3,3 | 0,672 | 1,1 | 0,1 | 0,33 |
| Оконные откосы | 6,6 | 0,339 | 1,3 | 0,3 | 1,98 |
Определение величины теплового потока,
, через
поверхности наружной стены по глади стены.
Тепловой поток через
поверхности наружной стены определяется по формуле:
,(19)
где
- средняя температура наиболее холодной пятидневки,
, обеспеченностью 0,92.
Определяем величины теплового потока,
, через
поверхности наружной стены сложной конструкции с учетом наличия конструктивных элементов.
,(20)
При
, а
конструктивные элементы повышают теплопотери теплозащитные свойства ограждения снижаются.
-
Расчет воздухопроницания ограждающих конструкций
Цель расчета является определение соответствия нормам воздупроницания, определяемым согласно разделу 8 [8]. Расчет выполняем для конструкций наружной стены.
Определение разность давлений воздуха на наружной и внутренней поверхностях ограждающих конструкций
по формуле 68 [9]
где Н – высота здания (от уровня пола первого этажа до верха вытяжной шахты), м;
- удельный вес соответственно наружного и внутреннего воздуха,
определяемая по формулам 69 и 70 [9]
- расчетная температура наружного воздуха,
, принимаемая согласно 5.1 [9];
- расчетная температура внутреннего воздуха,
, принимаема я согласно 5.2 [9];
- максимальная из средних скоростей ветра по румбам за январь, повторяемость которых составляет 16 и более (установленная при стандартной высоте 10 м), принимаемая по таблице 1* [7].
Определение действительного сопротивления воздухопроницанию ограждающей конструкции
,
, которое должно быть не менее нормируемого сопротивления воздухопроницанию
,
, следует определять по формуле:
,
где
,
,
- сопротивления воздухопроницанию ограждающих конструкций,
, принимаемые по таблице 17 [9]
Определяем нормируемое сопротивление воздухопроницанию ограждающих конструкций
,
, по формуле (12) [9]:
где
- тоже, что и в формуле (21);
- нормируемая вздухопроницаемость ограждающих конструкций,
, принимаемая по таблице 11 [8].
Действительная воздухопроницаемость конструкции определяется по формуле
,
, следовательно, конструкция наружной стены удовлетворяет требованиям раздела 8 [8].
Определение температуры на внутренней поверхности наружной стены при инфильтрации по формуле:
где
- удельная теплоемкость воздуха, равная 1005
;
- сопротивление теплопередаче ограждающих конструкций при отсутствие инфильтрации воздуха,
- термическое сопротивление ограждающей конструкции от наружной поверхности до рассматриваемой плоскости при отсутствии инфильтрации воздуха,
Определение температуры по внутренней поверхности ограждающей конструкции при отсутствие инфильтрации по формуле:
,
Определение величины теплового потока при отсутствии инфильтрации
,
, по формуле:
,
Определение величины теплового потока при инфильтрации
,
, по формуле:
,
Определение коэффициента порового охлаждения
ограждающей конструкции по формуле:
,
.
При
происходит явление рекуперации (частичный возврат).
-
Расчет паропроницания ограждающих конструкций
Определение возможности конденсации влаги на глади наружной стены и на внутренней поверхности наружного угла.
Установить значение нормируемой относительной влажности воздуха в помещении в соответствии с таблицей 1 [8]
Зная нормируемую относительную влажность воздуха
в данном помещении, а также температуру воздуха
в нем, определяем температуру точки росы
по приложению Р [9]:
Определение температуры на внутренней поверхности наружного угла
из выражения:
Так как
, то конденсации влаги на глади наружной стены и на внутренней поверхности наружного угла не будет, следовательно, конструкция стены удовлетворяет требованиям норм.
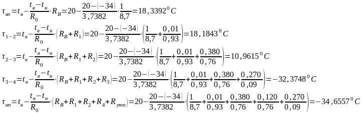
Конденсация температуры в характерных сечениях конструкции наружной стены
, (на внутренней поверхности между конструктивными слоями) по формуле:
,
где
- сумма термических сопротивлений (n-1) конструктивных слоёв,
.
По найденным значениям температур в характерных сечениях
,
, определяем соответствующие значения максимальной упругости водяного пара
, Па по приложению С [9]:
















