144195 (620440), страница 3
Текст из файла (страница 3)
тогда общие гидравлические потери по всей сети составляет:
Подбор насоса. Насос подобрать по величине суммарной подачи
и полного напора
:
где
- число водоразборных кранов.
где
- геометрическая высота подъема воды от уровня
оси насоса до уровня наивысшей точки водоразбора
.
Геометрическая высота подъема будет ровна:
где
- сумма гидравлических потерь на трение и местные сопротивления на всей линии от точки 1 до точки
;
- величина остаточного напора у водоразборного крана;
- величина, свободного напора в наружной магистрали.
Исходные данные:
Расход воды на один водопроводный кран
.
Располагаемый напор в сети наружного водопровода у ввода
Остаточный напор у дальнего водоразборного крана
Расчет: определение диаметров труб, задаёмся скоростью движения и расчетным расходом воды: на участке 6-7 v=0.8 м/с, q7=0.001 м3/с
на участке 5-6 v=0.9 м/с, q=q7+q6=0.001+0.001=0.002 м3/с
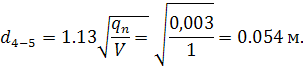
на участке 4-5 v=1 м/с, q=q7+q5+q6=0.003 м3/с,
на участке 3-4 v=1.1 м/с, q=q7+q4+q5+q6=0.004 м3/с
на участке 2-3 v=1.2 м/с, q=q7+q3+q4+q5+q6=0.0005 м3/с
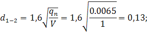
на участке 1-2 v=1.3 м/с, q=q2+q3+q4+q5+q6 +q7=0.006 м3/с
Принимаем трубопровод стандартного диаметра.
| № расчетных участков | Длина участка l, м | Расчетный расход воды на участке qn, м3/ч | Диаметр трубы, d, м | Гидравлический уклон i, м/1п. м. | Скорость течения воды в трубе V, м/с | Потери напора на трение на участке hтр=i·l, м/1п. м. | |
| расчетный | стандартный | ||||||
| 1-2 | 12 | 0.006 | 0.068 | 0.080 | 0.042 | 1.21 | 0.504 |
| 2-3 | 12 | 0.005 | 0.065 | 0.070 | 0.072 | 1.42 | 0.864 |
| 3-4 | 12 | 0.004 | 0.060 | 0.070 | 0.047 | 1.13 | 0.564 |
| 4-5 | 12 | 0.003 | 0.054 | 0.050 | 0.100 | 1.41 | 1.2 |
| 5-6 | 12 | 0.002 | 0.047 | 0.050 | 0.046 | 0.94 | 0.552 |
| 6-7 | 12 | 0.001 | 0.036 | 0.040 | 0.047 | 0.8 | 0.564 |
Определяем потери напора в трубах. При движении по трубам возникают потери двух видов: на трение и местное сопротивление. Потери напора на трение определить по каждому участку.
Суммарные потери на трение Σ
по всей сети определяем как сумму величин графы 8 таблицы 8. Потери напора Σ
в местных сопротивлениях можно принять равным 20% от суммы потерь напора Σ
на трение, т.е. Σ
, тогда общие гидравлические потери по всей сети составят:
Σ
Подбираем насос по величине суммарной подачи
И полного напора
= 35,1 м = 351 кПа
Выбираем консольный насос К-45/30, имеющий производительность 30-50 м3/ч, давление 270 кПа, КПД 62-72%, частоту вращения 2900 мин-1, мощность электродвигателя 7,5 кВт.
6. Расчет канализационной сети
Количество сточных вод
, отводимых одним трапом внутренней производственной канализации, принять равным расходу воды одного водозаборного крана.
Уклон трубопровода
следует выбирать в зависимости от полученного диаметра.
Схема канализационной сети. За основу принять типовую схему, показанную на рисунке 13 (методичка). Стоки по трубопроводу, уложенному подполом, попадают в канализационный колодец КК и далее трубопровод дворовой канализации. Трапы расположить через 12 м.
Определим диаметр канализационных труб.
Определить диаметры труб для всех участков канализационной сети по формуле:
где
- расчетный расход воды на n-ом участке,
;
- скорость движения воды в трубах
.
По найденному значению диаметров труб подобрать ближайший стандартный диаметр чугунных канализационных труб. Диаметр вытяжного канализационного стока ВКС принять равным 0,1 м. Все расчетные данные записать в таблицу. Проверка скорости воды.
Проверку скорости воды произвести на одном из участков трубопровода:
где
- гидравлический радиус, характеризующий отношение площади живого сечения потока
к смоченному периметру
потока, м:
- геометрический уклон трубопровода;
- скоростной коэффициент, учитывающий шероховатость стенок трубы и величину гидравлического радиуса:
где
- коэффициент шероховатости,
Расчетное наполнение канализационных труб принять равным до половины их диаметра.
Если вычисленное значение скорости отличается от принятого, более чем на 15%, то расчет необходимо повторить, изменив уклон.
Расчет:
Исходные данные:
Водоотведение сточных вод через один трап
Типовая схема внутренней канализации приведена на рис.13 (методичка).
Определение диаметров труб на всех участках канализационной сети:
За основу принять типовую схему, показанную на рисунке 13 (методичка). Стоки по трубопроводу, уложенному подполом, попадают в канализационный колодец КК и далее трубопровод дворовой канализации. Трапы расположить через 12 м.
Определим диаметр канализационных труб.
| № расчетных участков | Длина участка, м | Расчетный расход воды на участке, м3/с | Скорость течения воды в трубе, м/с | Диаметр труб, м | |
| расчетный | стандартный | ||||
| 1-2 | 12 | 0.0065 | 1.7 | 0.1 | 0.1 |
| 2-3 | 12 | 0.0055 | 1 | 0.12 | 0.125 |
| 3-4 | 12 | 0.0045 | 1 | 0.11 | 0.125 |
| 4-5 | 12 | 0.0035 | 1 | 0.094 | 0.1 |
| 5-6 | 12 | 0.0025 | 1 | 0.08 | 0.08 |
| 6-7 | 12 | 0.0015 | 1 | 0.062 | 0.07 |
По найденному значению диаметров труб подобрать ближайший стандартный диаметр чугунных канализационных труб. Диаметр вытяжного канализационного стока ВКС принять равным 0,1 м.
Проверка скорости воды. Проверку скорости воды произвести на одном из участков трубопроводов:
Расчетное наполнение канализационных труб принять равным до половины их диаметра. Если вычисленное значение скорости отличается от принятого более чем на 15%, то расчет необходимо повторить, изменив уклон.
Список используемой литературы
-
Виноградов Ю.Н., Косой В.Д., Новик О.Ю. "Проектирование предприятий мясомолочной отрасли и рыбоперерабатывающих производств" - СПб.: ГИОРД, 2005.
-
Голубева Л.В., Глаголева Л.Э., Степанова В.М., Тихомирова В.Н. "Проектирование предприятий молочной отрасли с основами строительства" - СПб.: ГИОРД, 2006.
-
Кучурин Ю.А. "Основы проектирования и строительства перерабатывающих предприятий", - Брянск. Издательство Брянской ГСХА, 2006.
-
Виноградов Ю.Н., Косой В.Д., Новик О.Ю. "Проектирование предприятий молочной отрасли. Архитектурно-строительный и сантехнический разделы дипломного проекта". - М.: МГУПБ, 1998.
-
СНиП 2.09.02-85. "Производственные здания промышленных предприятий" М.: Стройиздат, 1998.
-
СНиП 11-89-80. "Генеральные планы промышленных предприятий" М.: Стройиздат, 1998.
-
СНиП 2.09.02-85. "Административные здания" М.: Стройиздат, 1997.
-
СНиП 2.04.05-86. "Отопление, вентиляция кондиционирование воздуха" М.: Стройиздат, 1998.
-
СНиП П-3-79. "Строительная теплотехника" М.: Стройиздат, 1998.
-
Буренин В.А., "Основы промышленного строительства". - М.: Высшая школа, 1984.















