129501 (618803), страница 2
Текст из файла (страница 2)
Несколько иные данные получены при опросе народов Севера. У женщин более высокие самооценки, чем у мужчин, были только в отношении самоценности, самопринятия и внутренней конфликтности; у мужчин самооценки были более высокие, чем у женщин, в отношении закрытости, самоуверенности, саморуководства, отраженного самоотношения. Таким образом, этнос вносит поправки в самоотношение и самооценки.
К. Муса и М. Роуч провели исследование, в котором старшеклассники должны были сравнить свою внешность с внешностью сверстников. Выяснилось, что юноши на 10 % чаще, чем девушки, оценивали свою внешность выше, чем внешность сверстников, а девушки несколько чаще, чем юноши, оценивали свою внешность ниже, чем внешность сверстников. Юноши в целом были больше удовлетворены своей внешностью, чем девушки.
Е. В. Боченкова выявила, что самооценка юношей носит завышенный, нереалистичный характер. Они по 9 исследуемым признакам более высоко оценили себя по сравнению с девушками, что, как полагает автор, не соответствует реальной картине. Девушки выше оценили свой внешний вид и дали более высокую общую самооценку [46, c. 50].
Большая разноречивость получаемых данных, вероятно, зависит от используемой методики, от оцениваемых качеств, от возраста испытуемых.
Т. Ю. Филимоненко показала, что достоверные среднегрупповые отличия в переживании своего возраста мужчинами и женщинами отсутствуют. В то же время мужчины по всем показателям продемонстрировали более высокие отклонения субъективного возраста от паспортного, чем женщины. Перечни психологических факторов, влияющих на самооценку субъективного возраста, в мужской и женской выборках существенно расходятся и отражают специфику самовосприятия, обусловленную половой принадлежностью.
Для мужчин факторами, повышающими субъективный возраст, являются психологическая фиксированность на внутреннем мире в ущерб внешнему (интроверсия и преобладание фактора E над фактором I в методике Розенцвейга), а также недостаточное развитие словесно-логического компонента в структуре общего интеллекта.
Для женщин такими факторами являются преимущественно отрицательные психофизиологические состояния.
Самооценка профессионализма. С. А. Гаранин изучил этот вопрос на учителях физической культуры. Волевые качества и уровень своих физических кондиций, эрудированность, логическое мышление, быстрое схватывание сути дела, концентрацию внимания, находчивость и уверенность, принципиальность, а также педагогическую направленность выше оценивают мужчины, уровень сформированности у себя умений, распределение и переключение внимания, память на лица, эмоциональность речи, правдивость, требовательность к себе и другим - выше оценивают женщины. Женщины выше оценивают и свои успехи в работе. Выявлена связь личностных черт взрослых с теми характеристиками, которые были у них в детстве.
Самыми устойчивыми у мужчин оказались такие черты, как интеллектуальные интересы, изменчивость настроения (нейротизм), готовность примириться с неудачей, высокий уровень притязаний, а у женщин - настойчивость, эстетическая отзывчивость, жизнерадостность, желание дойти до пределов возможного [1, c. 152].
Таким образом, различия в самооценке и я-концепции обнаруживаются по разным параметрам — тем, которые ценит в себе каждый пол (мужчины — физические возможности и доминирование, женщины — социальную сенситивность, коммуникативность). Общество конструирует гендерные различия и в количественном плане — по сравнению с детским возрастом взрослые женщины склонны к снижению своей самооценки и росту неуверенности в себе, а мужчины — к повышению самооценки и росту своей уверенности — возможно, в силу того, что общество положительно подкрепляет их в этом отношении.
1.2 Половые особенности мотивационной сферы
Ш. Берн [11] отмечает, что "социальные стереотипы, касающиеся гендеров, могут вынудить нас поверить, что по сравнению с мужчинами женщины - более конформны, легкоубеждаемы и управляемы из-за своей зависимости и подчиненности".
Действительно, в работе А. В. Визгиной и С. Р. Пантилеева [14] показано, что при самоописаниях склонность к подчинению рассматривается женщинами как социально желательная характеристика. Считается, что в любом возрасте представители женского пола более склонны обращаться к авторитетам в определении своей позиции, а при каких-либо затруднениях более склонны придерживаться установленных норм поведения, и что в школе девочек легче заставить выполнить какие-либо поручения.
Как пишут Д. В. Колесов и Н. Б. Сельверова, "для девочки достаточно сознания того, что она действует так, как с нее спрашивают, лишь бы ей внушили, что в этом есть необходимость и смысл. Мальчики же обязательно должны сами понять смысл и значение мероприятия: если они этого смысла не обнаружат, то, как бы их ни убеждали, что "это нужно", активности не проявляют".
"Самостоятельность является символом успешности, могущества и состоятельности "марсиан".
Если женщины смогут понять данную особенность марсиан, это, безусловно, поможет им понять, почему мужчины не любят, когда их поправляют или говорят им, что надо делать. Дать мужчине совет, которого он не просил, равнозначно предположению того, что он не знает, что делать, или не может справиться с этим самостоятельно. Это сильно задевает мужчин, потому что вопрос состоятельности очень важен для них.
Поскольку марсианин справляется со своими проблемами самостоятельно, он крайне редко о них говорит - лишь в тех случаях, когда ему необходим совет человека более опытного, чем он сам. Марсианин совершенно логично обосновывает свое поведение: "Зачем я буду вмешивать в свое дело кого-то еще, если смогу справиться с ним сам?" И остается наедине со своей проблемой, за исключением тех случаев, когда ему нужна помощь в поиске решения. А просьба о помощи в тех случаях, когда можно справиться самому, считается проявлением слабости".
Эта точка зрения господствовала до конца 70-х гг. XX в. вопреки тому, что 82 % исследований, сравнивавших мужчин и женщин на предмет убеждаемости, и 74 % исследований, в которых искали гендерные различия в конформности, никаких различий не обнаружили, пишет Ш. Берн, ссылаясь на работы Игли с соавторами. Но действительно ли это так?
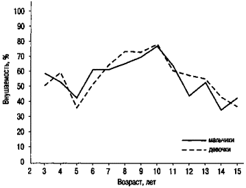
Известно, что лица женского пола более внушаемы, чем лица мужского пола. Правда, как следует из данных А. И. Захарова, это наблюдается не во всех возрастных группах (рис. 1).
Рис. 1. Внушаемость лиц мужского и женского пола
Женщины более податливы к групповому давлению (более конформны). По данным Э. С. Чугуновой [44], у девушек по сравнению с юношами наблюдается более частый выбор профессии по советам родных и знакомых.
Таким образом, мотивация лиц женского пола более внешнеорганизована, т. е. мотив легче формируется под давлением извне, а мотивация лиц мужского пола - более внутреннеорганизована, т. е. исходит из понимания смысла и личной значимости того, что надо делать.
А. В. Ермолин выявил, что при объяснении поступка "потребности" чаще называются лицами мужского пола, а "долженствование" - лицами женского пола. Это согласуется с данными ряда авторов о том, что школьницы больше предрасположены к усвоению общественных норм и требований.
В исследовании Ю. Е. Кочневой и О. А. Шибалиной выявлено, что мужчины демонстрируют большую потребность в познании, чем женщины.
Мотив (потребность) достижений. Распространено мнение, что мужчины в большей степени, чем женщины, придают значение победам, превосходству, у них выше конкурентность, а у женщин мотив достижения ниже, чем у мужчин, и они не склонны строить в отношении своей профессиональной карьеры далеко идущие планы. У ряда женщин, занятых в традиционно женских сферах профессиональной деятельности (педагогика, социальная работа, сестринское дело), как показали исследования американских психологов, это действительно имеет место. Однако профессиональные планы женщин, занятых в сфере коммерции, юриспруденции и медицины, оказались очень близки тем, которые строят в отношении своей карьеры мужчины, занятые аналогичными видами деятельности.
Это соответствует выводу, который сделан в работе Макклеланда с сотрудниками: половые различия в мотивах достижения необходимо рассматривать в соответствии с типом цели [40, c. 123].
Обычно считается, что мужчины с детства имеют большую потребность достижения в областях, связанных с неодушевленными предметами и не связанных с личностью, причем они мотивированы на него ради самого достижения. Женщины же имеют меньшую мотивацию достижения в областях, связанных с взаимодействием людей, и их усилия направлены не на сам успех, а на желание нравиться другим или избегать осуждения).
Чтобы разобраться в достаточно обширных и неоднородных результатах, полученных на разных возрастах и с помощью различных методик, которые направлены на изучение трудносопоставимых или просто не совпадающих между собой сторон мотивации личности, сгруппируем данные из книги Э. Маккоби и К. Жаклин по возрастным периодам и методикам и прокомментируем результаты. Исследования можно разделить на следующие категории: изучающие уровень притязаний, мотивацию по отношению к учебе и оценкам ее успешности, стремление к автономным достижениям, боязнь успеха и реальные успехи [41, c. 111].
Обычно исследователи выделяют 3 уровня притязаний (низкий, средний и высокий), учитывают, какие задачи выбирает испытуемый (легкие или трудные) и как он реагирует на успех или неудачу (снижает уровень трудности, остается на месте или повышает его). Собственно говоря, все 3 уровня могут свидетельствовать о наличии мотивации достижения — просто при низком уровне испытуемый хочет добиться успеха, не затратив особых усилий. Имеет значение и самооценка своих возможностей: высокий уровень притязаний может быть отражением неадекватной самооценки. Приемом, проверяющим уровень притязаний, является и поведение испытуемого после решения трудной или легкой задачи — он может награждать или не награждать себя за такое решение, в чем проявляется его удовлетворенность или неудовлетворенность собственными действиями. Показателем уровня притязаний можно считать и стандарты успешности, которые предпочитает испытуемый. Из шести исследований уровня притязаний, в которых использовались вышеперечисленные критерии, в пяти не было обнаружено гендерных различий (в 3-6, 7, 7-11, 12-14 и 14 лет). Только в исследовании Стрикленда кроме отсутствия различий, было обнаружено преимущество мальчиков. Но это противоречие кажущееся: преимущество наблюдалось среди тех, кто имел средний уровень, и различия отсутствовали у мальчиков и девочек с низким уровнем притязаний. Поэтому в целом можно сделать вывод о том, что с 3 до 14 лет уровень притязаний мальчиков и девочек существенно не различается.
Парадоксальность и неустойчивость половых различий в силе мотива достижения, получаемые в разных исследованиях, X. Хекхаузен [41] тоже склонен объяснять различиями в том, какая ценностная ориентация превалирует у женщин - мужская (интеллектуальная) или женская (семейно-бытовая). Очевидно, именно с большей ориентацией на учебу можно связать лучшую успеваемость и больший мотив достижения в учебе у учащихся девочек и девушек по сравнению с учащимися мальчиками и юношами.
Так, по данным казанских психологов потребность в достижениях у женщин несколько выше, чем у мужчин (соответственно 13,3 и 12,8 балла). Результаты моего исследования тоже показали, что у девушек чаще, чем у юношей, встречается высокий уровень мотива (потребности) достижения (32,2 % против 20,0 % у юношей). То же можно сказать и в отношении среднего уровня мотива достижения: у девушек он найден в 60,7 % случаев, а у юношей - в 48 % случаев. Еще более резкие различия выявляются при сравнении юношей и девушек с низким уровнем мотива достижения: у девушек он найден только в 7,1 % случаев, а у юношей - в 32,0 % случаев. В среднем для группы девушек мотив достижения равен 15,9 балла, а для группы юношей - 8,8 балла.
С другой стороны, в работе И. Мацека и Й. Безака показано, что при просьбе повысить темп точностной работы мотивация у мальчиков по сравнению с девочками оказалась более сильной.
Существуют три точки зрения на проявление мотива достижений у мужчин и женщин. Первая состоит в том, что женщины иначе мотивированы на достижения, чем мужчины. Вторая - что мужчины и женщины мотивированы разными потребностями: для женщин потребность в аффилиации (эмоциональном принятии) важнее, чем потребность в достижениях. Третья - мужчины и женщины обладают мотивом достижений в равной степени, но реализуют его в разных видах деятельности [40, c. 231].
Первая точка зрения находит подтверждение в данных Д. Спенса и Р. Хельмрайха, приведенных в статье К. До. Мотив достижения изучался авторами в трех сферах: совершенствование, соревнование, достижение результата. На студенческой выборке было выявлено, что у женщин выше мотивация достижения результата, у мужчин - мотивация совершенствования и соревнования. В других выборках (атлеты, бизнесмены, психологи) различия между мужчинами и женщинами по мотивации достижения результата и совершенствования были меньшими, а по соревновательности различия (в пользу мужчин) были такими же, как у студентов.
Эти данные могут объяснить различия в мотивах учебной деятельности студентов разного пола, выявленные в книге "Вопросы практической психодиагностики...": у мужчин больше была выражена направленность на получение знаний и профессии, а у женщин - направленность на получение диплома. Говоря другим языком, у женщин было более выражено стремление к достижению результата (диплома), а у мужчин - совершенствование (получение профессиональных знаний).
Половые различия в мотиваторах. Под мотиваторами подразумеваются факторы, влияющие на принятие человеком решения о том, чем и каким способом должна быть удовлетворена потребность. Как показано А. В. Ермолиным, мужчины чаще называют в качестве мотиватора оценку своих возможностей, своего состояния, а женщины в той же ситуации ориентируются на то, как они воспринимаются со стороны (идет им или нет та или иная часть гардероба и т. п.) [44, c. 136].
Деньги как ценность. Как отмечает А. Фенэм, женщины больше, чем мужчины, подвержены фантазиям и навязчивым идеям о деньгах, они больше верят, что заработок должен зависеть от усилий и способностей работника. Правда, при обследовании представителей 43 стран было выявлено, что и у мужчин имеется тенденция придавать деньгам повышенную ценность (исключение составили лишь 2 страны). Предполагается, что это связано с большей склонностью мужчин к соперничеству, а между этой склонностью и представлениями о ценности денег имеется тесная корреляция.
















