118582 (618174), страница 2
Текст из файла (страница 2)
Рис. 4
Рис. 5
Зворотній зв'язок, або двосторонній інформаційний обмін грає виключно важливу роль у процесах управління, в тому числі і в галузі політики. «Встановлюючи зв'язок з іншою особою, – зазначав з цього приводу Н. Вінер, – я повідомляю йому сигнал, а коли ця особа у свою чергу встановлює зв'язок зі мною, воно повертає подібний сигнал, що містить інформацію, спочатку доступну для нього, а не для мене. Керуючи діями іншої особи, я повідомляю йому сигнал, і, хоча цей сигнал даний в імперативній формі, техніка комунікації в даному випадку не відрізняється від техніки комунікації при повідомленні сигналу факту. Більш того, щоб управління було дієвим, я повинен стежити за будь-якими поступають від нього сигналами, які можуть вказувати, що наказ зрозумілий і виконується». Таким чином, з точки зору системно-кібернетичного підходу, управління представляє окремий випадок комунікації, результатом якого є цілеспрямована зміна стану елемента або сукупності елементів. Отже, і політичне управління можна визначити як окремий випадок політичної комунікації.
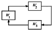
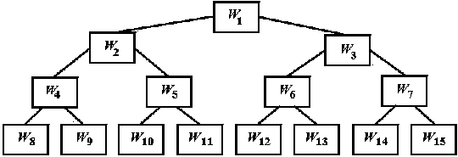
Нерідко будь-якої діє елемент, у тому числі і суб'єкт політики, виявляється пов'язаний з більше ніж одним діючим елементом. Точно так само більш ніж один елемент може бути пов'язаний з даним елементом. У таких випадках говорять, що має місце розгалуження зв'язків, причому в першому випадку відбувається розгалуження виходів (рис. 6а), а в іншому – розгалуження входів (рис. 6б). Одним з різновидів даного типу комунікації виступає ієрархічна зв'язок, або просто ієрархія, яка характеризується впорядкованістю, організованістю взаємодій між окремими рівнями елементів по вертикалі (рис. 7). Подібні багаторівневі зв'язку, що поєднують у якості елементів «малі організації», досить часто потрапляють у поле зору політології та інших соціальних наук: «Вільні федерації стародавньої Греції, Священна Римська імперія і сучасні їй аналогічні феодальні держави, Швейцарська Конфедерація, Сполучені Нідерланди, Сполучені Штати Америки та інші Сполучені Штати, розташовані південніше, Союз Радянських Соціалістичних Республік – все це приклади ієрархій організацій у політичній сфері. Левіафан Гоббса, Людина-Держава, складений з менших людей, є ілюстрація тієї ж ідеї щаблем масштабу нижче».
Рис. 6
Рис. 7
Безліч пов'язаних діючих елементів, взяте в єдності з сукупністю відносин, або зв'язків між ними, складає зміст поняття системи діючих елементів, або, більш коротко, просто системи. При цьому сукупність зв'язків, відносин між діючими елементами системи (і всі різні ізоморфні перетворення цих відносин) називається структурою системи. Слід підкреслити, що діючими елементами системи можуть виступати й системи більш низького порядку, «малі організації», зазвичай іменуються підсистемами, спосіб дії кожної з яких як єдиного і щодо відокремленого цілого визначається її власною структурою. Безумовно, структура як самої системи, так і входять до неї підсистем необов'язково залишається незмінною – з плином часу окремі зв'язку між елементами можуть слабшати і руйнуватися, однак можуть з'являтися і нові зв'язки, в тому числі і з елементами, раніше не входили в систему. У узагальнюючому плані підсистеми, що діють елементи і Дисертант зв'язку між ними нерідко згадуються як компоненти системи.
Використовуючи наведені визначення в політологічному контексті, встановимо, що політична система являє конкретно-історичну форму взаємодії суб'єктів політики та організації відносин між ними, владно впорядковується, оформляють і полягає у певному кордону політичну діяльність у суспільстві. Відповідно, під політичної комунікацією будемо розуміти процес передачі політичної інформації, її переміщення як всередині політичної системи між її елементами і підсистемами, так і між політичною системою і суспільством.
У широкому сенсі, як підкреслював відомий американський політолог Л. Пай, «політична комунікація має на увазі не односторонню спрямованість сигналів від еліт до маси, а весь діапазон неформальних комунікаційних процесів у суспільстві, які надають саме різне вплив на політику».
Зазвичай виділяються три основні способи політичної комунікації: через неформальні контакти, через суспільно-політичні організації (інститути) і через засоби масової інформації. Проте до них слід також віднести і особливі комунікативні ситуації або дії. «У політичній комунікації, – відзначають автори англо-американського» Словника політичного аналізу», – звичайно мають справу з написаним або вимовного словом, але вона може відбуватися і за допомогою [c. 28] всякого знаку, символу і сигналу, за допомогою якого передається зміст. Отже, до комунікації треба віднести й символічні акти – найрізноманітніші, такі як спалення повістки про призов до армії, участь у виборах, політичне вбивство або відправлення каравану суден у плавання по всьому світу. У значній своїй частині політична комунікація складає сферу компетенції спеціалізованих установ та інститутів, таких, як засоби масової комунікації, урядові інформаційні агентства або політичні партії. Тим не менше вона виявляється у всякій обстановці соціального спілкування, від бесід віч-на-віч до обговорення в палатах національного законодавчого органу».
1.3 особливості політичного PR в Україні
Використання PR-технологій як важливої складової політичного процесу в Україні набуває дедалі більшого значення. При побудові образу політичного лідера технологічно важливо враховувати фактори, які можуть мати місце, зокрема:
1) псевдовідповідальність: від політичних лідерів вимагається прийняття відповідальних рішень в умовах невизначеності. Тому політик іноді несвідомо використовує прийом оберненого делегування відповідальності тим, хто призначив або обрав його на відповідну посаду. І до сьогодні однією з невирішених проблем політичного життя України лишається відповідальність депутатів перед виборцями;
2) некомпетентність: компетентність політичного лідера – це акумульований і усвідомлений досвід. Її необхідно доводити на раціональному рівні, на рівні свідомості як кандидата, так і виборців. Політичний лідер мусить відповідати «громадській думці» (державно-правовій фікції – за визначенням Ю. Хабермаса). Серед політиків і, значною мірою, в експертному середовищі популярною є думка, що головним чинником, який суттєво вплинув на вибір громадян декількох останній виборах, була наявність у партій і блоків яскравих лідерів. Та деякі соціологічні дослідження свідчать, що це не завжди так.
3) псевдохаризматичність: політичні лідери, що досягли певних успіхів завдяки особистісному впливу, легко йдуть на те, щоб оголосити свої досягнення результатом харизми. Тобто, харизматичний лідер впливає на своїх послідовників ірраціональним шляхом. Уміло організовані мітинги та зустрічі з виборцями включають механізм психічної індукції, коли громадськість у часових межах заданої програми сприймає і репродукує ті політичні істини, які виголошує лідер. На суб’єктивному рівні феномен цієї помилки виявляється так, що з мітингу політичний лідер іде з повною переконаністю, що він має нових послідовників, оскільки бачив це на власні очі. Натомість послідовники, позбавляючись гіпнозу штучно створеної ситуації, залишаються з приємними враженнями від зустрічі. Але із своїми переконаннями.
2. PR як складова політичного процесу
2.1 Політичний PR як засіб впливу на електоральну поведінку
Політичний вибір, волевиявлення виборця невільні навіть у суспільствах з найбільш розвиненими демократичними інститутами. Рішення людини голосувати тим або іншим чином залежить від прихованого впливу різних закономірних і випадкових чинників. Істотну, якщо не визначальну роль у передвиборній ситуації може зіграти політична реклама, здатна інтегрувати вплив цих факторів на електоральне поведінка, організувати його і підпорядкувати виборчої стратегії. Політична реклама виступає свого роду вектором: вона зводить воєдино можливі поведінкові реакції електорату, задає їм те єдино вірний напрям, яке може визначити успіх на виборах.
Щоб досягти цього, необхідно встановити міцний зв'язок між суб'єктом і об'єктом реклами. Прийнято вважати, що реклама – односпрямований процес, не має на увазі зворотного зв'язку. Це, безсумнівно, так, тим не менше для ефективного впливу на виборця реклама повинна враховувати весь спектр інтересів, запитів людей. Змістовне наповнення політичної реклами формується під впливом потреб електорату. У «пов'язування» запросив об'єкта і пропозицій суб'єкта і полягає її основна комунікативна завдання.
Рішення цього завдання не одномоментний і не строго послідовний процес. Система чинників, що формують політичний вибір, – складне, багаторівневе, але досить гнучке освіту. Причини, що визначають те чи інше прояв електоральної поведінки, – це свого роду важелі, керуючи якими окремо, комплексно або в різних комбінаціях, можна варіювати як нюанси виборних орієнтації, так і загальна їх напрямок.
Проте перш ніж розглядати механізми впливу політичної реклами на систему факторів, що формують політичний вибір, ми повинні проаналізувати специфіку електоральної поведінки людей. Фахівці з політичного маркетингу поділяють чинники, що формують установки політичного вибору, на суб'єктивні та об'єктивні. Цей поділ досить умовно: жоден з факторів не впливає на позицію виборця однозначно і строго визначено, не направляє його до вибору одним єдино можливим шляхом, кожен чинник «спрацьовує» в комплексі з масою інших. Крім того, жоден з так званих «суб'єктивних» чинників, що визначають вибір, не є похідна тільки внутрішніх установок виборця – всі вони формуються під впливом як свідомості, так і буття.
Психологічні закономірності включення людей в політику можна розкрити через загальні потреби людини. До них відносяться фізіологічні потреби (в їжі, одязі, житло), потреби в самозбереженні (в забезпеченні безпеки, підтримці здоров'я), у любові (у звичайній прихильності, включно із сексуальною, в духовній близькості, в ототожненні себе з іншими, у бажанні не просто любити, але при цьому відчувати приналежність до якої-небудь групи), потреби в повазі з боку інших (у володінні престижем, в схваленні з боку оточуючих), в самоповазі (у почутті власної гідності, самореалізації, самовираженні). Хоча всі ці потреби властиві переважній кількістю виборців, серед різних груп населення вони розвинені в різного ступеня і проявляються в різній формі. Наприклад, задоволення фізіологічних потреб в їжі, одязі, житло в однієї групи населення може служити лише підтримання простого фізичного існування, а в іншої – виражатися в прагненні раціонально і смачно харчуватися, красиво і модно одягатися, мати зручне, комфортне житло і т.д.
Мотиви формуються під впливом низки передумов – свідомих і несвідомих, раціональних і емоційних – і знаходяться в постійній взаємодії один з одним. На їх формування впливає набір установок індивіда, тобто його схильність до того, щоб певним чином сприймати обставини, якими б вони не були, і певним же чином реагувати на них. Ці установки не є вродженими, вони виникають в результаті різного роду відносин і взаємодій, в які людина вступає, починаючи з дитинства, – взаємовідносин у сім'ї, школі, з друзями, в рамках соціального класу, до якого він належить; його ставлення до референтній групі, з якою він себе ототожнює і яка грає роль моделі; нарешті, його відносини до осіб, що впливає на формування громадської думки, і до лідерів громадської думки.
Отже, політична реклама, як «діяльність, яка формує суспільні умонастрої, з психологічної точки зору, зводиться до процесів вироблення установок». Включення механізмів реклами на етапі усвідомлення потреб, поєднання їх з пропозицією кандидата і подальша кодифікація в рекламних матеріалах може стати одним з напрямків її впливу.
У ряду факторів, що впливають на політичний вибір, важливе місце займають ідеологічні установки і політична культура. Будь-якого політичного лідера виборець, перш за все, співставляє з тим набором ідеологічних цінностей, що властивий йому самому, він як би вибирає лідера з-поміж «собі подібних».
Поява конкуруючих ідеологій завжди пов'язане з тим, що в суспільстві відбуваються стратифікаційні зміни. Криза, в якій опиняються традиційні громадські структури та ідеології, сприймається масовою свідомістю як розпад звичних систем цінностей і моделей поведінки. Особистість, що втрачає орієнтацію і можливість суб'єктивного контролю над ситуацією, намагається знайти себе в самоідентифікації з будь-якою групою, щоб в цій спільності захиститися перед дійсністю, що стала раптом чужою і ворожою.
















