115781 (617658), страница 4
Текст из файла (страница 4)
В самом деле, если при решении задач на «куплю-продажу» учащиеся имеют еще какой-то житейский опыт, то при решении задач, например, на «движение» этот опыт оказывается явно недостаточным, что вызывает особенно большие затруднения у учащихся. Эти трудности объясняются прежде всего тем, что учащиеся часто не понимают сути основных понятий, указанных в задаче, и существующих между ними отношений.
Анализ указанных видов задач, как и многих других, показывает, что основу описываемого в них сюжета составляют величины, связанные с процессами: скорость поездов, время протекания процесса, продукт (результат), к которому приводит этот процесс или который он уничтожает. Это может быть путь, проделанный поездом; это может быть израсходованный корм и т.д. Успешное решение этих задач предполагает правильное понимание не только этих величин, но и существующих между ними отношений. Так, например, ученики должны понимать, что величина пути или производимого продукта прямо пропорциональна скорости и времени, а время, необходимое для получения какого-либо продукта или для прохождения пути, прямо пропорционально величине заданного продукта (или пути), но обратно пропорционально скорости: чем больше скорость, тем меньше время, требуемое для получения этого продукта или прохождения пути. Если учащиеся усвоят отношения, существующие между этими величинами, то они легко поймут, что по двум величинам, относящимся к одному и тому же участнику процесса, всегда можно найти третью. Наконец, в процессе может участвовать не одна, а несколько сил. Для решения этих задач необходимо понимать отношения между участниками: помогают они друг другу или противодействуют, одновременно или разновременно включились в процессы и т.д. Указанные величины и их отношения и составляют сущность всех задач на процессы. Если учащиеся понимают эту систему величин и их отношения, то они легко смогут и записать их с помощью арифметических действий. Если же они их не понимают, то действуют путем слепого перебора действий. По школьной» программе учащиеся изучают эти понятия в курсе физики в VI классе, причем изучают эти величины в частном виде – применительно к движению. В арифметике же задачи на различные процессы решаются уже в начальной школе. Этим и объясняются затруднения учеников при решении задач, связанных с различными процессами.
Работа с отстающими учениками III класса показала, что ни одно из указанных понятий ими не усвоено. Ученики не понимают и отношений, существующих между этими понятиями.
На вопросы, касающиеся скорости, ученики давали ответы такого типа: «Скорость у машины имеется, когда она идет». На вопрос, как можно узнать скорость, учащиеся отвечали: «Не проходили», «Нас не учили». Некоторые предлагали путь умножить на время. Задачу: «За 30 дней была построена дорога длиной 10 км. Как узнать, сколько километров строилось за 1 день?» – ни один из учащихся не смог решить.
Процесс решения шел хаотично: «Умножим 30 на 10… Или вначале прибавим». Не владели учащиеся понятием «время процесса»: они не дифференцировали таких понятий, как момент начала, допустим, движения и время движения. Если в задаче говорилось, что поезд вышел из какого-то пункта в 6 часов утра, то учащиеся принимали это за время движения поезда и при нахождении пути скорость умножали на 6 часов. Оказалось, что испытуемые не понимают и отношений между скоростью процесса, временем и продуктом (пройденным путем, например), к которому этот процесс приводит. Никто из учащихся не смог сказать, что ему надо знать, чтобы ответить на вопрос задачи. (Даже те ученики, которые справляются с решением задач, не всегда умеют ответить на этот вопрос.) Значит, для учащихся величины, содержащиеся в условии и в вопросе задачи, не выступают как система, где эти величины связаны определенными отношениями. А именно понимание этих отношений и дает возможность сделать правильный выбор арифметического действия. Все сказанное приводит нас к выводу: трудности в решении арифметических задач часто лежат за пределами арифметики как таковой. Главным условием, обеспечивающим успешное решение арифметических задач, является понимание учениками той ситуации, которая описана в задаче. Отсюда следует, что при изучении арифметических задач необходимо формировать приемы анализа таких ситуаций, которые являются не арифметическими, а физическими, экономическими и т.д. В школе этого обычно не делают, поэтому многие ученики и затрудняются в решении арифметических задач.
Важно также отметить, что приемы решения задач должны формироваться по возможности в обобщенном виде.
Так, в арифметике существует более 30 разновидностей задач, связанных с различными процессами. Большинство из них в школе усваивается как самостоятельные типы. Особенности ситуации, описанной в задаче, определяют способ ее решения.
Элементы ситуации можно выделить в том частном виде, в каком они описаны в той или иной задаче: корм, израсходованный за день; путь, пройденный пешеходом за час; вода, вытекающая в течение минуты, и т.д. Но эти же элементы могут быть сразу рассмотрены как частные проявления более общих величин и их отношений, характерных для любого процесса: каждая конкретная задача данного типа связана с протеканием какого-то частного процесса. Следовательно, учеников надо научить видеть в ней то, что характеризует любой процесс: действующие силы, скорость процесса (V), время протекания его (Т) и результат, продукт, к которому приводит этот процесс или который он уничтожает (5). В этом случае все названные задачи выступают перед учениками всего лишь как варианты задач на процессы. Умение решать эти задачи предполагает усвоение определенной системы понятий – скорость, время, продукт процесса, а также отношений между ними.
После этого ученикам может быть дан общий метод анализа условий задачи на языке процессов, составления схемы ситуации и плана решения. В любой задаче на процессы ученик выделяет теперь действующие силы, характер их взаимодействия (помогают или противодействуют друг другу), скорость их действия и т.д. В результате учащиеся овладевают умением видеть за разнообразием сюжетов, описанных в задачах, одну и ту же сущность: величины, характеризующие процесс, и их отношения.
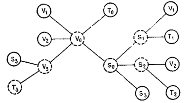
Следующий шаг – научить находить одни величины через другие в общей же форме. В частности, при одной действующей силе любая величина из трех основных (V, Т, 8) может быть найдена при наличии двух остальных. Допустим, решается задача, где искомым является количество деталей, которые изготовляют три бригады за час. Учащиеся обозначают это как общую скорость процесса (У0). Затем они в общей же форме находят величины, с помощью которых это искомое можно получить. Ученики после усвоения основных элементов и их отношений знают, что УО может быть получена только двумя путями: или через общее время (Т0) и общий продукт (50), или через скорости отдельных участников. И они изображают следующее:
Затем они анализируют условие задачи дальше и устанавливают, допустим, что Т0 есть, а 50 нет и т.д. Тогда схема приобретает такой вид (сплошная линия – знак известного, пунктирная – знак неизвестного):
Теперь учащийся должен установить, можно ли найти 5о или УЗ – Он знает, что 50 можно найти двумя путями: через Т0 и через У0 или через 5 частные. Поскольку первый путь в данном случае невозможен (К0 не известно), то остается один – через частные 5.
Так, продолжая анализ на языке процесса, ученик получал в данном случае такую схему:
На схеме видно, что путь, намеченный справа, приводит к решению. Другой решения не дает (Тз узнать невозможно).
На основе схемы ситуации учащиеся составляют план решения задачи и реализуют его. Исполнительные операции никакого труда для них не составляют, так как они в предыдущем обучении уже усвоили математическое выражение тех отношений, которые существуют между основными элементами.
Опыт показал, что при таком обучении даже самые слабые ученики III класса усваивают общий прием решения задач на процессы и успешно применяют его.
Замена частных приемов познавательной деятельности обобщенными существенно повышает развивающий эффект обучения, способствует формированию теоретического мышления учащихся. Вместе с тем это связано с заменой частных знаний новыми, раскрывающими сущность, стоящую за конкретными ее проявлениями. Так, например, в русском языке имеется около 250 пунктуационных правил. Анализ показал, что все они могут быть заменены тремя обобщенными. Но при этом учащихся необходимо учить новым знаниям, раскрывающим сущность тех функций, которые выполняют частные правила. Оказалось, что с этой точки зрения все множество этих правил можно разделить на три группы: обеспечивающие выделение, разделение и соединение слов или предложений. Эти три правила и отражают суть пунктуации, а многочисленные частные правила – это разные виды проявления этой сути. Так, например, правило обособления и правило выделения деепричастного оборота – это частные случаи выделения. Когда учащихся научили ориентироваться на эти новые знания, то они безошибочно расставляли знаки препинания, не заучивая ни одного правила из 250.
Это означает, что обобщенные виды познавательной деятельности могут быть сформированы только при соответствующем построении учебных предметов. Их содержанием должны быть не частные явления, следующие друг за другом и усваиваемые по отдельности, а стоящая за ними сущность. Частные же явления в этом случае будут выступать уже не как предметы специального усвоения, а всего лишь как средства усвоения данной сущности, которая познается через явление. Принципиальная разница состоит в том, что с самого начала ученик учится смотреть на каждое частное явление глазами сущности, понимает это явление как одно из ее проявлений.
Например, арифметические задачи на движение выступают перед учеником не как самостоятельный вид, а как разновидность, вариант задач, связанных с процессами.
Овладение общими методами познавательной деятельности позволяет учащимся не только самостоятельно анализировать новые частные явления, но часто и создавать их. Так, при изучении арифметических задач учащиеся свободно составляют все новые и новые их разновидности. При этом они вначале составляют абстрактную схему задачи, оперируя основными величинами, а потом легко придумывают сюжеты. Аналогичные данные получены при изучении современных металлорежущих станков. Когда учащиеся при работе с несколькими станками усвоили метод, ориентированный на то общее, фундаментальное, на чем основано все множество современных станков для холодной обработки металлов резанием, то они предложили варианты новых станков данного класса, которых нет, но которые могут быть сконструированы и успешно будут работать. В данном случае это открывает путь к подлинному политехнизму обучения. Если учитель умеет строить обобщенные виды познавательной деятельности, то он сможет эффективно оказывать помощь и тем ученикам, которые в предыдущем обучении не овладели ими.
В качестве примера возьмем решение тех же арифметических задач на процессы. Когда ученик не может решить задачу, ему нередко или показывают, как это делать, или просто советуют получше подумать. Совет дать легко, но выполнить его ученик н£ всегда может, так как часто задача не выходит именно потому, что ученик не умеет думать. Учитель, желая помочь ему, должен показать, что же надо сделать, чтобы «подумалось». Но для этого и надо знать, из каких умственных действий состоит процесс решения любой задачи данного класса, в каком порядке они должны выполняться.
Естественно, что овладение обобщенными приемами познавательной деятельности не только повышает уровень познавательных возможностей учащихся, качество усвоения знаний, но и сокращает время, необходимое для обучения.
Итак, нельзя заботиться о знаниях, не заботясь о деятельности, в которую эти знания входят. При изучении любого предмета надо заботиться не о количестве изученных фактов и не о количестве выработанных навыков, а о формировании основных обобщенных видов познавательной деятельности – логических и специфических.
Если мы формируем частные познавательные приемы, то у обучаемых будет эмпирическое мышление. Если же мы даем приемы, ориентированные на сущность, характерную для целей системы частных случаев, то ученики получают возможность теоретически мыслить, овладевают умением видеть за частными проявлениями сущность, умением ориентироваться на нее и в силу этого самостоятельно продвигаться в данной области знаний'.
4. Закономерности процесса усвоения
Результатом обучения, прежде всего, является формирование различных видов познавательной деятельности или отдельных ее элементов: понятий, представлений, различных умственных действий. Это означает, что эффективное формирование познавательной деятельности обязательно приведет к повышению эффективности учебного процесса в целом.
В предыдущей главе мы раскрыли основные виды познавательной деятельности, которые необходимо сформировать у учащихся. Для того чтобы делать это целенаправленно и успешно, необходимо знать закономерности процесса усвоения.
Знание закономерностей процесса усвоения позволяет ответить на вопросы, которые возникают при организации любого процесса обучения.
Раскрытие целей обучения позволяет ответить на вопрос, для чего организуется обучение. Знание содержания обучения отвечает на вопрос о том, чему надо учить, чтобы достичь поставленных целей. Осознание закономерностей усвоения дает возможность ответить на вопрос, как учить: какие выбирать методы, в какой последовательности их использовать и т.д.
Современная психология еще не располагает исчерпывающим знанием законов усвоения. Наиболее полно и конструктивно закономерности усвоения представлены в деятельностной теории учения, известной под названием теории поэтапного формирования умственных действий, которая заложена трудами П.Я Гальперина.















