112823 (616614), страница 2
Текст из файла (страница 2)
Очень много зависит от умения ставить (задавать) вопросы учащимся. Вопросы не должны нести в себе подсказку, а подталкивать учащихся к размышлению7. Вместо вопросов: «Во сколько туров проходила олимпиада?», «Как распределились посевные площади?», «Какое время находились туристы в пути?», «Какие машины находятся в автопарке?» лучше задавать общие вопросы: «Что происходит по условию задачи?», «Какие объекты участвуют в задаче?», «Какие части можно выделить в задаче?». Вместо вопроса «Можно ли найти такую-то величину?» лучше задать вопрос: «Что можно найти по данным задачи?», поскольку он может вывести на несколько вариантов решения.
Задавая вопросы, учитель не должен вести учащихся к своему решению; нужно рассмотреть все пути решения, выслушать и обсудить все варианты.
1.3 Решение текстовых задач алгебраическим методом по Г.Г. Левитасу
Левитас Г.Г. использует следующий способ обучения школьников алгебраическому методу решения текстовых задач8.
Текстовой задачей, по его словам, назовем не математическую по фабуле задачу, решаемую математически. Например, задача «У Кати и Поли вместе 12 кукол; у Кати на две куклы меньше. Сколько кукол у каждой из них?» — не математическая по фабуле. Но её можно решить математическим методом, моделируя ситуацию уравнением х+(х+2)=12.
Для решения текстовой задачи мы переводим её на математический язык, т.е. создаём её математическую модель. Овладение навыками математического моделирования, по мнению Левитас, — едва ли не самое важное, чему мы учим детей на уроках математики. Одна из причин неуспеха, как пишет Левитас Г.Г., состоит в неправильном порядке обучения методу алгебраического решения текстовых задач, а именно в неправильном порядке их перевода на язык математики.
Ведь как вообще совершается перевод с одного языка на другой? Иногда он идёт синхронно. Вы читаете лёгкий для перевода текст и тут же излагаете его на другом языке. Именно так переводит учитель математики лёгкие для него текстовые задачи из школьного курса. Он сразу видит, что именно выгодно принять за х, что нужно выразить через х, каким будет уравнение. И учит детей работать именно в таком порядке. И действительно, лёгкие для школьника задачи он решает именно так.
Но вот встретилась задача потруднее. Что обозначать через х? Какие именно неизвестные величины выражать через х? Как составлять уравнение?
Рассмотрим, например, такую задачу. «Когда первый из двух шашечных турниров завершился, во втором было сыграно столько же партий, сколько в первом, и осталось сыграть ещё три тура. Известно, что оба турнира игрались в один круг и что число участников во втором туре было чётным. Сколько партий игралось в каждом туре второго турнира?»
Левитас предлагает сначала составить схему уравнения:
Число партий в первом турнире
+
Число партий в трех турах второго
=
Число партий во втором туре
Затем надо выбрать основные неизвестные так, чтобы через них можно было выразить каждую из величин, имеющихся в этой схеме. Если обозначить через х число участников первого турнира, а через у число участников второго турнира, то получим уравнение:
Описанная последовательность действий и есть тот способ, которым Левитас учит детей решать не получающиеся у них задачи: составь схему уравнения, выбери обозначения, составь уравнение …
Например, если школьнику трудно решить приведённую выше задачу с куклами, он добивается от него составления такой схемы уравнения:
(число кукол у Кати)+(число кукол у Поли)=12,
и только после этого он занимается поисками, связанными с переводом на математический язык выражений, стоящих в скобках. Понятно, что та же задача допускает и иное истолкование:
(число кукол у Поли)-(число кукол у Кати)=2,
что приводит к иным обозначениям.
Особенность этого способа заключается в том, что моделирование — перевод на математический язык — проводится в два приёма. Сначала русский текст задачи частично сохраняется и выступает совместно с элементами математического языка: знаками действий и знаком равенства. И только после этого естественный язык полностью заменяется математическим. Именно так, постепенно, переводим мы трудную для нас фразу с одного языка на другой.
1.4 Анализ и решение текстовых задач по методу В. Лебедева
В. Лебедев считает, что то, что в школьном курсе математики решение текстовых задач считается одним из самых сложных для восприятия и усвоения учащимися разделов, связано с неразработанностью аналитического аппарата, который бы позволял рассматривать любую текстовую задачу как систему, в независимости от того, является ли она задачей на движение, на работу, на смеси или сплавы, на проценты и т. д9.
Для того, чтобы рассматривать задачу как систему, нам необходимо определить:
-
элементы задачи;
-
характер взаимосвязей между элементами.
Первый набор элементов, который необходимо определить в задаче как системе – это участники контекста задачи (машина и велосипед, поезда, амфибии и самолеты; рабочие и землеройки, станки и роботы; сплавы цинка и меди, раствор соли и спирта и т. д.)
Действие, производимое участником или с участником, в свою очередь также является системой. Эти действия определяются следующими элементами, которые называются компонентами:
-
скорость V, время t, путь S – движения;
-
производительность T, время t, объем работы V – работы;
-
объем смеси V0, объем вещества в смеси Vв, объемная концентрация вещества в смеси cв, процентная, объемная концентрация вещества в смеси pв% – смеси, сплава, раствора... и т. д.
По условиям задачи происходят различные изменения в значениях компонентов участников или накладываются на них какие-либо ограничения: увеличилась или уменьшилась скорость движения, известно время до встречи; вначале работали вместе, затем увеличилась производительность труда и т. д. Каждое такое изменение характеризует свою систему, состоящую из участников и соответствующих значений компонент. Назовем эти системы состояниями.
Тогда общую систему задачи можно представить в виде:
Структура системы определяется характером взаимосвязи между элементами. Таким образом, для полного раскрытия системы задачи нам необходимо определить взаимосвязи:
1. Между компонентами каждого участника в каждом состоянии. Назовем их вертикальными взаимосвязями.
2. Между компонентами участников в каждом состоянии. Назовем их горизонтальными взаимосвязями или уравнивающими.
3. Между компонентами каждого участника в различных состояниях.
4. Между компонентами участников в различных состояниях.
Необходимость поиска взаимосвязи между компонентами участников в каждом состоянии требует ввести еще один элемент в систему задачи. Назовем его взаимосвязь (или общее).
Теперь таблица системы задачи будет выглядеть следующим образом:
В зависимости от типа задачи таблица, описывающая ее систему, примет соответствующий вид. Например, для задачи на движение:
Движение каждого участника описывает три компоненты. Для того, чтобы найти взаимосвязь между ними, нам необходимо знать значения двух компонент. В традиционном подходе к решению текстовых задач для реализации этого положения вводятся неизвестные величины – x, y и т. д. Мы используем следующий подход. Пусть, например, S21 и S22 (указываем какие-либо из компонент) как будто бы известны и дальше работаем над задачей, исходя из этого.
Например:
Задача 1. Между домами Кролика и Лиса существовала прекрасная дорога в 50 км. Как-то так случилось, что они одновременно пошли друг к другу в гости. Они не пошли, а побежали. Через 5 часов, увлеченные воображаемым приятным времяпрепровождением в гостях, они пробежали мимо друг друга, рассеянно сказав: «Привет». Кролик, задумавшись над тем, неуловимо знакомым только что промелькнувшим мимо него, снизил свою скорость на 1 км/ч. Лис, почуяв что-то из того, что ему грезилось, увеличил скорость на 1 км/ч. Каково же было их разочарование, когда они не застали друг друга дома. У Лиса это разочарование наступило на 2 часа позже, чем у Кролика. С какой скоростью двигался Кролик?
Первым шагом анализа системы задачи мы определяем участников движения. Читаем текст задачи.
1. Сколько участников? – Два (Кролик и Лис).
Вторым шагом определяем состояния: сколько их и какие они.
2. Сколько состояний? – Два (до встречи, после встречи).
Третьим шагом изложим в таблице данные, необходимые для дальнейшего анализа системы задачи.
После построения таблицы еще раз читаем текст задачи (четвертый шаг) и заносим в нее данные значения компонентов.
Для того, чтобы проанализировать первое состояние, нам необходимо ввести значения компонент, которые мы как бы знаем. Пусть это будет скорость кролика – V1. Тогда имеем (в скобках цифрами мы проставляем последовательность наших рассуждений):
(4) и (5) получены из анализа взаимосвязи компонентов каждого участника в различных состояниях и условия задачи. (6) и (7) – из анализа взаимосвязи компонентов участников в различных состояниях. (8) и (9) – из анализа взаимосвязи компонентов каждого участника в состоянии 2. (10) – из условия задачи.
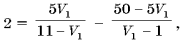
На основании (10) имеем уравнение:
решив которое получаем: V1 = 6 км/ч.
Ответ: 6 км/ч.
Можно отметить, что уравнения формируются из взаимосвязей между компонентами участников в состоянии. Поэтому мы и назвали их горизонтальными или уравнивающими.
На учащихся производит большое впечатление, если они понимают, что для анализа системы задачи нет особой разницы в том, какой или какие значения компонентов принять за как бы известные величины. Еще больше их интригует возможность по полностью восстановленной системе задачи составлять свои задачи, переходить от одной задачи к другой.
Таким образом, на рассмотренном примере мы показали, как использовать метод анализа системы задачи, строить уравнения, которые приводят к решению текстовых задач.
Необходимо отметить, что данная методика обучения расширяет возможности учителя по развитию творческого мышления учащихся, позволяет развивать у них целостное и системное понимание математических закономерностей и взаимосвязей.
Глава II. Анализ практического применения методики обучения решению текстовых задач алгебраическим способом
Итак, задачи (в широком смысле этого слова) играют огромную роль в жизни человека. Задачи, которые ставит перед собой человек, и задачи, которые ставят перед ним другие люди и обстоятельства жизни, направляют всю его деятельность, всю жизнь.
Мышление человека главным образом состоит из постановки и решения задач. Перефразируя Декарта, можно сказать: жить – значит ставить и решать задачи.
Особую большую роль играют задачи в обучении младших школьников математике. Решение задач выступает и как цель, и как средство.
В гимназии № 2 г. Новосибирска в начальной школе в одном из классов обучение математике ведется по программе и учебникам Н.Б. Истоминой, которые реализуют задачи развивающего обучения, так как целенаправленно и непрерывно формируют приемы умственной деятельности: анализ, синтез, сравнение, классификацию, аналогию, обобщение в процессе усвоения математического содержания.
Активное включение приемов умственной деятельности в процессе усвоения математических знаний, умений и вычислительных навыков позволяет рассматривать:
-
способы организации учебной деятельности гимназистов,
-
способы познавательной деятельности школьников,
-
способы включения в познавательную деятельность различных типов памяти,
-
вопросы преемственности со средним звеном,
-
вопросы повышения качества знаний учащихся.
Выбор программы Н. Б. Истоминой педагогами был обоснован. Автор этого курса не стремится наполнить его новыми понятиями, а в основном ориентируется на объем стабильной программы и возрастные особенности младших школьников. Тем не менее, направленность курса на формирование приемов умственной деятельности потребовала усиление содержательной линии курса, которая связана с формированием у младших школьников системы понятий и общих способов действий. Это усиление нашло отражение в тематическом построении курса, что особенно связывает эту программу с программами развивающего обучения.
В отличие от стабильного курса, в которой текстовая задача рассматривается как средство формирования математических понятий и деятельность учащихся направлена на овладение умением решать определенные типы текстовых задач, в математике Н. Б. Истоминой дети приступают решению задач только после того, как у них сформированы все необходимые для этого знания и умения, усвоен смысл математических понятий, сформировано умение переводить предметные действия и их словесные описания на язык схем и математических символов. Это позволяет в теме «Задача» направить деятельность учащихся на овладение общими умениями: умения читать задачу, выделять известные и неизвестные величины, устанавливать связь между условием и вопросом, выбирать действие для ее решения, активно используя при этом приемы умственных действий. Авторами этой программы изданы тетради для решения задач, в которых детям предлагается помощь при составлении схем, установлении зависимости между величинами, поиска способа действий. Очень важным, на наш взгляд, в учебниках этого автора, что рассуждать детям помогают их сверстники – герои учебника Миша и Маша.















