104891 (615998), страница 2
Текст из файла (страница 2)
4. Декодирование. После передачи сообщения отправителем получатель декодирует его. Если символы, выбранные отправителем, имеют точно такое же значение для получателя, последний будет знать, что именно имел в виду отправитель, когда формулировалась его идея. Если реакции на идею не требуется, процесс обмена информации на этом должен завершиться. С точки зрения руководителя, обмен информацией следует считать эффективным, если получатель продемонстрировал понимание идеи, произведя действия, которых ждал от него отправитель.
Точность понимания получателем смысла высказывания станет очевидной для отправителя только тогда, когда произойдет смена коммуникативных ролей и получатель превратиться в отправителя и своими высказываниями даст знать о том, как он понял смысл принятой информации. В этом проявляется суть еще одного элемента коммуникационного процесса – обратной связи. Обратная связь может способствовать значительному повышению эффективности обмена управленческой информацией. Двусторонний обмен информацией (при наличии возможностей для обратной связи) по сравнению с односторонним (обратная связь отсутствует), хотя и протекает медленнее, тем не менее эффективнее снимает напряжения, более точен и повышает уверенность в правильности интерпретации сообщений. Обратная связь заметно повышает шансы на эффективный обмен информацией, позволяя обеим сторонам подавлять шум. Шум – это любое вмешательство в процесс коммуникации, искажающее смысл сообщения. Источники шума, которые могут создавать преграды на пути обмена информацией, варьируют от языка (в вербальном или невербальном оформлении) до различий в восприятии, из-за которых может изменяться смысл в процессах кодирования и декодирования, и до различий в организационном статусе между руководителем и подчиненным, которые могут затруднять точную передачу информации. Необходимо учитывать, что шум присутствует всегда, поэтому на всех этапах процесса коммуникации происходит некоторое искажение значения передаваемого послания. Высокий уровень шума определенно приведет к заметной утрате смысла и может полностью блокировать попытку установления информационного обмена. С позиций руководителя это должно обусловить снижение степени достижения целей в соответствии с передаваемой информацией.
2. Структура коммуникаций
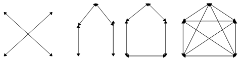
Коммуникационная сеть – соединение определенным образом участвующих в коммуникационном процессе индивидов с помощью информационных потоков. Коммуникационная сеть может влиять на сокращение или увеличение разрыва между посланным и полученным сообщением. Создаваемая руководителем сеть состоит из вертикальных, горизонтальных и диагональных связей. Вертикальные связи осуществляются сверху вниз от руководителя к подчиненному. Горизонтальные связи осуществляются между равными по уровням работниками или частями организации: между заместителями; между начальниками отделов; между подчиненными. Диагональные связи - это связи с другими начальниками и подчиненными. Взаимосвязь этих сетей создает реальную структуру организации. Возможности развития коммуникационной сети ограничивают, как правило, размеры подразделений в организации. Увеличение размера группы приводит к возрастанию количества возможных коммуникационных отношений. Поэтому от того, как построена коммуникационная сеть, зависит ее влияние как на сокращение, так и на увеличение разрыва между посланным и полученным значением, и соответственно деятельность персонала может отличаться большей или меньшей эффективностью. Особенно важно знание типов коммуникационных сетей или структур коммуникаций в группе. Среди существующих коммуникационных сетей для групп разной численности можно выделить четыре основных типов: колесо, цепь, круг, сложный круг (или всеканальная) (рис. 2).
Рис. 2. Типы коммуникационных сетей в группе
Формальная, централизованная иерархия власти, при которой подчиненные общаются друг с другом только через своего начальника, представлена в сетях типа «колесо». Одно лицо занимает центральное место в коллективе и большинство членов этой группы при определении своей позиции сориентированы на центр. Это связано с лидерскими функциями лица находящего в центре «колеса», его возможностями оказывать больше социального влияния на других членов группы. Оно также связано с ответственностью за передачу информации и принятие окончательных решений. Если члены группы соединены между собой, как звенья одной цепи, в которой каждый поддерживает контакт с кем-то одним, то мы имеем сеть типа «цепочка». Последняя отражает последовательно сеть горизонтальных связей. В сетях типа «круг» члены группы могут коммуницировать только с тем, кто расположен рядом с ними. Примером полностью децентрализованных групп являются «всеканальные» сети, которые используются, как правило, тогда, когда необходимо участие всех членов в решении сложных проблем. Такой подход называют еще открытыми коммуникациями.
3. Виды коммуникаций
коммуникация межличностный передача информация
Организационные коммуникации – это совокупность коммуникаций, строящихся на основе общения, опосредованного информацией о самой организации, ее целях и задачах. Организационные коммуникации делятся на внешние и внутренние. Внешние коммуникации - это коммуникации между организацией и средой. Факторы внешней среды очень сильно влияют на деятельность организации. От этих факторов зависят коммуникационные потребности организации. Если бы нужно было проанализировать, о чем говорят, пишут и читают в действительности люди в организации, основное внимание пришлось бы сосредоточить на каких-то вопросах, которые связаны с потребностями информационного взаимодействия с внешним окружением, которое влияет или будет влиять на организацию. Организации пользуются разнообразными средствами для коммуникаций с составляющими своего внешнего окружения. С имеющимися и потенциальными потребителями они сообщаются с помощью рекламы и других программ продвижения товаров на рынок. В сфере отношений с общественностью первостепенное внимание уделяется созданию определенного образа, имиджа организации на местном, общенациональном или международном уровне. Организациям приходится подчиняться государственному регулированию и заполнять в этой связи пространные письменные отчеты. В своих ежегодных отчетах любая компания сообщает информацию по финансам и маркетингу, а также приводит сведения о своем размещении, возможностях карьеры, льготах и т. п. Используя лоббистов и делая взносы в пользу разных политических групп, комитетов, организация пытается влиять на содержание будущих законов и постановлений. Организация, где есть профсоюз, должна поддерживать связь с законными представителями лиц, работающих по найму. Если профсоюз в данной организации отсутствует, она может общаться со своими работниками ради того, чтобы профсоюз не появился. Это лишь немногие примеры из всего разнообразия способов реагирования организации на события и факторы внешнего окружения. Еще раз подчеркнем, что обсуждения, собрания, телефонные переговоры, служебные записки, видеоленты, отчеты и т. п., циркулирующие внутри организации, зачастую являются реакцией на возможности или проблемы, создаваемые внешним окружением. Внутренние коммуникации - это коммуникации внутри организации между различными уровнями и подразделениями. Формальные коммуникации - это коммуникации, которые определяются организационной структурой предприятия, взаимосвязью уровней управления и функциональных отделов. Чем больше уровней управления, тем выше вероятность искажения информации, так как каждый уровень управления может корректировать и отфильтровывать сообщения. Для выполнения своих производственных функций сотрудники организации должны взаимодействовать, т.е. вступать в общение друг с другом. От того, насколько эффективно это общение, во многом зависит производственное поведение каждого из сотрудников и успех организации в целом. Руководитель одного из филиалов многонациональной компании в течение трех дней звонил в отдел поставок головного офиса, однако не заставал начальника отдела. Не застав его в четвертый раз, директор филиала попросил секретаря передать просьбу перезвонить начальнику отдела. Тот перезвонил только через день и выяснил, из-за недопоставки оборудования объект не может быть сдан заказчику и компания будет выплачивать штрафные санкции в размере 10 тысяч долларов в день. Если бы руководитель филиала выбрал более эффективный способ коммуникации (факс, электронную почту, детальное телефонное сообщение секретарю), убытков можно было бы избежать. Каждая организация имеет формальную систему коммуникации, которая предписывается формальной организационной структурой. Неформальные коммуникации. Канал неформальных коммуникаций можно назвать каналом распространения слухов. Поскольку по каналам слухов информация передается много быстрее, чем по каналам формального сообщения, руководители пользуются первыми для запланированной утечки и распространения определенной информации или сведений типа "только между нами". Особенностью неформальной коммуникации является то, что она пренебрегает организационной структурой и пронизывает все иерархические уровни. Эта особенность делает всех членов организации участниками информационного обмена и придает ему особую значимость для управления человеческими ресурсами. По исследованиям американских ученых, около 90 процентов неформального информационного обмена касается организационных вопросов. Поэтому понимание руководством механизма неформальной коммуникации и умение использовать его, является важным условием эффективного управления организацией. Информация перемещается внутри организации с уровня на уровень в рамках вертикальных коммуникаций. Она может передаваться сверху вниз предполагает передачу информации от руководителя подчиненному, например, инструкции генерального директора своему заместителю, начальнику отдела. Этот вид коммуникации является наиболее распространенным в современных организациях: руководители среднего звена направляют более 70 процентов своих сообщений своим подчиненным, высшие руководители проводят около 50 процентов всего своего рабочего времени в общении с подчиненными. Коммуникация сверху вниз играет важнейшую роль в управлении организацией, поскольку непосредственно влияет на мотивацию и способность сотрудников выполнять свои производственные функции и, следовательно, обеспечивать достижение организационных целей. Ее главная цель - предоставление информации о том, что (как, когда, где) должны делать сотрудники организации. Поэтому основными формами коммуникации сверху вниз являются приказы, инструкции, предписания, правила и процедуры. Также важнейшей функцией коммуникации сверху вниз является оценка работы сотрудников за прошедший период. В последние годы руководители многих организаций стали рассматривать предоставление информации о результатах работы всего предприятия, конкурентах, клиентах, других элементах внешней среды в качестве важного средства повышения эффективности управления персоналом и, соответственно, специфической цели коммуникации сверху вниз. При коммуникации сверху вниз информация, как правило, проходит через значительное число организационных уровней, поэтому довольно большим является риск ее искажения, особенно при устной передаче. Генеральный директор географически разбросанной компании обратил внимание директора по продажам на необходимость большей координации работы представителей по продажам московской штаб-квартирой. Когда эта информация дошла до представителя по продажам в Новосибирске, он воспринял ее как решение ликвидировать отделения по продажам в провинции и подал заявление об уходе по собственному желанию. Поскольку негативные последствия искажения информации при коммуникации сверху вниз могут быть очень ощутимы для организации, выбор метода передачи информации играет особо важную роль. Наиболее "безопасными" и эффективными являются такие способы, как письменные послания, адресованные всем затрагиваемым сотрудникам, видеоконференции, встречи в малых группах. Помимо обмена по нисходящей, организация нуждается в коммуникациях по восходящей. Коммуникация снизу вверх традиционно играла чисто информационную роль – для принятия решений руководителям всех уровней необходимо знать о положении дел на местах. Большинство современных организаций имеют формализованную систему статистических и аналитических отчетов, справок и т.д. Однако различие в статусе между тем, кто предоставляет и получает информацию, зависимость первого от последнего создают объективную угрозу искажения информации. Подчиненные часто преувеличивают свои достижения и скрывают недостатки, опасаются предоставлять данные, которые, по их мнению, могут негативно сказаться на их карьере или вознаграждении. В результате предоставления искаженной информации страдает качество принимаемых руководителями решений и снижается эффективность управления организацией. Традиционными методами контроля качества предоставляемой снизу информации являются сбор данных из независимых источников и выборочные проверки. Нередко, чтобы проверить качество работы с клиентами, проводятся телефонные опросы или руководитель периодически звонит внешним контактам подчиненного. В этой связи можно говорить и об информации «извне» компании, которая дополняет и постоянно перемешивается с внутренними коммуникационными потоками. Оба этих метода основаны на понимании сотрудником, что заведомое искажение информации будет выявлено и он может понести наказание. Однако более важным является создание атмосферы доверия между руководством и сотрудниками организации, которая может возникнуть при условии эффективной коммуникации сверху вниз, обеспечивающей обратную связь и вовлечение рядовых сотрудников в управление организацией. Нежелательной является ситуация, когда руководитель создает впечатление, что доверяет внешней информации более чем той, которая поступает от его подчиненных, перепроверяет ее, а то и заставляет их действовать на основании внешних сигналов. Это порождает определенную организационную «паранойю», когда в компании нарушается нормальное взаимодействие. Использование потенциала сотрудников за рамками их непосредственных производственных обязанностей стало в последние годы еще одной важной целью коммуникации снизу вверх. Руководство заинтересовано в предложениях по улучшению внутриорганизационного климата, информационного потока. Для достижения этой цели используются такие коммуникационные средства, как: "ящики для предложений", которые устанавливаются в удобных для сотрудников местах» система "диалог", когда сотрудники могут анонимно сделать предложение или задать вопрос, на который руководство дает публичный ответ, специальный адрес электронной почты, который работает как "ящик для предложений", встречи-совещания в рабочих группах или бригадах. Исследования показывают, что когда рядовые сотрудники имеют возможность высказать собственные предложения мнения и особенно когда эти предложения вызывают реакцию руководства, значительно повышается их мотивация и производительность. Горизонтальная коммуникация осуществляется между сотрудниками, находящимися на одном иерархическом уровне: заместителями генерального директора, руководителями отделов человеческих ресурсов и продаж, инженерами конструкторского бюро. Основной целью горизонтальной коммуникации является обмен информацией для координации действий подразделений и сотрудников, т.е. для оптимизации производственного поведения и реализации целей организации. Значение этого вида коммуникации возрастает по мере того, как сокращаются количество иерархических уровней в организации и время, отпущенное на принятие управленческих решений, - обе эти тенденции четко прослеживаются в современном мире. Поскольку при горизонтальной коммуникации ее участники находятся на одном иерархическом уровне, информационный обмен может быть более дружелюбным и эффективным, чем в случае вертикальной коммуникации. Такой обмен является хорошим средством развития компетенций сотрудников, усиления их мотивации за счет межфункционального взаимообогащения, возможности посмотреть на проблему с другой точки зрения, расширения социальных контактов в организации. В то же время находящиеся на одном уровне работники могут конкурировать за организационные ресурсы, внимание и расположение руководства или Рядовых сотрудников, что может осложнять коммуникационный процесс и отрицательно сказываться на результатах организации.
Качество организационной коммуникации оказывает непосредственное влияние на производственное поведение сотрудников, а также на функционирование других процессов управления персоналом: подбора и приема на работу, развития, оценки, компенсации. Значение коммуникации в управлении возрастает по мере увеличения уровня информатизации современных организаций и ускорения перемен во внешней среде их деятельности, поэтому повышение ее эффективности является важным источником конкурентного преимущества в современном мире. Эффективность внутриорганизационной коммуникации или то, насколько затрачиваемые на этот процесс организационные ресурсы (финансовые, человеческие, материальные) способствуют реализации организационных целей, зависит от множества факторов, которые могут быть подразделены на две большие группы: индивидуальные и организационные. Под индивидуальными факторами понимается все то, что связано с сотрудниками организации, их способностью и мотивацией участвовать в информационном обмене. Исследования показывают, что существует ограниченное количество проблем (коммуникационных барьеров), снижающих эффективность коммуникации на уровне отдельного сотрудника. Существует несколько хорошо апробированных стратегий, которые позволяют достаточно успешно преодолевать коммуникационные барьеры и повышать эффективность коммуникации на уровне сотрудников организации. Во-первых, организации должны обратить специальное внимание на развитие коммуникационных навыков своих сотрудников. К числу наиболее важных навыков относятся: активное слушание и предоставление обратной связи. Смысл активного слушания как приема коммуникации состоит в способности слушателя помочь говорящему сказать именно то, что он намеревался сказать. Обратная связь, делающая процесс коммуникации двусторонним, значительно повышает его эффективность, поскольку дает возможность уточнения полученного послания. Эффективная обратная связь должна: быть своевременной, т.е. не задерживаться от момента получения оригинального послания; содержать перефразированное оригинальное послание; включать уточняющие вопросы; не давать оценок оригинальному посланию. Во-вторых, очень важно обеспечить развитие у сотрудников чисто технических навыков коммуникации: владение электронной почтой, умение пользоваться факсом, писать меморандумы. В-третьих, руководство должно создавать управленческие системы и формировать культуру, поощряющую открытую коммуникацию в организации. Помимо описанных выше "ящиков для предложений" и систем типа "диалог", современные организации используют такие методы поощрения информационного обмена, как корпоративные "горячие линии", дающие каждому сотруднику возможность высказывать свои мысли или задавать вопросы в любое время, совместные завтраки или обеды с участием сотрудников различных отделов и уровней, совместные поездки на экскурсии, пикники и т.д. В организациях, использующих труд сотрудников различных национальностей, необходимо проведение специального обучения, дающего возможность осознать значение культурных различий и их влияние на процесс коммуникации. Наиболее существенными коммуникационными барьерами на организационном уровне являются организационная структура, информационная перегруженность, фильтрация и неадекватное техническое оснащение. Чем больше иерархических уровней в организации, тем сложней передача информации и выше вероятность ее искажения. Также негативно сказывается на эффективности внутриорганизационной коммуникации неравенство в статусе сотрудников, находящихся на различных организационных уровнях, добавляющее к чисто техническому фактору психологические барьеры для обмена информацией. Эти барьеры особенно ощутимы при наличии видимых символов статуса: отдельных столов для руководства, закрытых кабинетов, персональных машин и т.д. В определенной степени негативное влияние этих факторов может быть уменьшено за счет широкого использования видеоматериалов с выступлением руководителей, регулярных встреч с работниками всех уровней, проведения дней открытых дверей кабинетов высших руководителей, когда к ним могут прийти любые сотрудники компании; совместных обедов и ужинов. Более кардинальным методом является деиерархизация организационной структуры, т.е. сокращение числа иерархических уровней между руководителем и рядовыми исполнителями. Информационная перегруженность может возникнуть в том случае, если организация представляет своим сотрудникам больше информации, чем требуется для выполнения производственных функций. Тогда сотрудники начнут использовать предназначенные для производственной деятельности ресурсы на обработку дополнительной информации. Традиционными средствами минимизации эффекта перегруженности является фильтрование информации и определение приоритетов в ее обработке. Тем не менее способность современных компьютерных систем давать различные «срезы» информации, представлять ее в графическом виде, распределять ее в зависимости от иерархии сотрудников и их прав доступа несет в себе существенный потенциал упрощения работы управленца. Даже простое внедрение эффективной системы управления списками рассылки электронной почты в корпорации способно на 30 -40% уменьшить лавину писем, обрушивающихся на персонал компании. Фильтрация может стать и серьезным барьером внутриорганизационной коммуникации в том случае, когда информация просеивается и корректируется в интересах отдельных сотрудников, а не целей организации. Существует множество примеров намеренного и ненамеренного искажения информации, отсутствия единой терминологии при коммуникации снизу вверх, которые привели к ошибочным управленческим решениям и человеческим жертвам. Полностью избежать субъективной фильтрации не удается ни одной организации, однако ее масштабы могут быть уменьшены за счет: создания атмосферы доверия в организации, прежде всего открытости руководства, выполнения обещаний, обеспечения справедливости в применении организационных процедур; информирования сотрудников о целях организации и результатах их достижения; выявления и наказания сотрудников, намеренно искажающих информацию, вне зависимости от занимаемых ими должностей. Крупные организации часто публикуют ежемесячные издания с информацией для персонала. В них выходят статьи с обзорами предложений по вопросам менеджмента, обсуждаются проблемы охраны здоровья, новые контракты, новые виды товаров и услуг, а также ответы руководства на вопросы рядовых работников. Технологии видеозаписи обеспечили организации еще одним средством распространения информации. IBM использует видеозаписи, как правило, в комбинации с печатными материалами. Например, финансовый директор рассказывает о достижениях своего подразделения за прошедший год, а к видеозаписи прилагается годовой отчет, опубликованный в информационном бюллетене.















