103710 (615449), страница 3
Текст из файла (страница 3)
На поточной линии определяются технологический, транспортный, страховой и оборотный заделы.
К технологическим (Zтех) относятся заделы на рабочих местах.
,
где n – число деталей, подлежащих одновременной обработке в соответствии с технологическим процессом.
Zтех = 43*1 = 43
Размер транспортного задела устанавливается в соответствии с выбранным методом транспортировки деталей размером, транспортной партии.
Размер транспортной партии определяется по формуле:
,
где Ro - период комплектованных заделов или период обслуживания;
- такт поточной линии.
Величина страхового задела принимается в размере 5-10% от сменного задания: сменное задание (Псм) определяется по формуле:
,
где Тсм – время смены, мин.
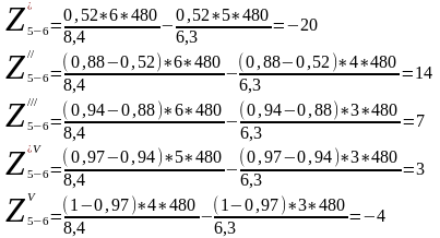
Оборотный задел – количество заготовок, находящихся на рабочих местах в ожидании процесса обработки вследствие разной производительности на смежных операциях, постоянно изменяется. Следует рассчитать оборотные заделы между парами смежных операций и построить график их изменения по форме, представленной в таблице 4. расчет оборотных заделов Zоб ведется по формуле:
.
Значение Zоб может быть положительным или отрицательным. Положительное значение свидетельствует об увеличении задела, отрицательное – об уменьшении.
Таблица 1.8
| № опер | 10 | 20 | 30 | 40 | 50 | 60 | 70 | 80 | 90 | 100 |
| Z1-2 | ||||||||||
| Z2-3 | ||||||||||
| Z3-4 | ||||||||||
| Z4-5 | ||||||||||
| Z5-6 | ||||||||||
| Z6-7 |
Общая величина задела Zобщ определяется по формуле:
,
где Zтех – технологический задел;
Zтр – транспортный задел;
Zстр – страховой задел;
Zоб – оборотный задел.
Zобщ = 43+280+39+23 = 385 (шт)
1.9 Расчет потребной производственной площади
Размер производственной площади может быть определен методами укрупненного или детального проектирования. При укрупненном проектировании размер производственной площадки определяется по средней удельной площади, приходящейся на один станок. В величину средней удельной площади входит площадь, занятая оборудованием и идущая на проезды и проходы на участке. Исходя из норм удельной площади и количества станков на линии или участке, можно определить размер производственной площади F по формуле:
,
где Спрi – количество станков i-й группы, шт;
fi – удельная площадь на один станок i-й группы, м2/шт.
Таблица 1.9
| N станка | Тип оборудования | Обозначение | Габаритные размеры | Площадь оборудования | Кдоп | Кол-во станков | Общая потребная площадь |
| 1 | Токарно- винторезный | 1А616П | 2135*1225 | 3,26 | 3,5 | 12 | 136,92 |
| 2 | Вертикально-фрезерный | 654 | 1600*630 | 1,75 | 4 | 7 | 49 |
| 3 | Настольно-сверлильный | НС12А | 710*360 | 1,42 | 4 | 5 | 28.4 |
F = 214,32 (м2)
2. ЭКОНОМИЧЕСКАЯ ЧАСТЬ
2.1 Определение уровня производительности труда
Уровень производительности труда П определяется на одного рабочего и одного работающего по формуле:
где Nвып – годовой выпуск изделий, шт;
Rсп – списочное число рабочих, работающих, чел.
- одного работающего:
-
для базового варианта:
Пбаз= 100000/45 = 2223 (шт) – на одного рабочего
Пбаз = 100000/43=1961 (шт) – на одного работающего
-
для проектируемого варианта:
Ппр=100000/37=2703 (шт) - на одного рабочего
Ппр=100000/43=2326 (шт) – на одного работающего
Рост производительности труда определяется по формуле:
Р = (Ппр-Пбаз)/Пбаз *100,
Где Ппр -производительность труда в проектном варианте, Пбаз – производительность труда в базовом варианте.
Р=(2703-2223)/2223*100%=21,6 на одного рабочего
Р=(2326-1961)/1961*100%=18,6 – на одного работающего
2.2 Планирование фонда заработной платы
Расчет фондов заработной платы ведется раздельно для рабочих-сдельщиков и рабочих-повременщиков.
Фонд прямой заработной платы состоит из сумм оплаты сдельщиков за фактически выполненную работу и повременщиков за фактически отработанное время.
Тарифный фонд заработной платы рабочих-сдельщиков (Зсд) определяется по формуле:
Зсд = ∑Pсдi*Nвып,
Где Pсдi – сдельная расценка на изготовление единицы изделия, руб/шт.
Сдельная расценка по каждой операции определяется по формуле:
Pсд=Тштi*Тсд/60,
Где Тштi – норма штучного времени, мин; Тсд – часовая тарифная ставка соответствующего разряда, Nвып – годовая программа выпускаемых деталей, шт.
Сдельная расценка в базовом варианте:
Рсд1=4,7*6,14/60=0,48
Рсд2=5,26*6,14/60=0,53
Рсд3=5,6*6,14/60=0,57
Рсд4=7,4*6,14/60=0,76
Рсд5=8,4*5,47/60=0,77
Рсд6=6,3*5,47/60=0,57
Рсд7=4*5,47/60=0,36
Тарифный фонд заработной платы рабочих-сдельщиков в базовом варианте:
Зсд баз = 4160000 (руб.)
Сдельная расценка в проектном варианте корректируется на коэффициент многостаночности:
Рсд = Tшт*Tсд/60 *Км,
где Tсд - часовая тарифная ставка разряда,
Тшт - норма времени на операцию, мин,
Км - коэффициент, учитывающий многостаночное обслуживание (при Nо=4 Км=0,39, No=2 Км=0.65 No=3 Км=0.48).
Рсд1=4,7*6,14*0,39/60 =0,23
Рсд2 =5,2*6,14*0,48/60 =0,21
Рсд3 =5,6*6,14*0,48/60 =0,28
Рсд4 =7,4*6,14*0,48/60 =0,36
Рсд5 =8,4*5,47*0,48/60 =0,3
Рсд6 =6,3*5,47*0,39/60 =0,22
Рсд7 =4*5,47*0,65/60 =0,23
Зсд пр = 174183 (руб.)
Определение суммы премий для рабочих-сдельщиков:
для базового варианта П = 20%*4160000 = 832000 (руб.),
для проектного варианта П = 40%*174183 = 69673,2 (руб.).
Основная заработная плата рабочих-сдельщиков:
Зосн баз=4160000+832000 = 4992000(руб.),
Зосн пр =174183+69673,2= 243856,2(руб.).
Дополнительная заработная плата рабочих-сдельщиков:
Здоп= 18%*3осн,
где Зосн - основная зарплата.
- для базового варианта Здоп = 18%*442800 = 79704 (руб.),
- для проектируемого варианта Здоп = 18%*245050 = 44109 (руб.).
Тарифный фонд заработной платы вспомогательных рабочих:
Звсп = ∑Тповр*Ri *Fпол,
где Тповр - часовая тарифная ставка,
Ri - численность рабочих соответствующей категории,
Fпол - годовой эффективный фонд работы рабочего, час.
Звсп баз=5,1*8*1840+3,99*3*1840+4,51*1*1840=105395,2 (руб.),
Звсп пр=5,1*1840*4+3,99*2*1840+4,51*1*1840=60517,6 (руб.).
Определение суммы премий для вспомогательных рабочих:
для базового варианта П = 20%*105395,2 = 21079,04 (руб.),
для проектного варианта П = 40%*60517,6 = 24207,04 (руб.).
Основная заработная плата вспомогательных рабочих:
Зосн баз=105395,2+21079,04=126474,24 (руб.),
Зосн пр =60517,6+24207,04=84724,64 (руб.).
Дополнительная заработная плата вспомогательных рабочих:
Здоп= 18%*3осн,
где Зосн - основная зарплата.
- для базового варианта Здоп = 18%*126474,24 = 22765,36 (руб.),
- для проектируемого варианта Здоп = 18%*84724,64 = 15250,44 (руб.).
Заработная плата руководителей и специалистов:
Зрук = O*Ri,
где О - оклад руководителя,
Ri - численность руководителей.
Зрук баз = 10000*3*12 = 360000 (руб.),
Зрук пр = 10000*2*12= 240000 (руб.)
Зспец = O*Ri,
Зспец баз= 8000*3*12 = 288000 (руб.),
Зспец пр = 8000*2*12 = 192000 (руб.).
Определение суммы премий для руководителей и специалистов:
Прук баз=20%*360000=72000 (руб.),
Прук пр=20%*240000=48000 (руб.),
Псп баз=20%*288000=57600 (руб.),
Псп пр=20%*192000=38400 (руб.).
Дополнительная заработная плата руководителей и специалистов:
Зрук баз=18%*(360000+72000)=77760 (руб.),
Зрук пр=18%*(240000+48000)=51840 (руб.),
Зсп баз=18%*(288000+57600)=62208 (руб.),
Зсп пр=18%*(192000+38400)=41472 (руб.).
Таблица 2.2.1.
Годовой фонд заработной платы работающих на участке
Уровень средней заработной платы
Уcp = Фг/(R*12),
где Фг - годовой фонд заработной платы, R- численность рабочих.
-для базового варианта
Уср = 1589311,6/(47*12) = 2817,93 (руб.) – для работающих,
Уср = 522504/(29*12) = 1501,45 (руб.) – для основных рабочих.
- для проектируемого варианта
Уср = 1000846,08/(27*12) = 3089,03 (руб.) – для работающих,
Уср = 289159/(16*12) = 1506,04 (руб.) – для основных рабочих.
2.3 Расчет величины капитальных вложений















